| Préparation 
		à l’ECE :  Étude d’un 
		solvant : l’éthanoate d’éthyle   L’éthanoate d’éthyle : un solvant. 
		
		- 
		
		
		Formule brute : C4H8O2 
		(ℓ) ;  
		
		- 
		
		
		Masse molaire : M1 = 
		88,11 g . mol–1 
		
		- 
		
		
		Formule semi-développée :   
		
		- 
		
		
		Formule topologique :  
		  
		
		- 
		
		
		Représentation 3D :   Réaction entre l’éthanoate d’éthyle et les ions hydroxyde HO– 
		(aq) : C4H8O2 
		(ℓ) + HO– (aq) → C2H3O2– 
		(aq) + C2H6O (aq) C’est une réaction totale et lente à température ambiante.   
		1. 
		Suivi cinétique en utilisant la 
		variation au cours du temps de la conductivité du mélange réactionnel. 
		
		- 
		
		
		Quantité de matière des différents 
		réactifs : 
		
		- 
		
		
		Quantité de matière initiale d’éthanoate 
		d’éthyle : 
		
		- 
		
		
		
		  
		
		- 
		
		
		Quantité de matière initiale d’ions 
		hydroxyde : 
		
		- 
		
		
		n0 = C0 ×
		V0 
		
		- 
		
		
		n0 = 2,5 × 10–2 
		× 20,0 × 10–3 
		
		- 
		
		
		n0 = 5,0 × 10–4 
		mol 
		
		- 
		
		
		Tableau d’avancement de la réaction : 
		 
		-  
		On ne fait pas apparaître les ions sodium  Na+ 
		(aq) dans le tableau d'avancement 
			
				
					| Équation
					 | 
					C4H8O2 
					(ℓ) | 
					+ HO– 
					(aq) | 
					→ 
					 | 
					C2H3O2– 
					(aq) | 
					+ C2H6O
					(aq) |  
					| 
					État du
					 
					système
					 | 
					
					Avancement  | 
					n 
					(C4H8O2) 
					 | 
					n 
					(HO–)  
					 | 
					 
					 
					 
					 | 
					n 
					(C2H3O2–)  
					 | 
					 n 
					(C2H6O)  |  
					| 
					État
					 
					initial
					 
					(mol)
					 | 
					x =
					
					0 
					 | 
					
					 n1 
					≈ 20 mmol | 
					n0 
					≈ 0,50 mmol | 
					0,0
					 | 
					0,0
					 |  
					| 
					Au cours
					 
					de la
					 
					transf.
					 | 
					x 
					 | 
					n1
					– x   | 
					n0
					– x    | 
					x 
					 | 
					x 
					 |  
					| 
					État
					 
					(mol)
					 |   | 
					En excès | 
					Réactif
					 
					limitant |   |   |  
		
		- 
		
		
		Les différentes espèces chargées 
		présentes dans le mélange réactionnel : 
		
		- 
		
		
		L’ion sodium Na+ (aq) 
		et l’ion hydroxyde HO– (aq),  
		
		- 
		
		
		Et ion éthanoate C2H3O2– 
		(aq) ou CH3 – COO– (aq) 
		
		- 
		
		
		Volume du mélange réactionnel : 
		 
		
		- 
		
		
		On néglige le volume d’éthanoate 
		d’éthyle pur devant le volume d’eau distillée et le volume de soude 
		versée : 
		
		- 
		
		
		V = V0 + Veau
 
		
		- 
		
		
		V ≈ 100 mL 
		
		- 
		
		
		Cela revient à négliger un volume de 2,0 
		mL devant un volume de 100 mL. 
		
		- 
		
		
		Concentration des différentes espèces 
		chargées à l’instant t : 
		
		- 
		
		
		Concentration des ions sodium Na+ 
		(aq) : 
		
		- 
		  
		
		- 
		
		
		La concentration des ions sodium Na+ 
		(aq) ne varie pas au cours de la réaction. 
		
		- 
		
		[Na+] = Ci 
		= 5,0 × 10–3 mol . L–1 
		
		- 
		
		
		Concentration des ions hydroxyde HO– 
		(aq) 
		
		- 
		
		
		
		  
		
		- 
		
		
		Au cours de la réaction, la 
		concentration en ions hydroxyde HO– (aq) diminue. 
		
		- 
		
		
		Concentration en ion éthanoate C2H3O2– 
		(aq) : 
		
		- 
		
		
		
		  
		
		- 
		
		
		Au cours de la réaction la concentration 
		en ions éthanoate C2H3O2– 
		(aq) augmente. 
		
		- 
		
		
		Évolution de la conductivité de la 
		solution au cours de la réaction : 
		
		- 
		
		
		La conductivité σ de la solution 
		est égale à la somme des conductivités due aux cations 
		et aux anions.
 
		
		- 
		
		
		On écrit : 
		
		- 
		
		
		 σ 
		= σ (+) + σ (–)  
		
		- 
		
		
		Formule générale : 
		
		- 
		
		
		
		  
		
		- 
		
		
		La conductivité σ d’une solution 
		ionique dépend de la nature des ions présents Xi et de 
		leur concentration [ Xi ] respectives. 
		
		- 
		
		
		Dans le cas présent : 
		
		- 
		
		
		σ = λ (HO–) 
		. [ HO– 
		] + λ (Na+) 
		. [ Na+ 
		] + λ (C2H3O2–) 
		. [C2H3O2– 
		] 
		
		- 
		
		
		Au cours de la réaction, les ions 
		hydroxyde HO– (aq) disparaissent. 
		
		- 
		
		
		Ils sont remplacés par les ions 
		éthanoate C2H3O2– 
		(aq). 
		
		- 
		
		
		En conséquence, la concentration en ions 
		hydroxyde HO– (aq) diminue. 
		
		- 
		
		
		La concentration en ions éthanoate C2H3O2– 
		(aq) augmente 
		
		- 
		
		
		Et la concentration en ions sodium Na+ 
		(aq) ne varie pas. 
		
		- 
		
		
		En résumé : 
		
		- 
		
		
		Lorsqu’un ion hydroxyde HO– 
		est consommé, un ion éthanoate C2H3O2– 
		est formé. 
		
		- 
		
		
		Les ions sodium Na+ ne 
		participent pas à la réaction, ils ne jouent aucun rôle sur la variation 
		de la conductivité du mélange réactionnel. 
		
		- 
		
		
		Tout se passe comme si on remplaçait un 
		ion hydroxyde HO– par un ion éthanoate C2H3O2– 
		
		- 
		
		
		Comme λ (HO–) >
		λ (C2H3O2–) 
		la conductivité globale de la solution diminue au cours du temps. 
		
		- 
		
		
		λ (C2H3O2–) 
		= 4,09 × 10–3 S . m2 . mol–1 ; 
		 
		
		- 
		
		
		λ (HO–) = 19,9 
		× 10–3 S . m2 . mol–1  
		
		- 
		
		
		On peut suivre l’évolution de 
		l’avancement de la réaction à partir de la mesure de la conductivité de 
		la solution : 
		
		- 
		
		
		
		  
		
		- 
		
		
		Le suivi cinétique de cette réaction 
		chimique est possible grâce à l’utilisation d’un conductimètre.   
		2. 
		Protocole expérimental détaillé 
		permettant d’effectuer le suivi cinétique. 
		
		- 
		
		
		Mélange d’un volume : 
		
		- 
		
		
		V0 = 20,0 mL). 
		d’hydroxyde de sodium de concentration C0, 
		
		- 
		
		
		Eau distillée :  
		
		- 
		
		
		Veau = 80 mL 
		
		- 
		
		
		Volume d’éthanoate d’éthyle pur : 
		 
		
		- 
		
		
		V1 = 2,0 mL (en excès) 
		
		  Verser environ 50 mL de solution 
		d’hydroxyde de sodium dans un bécher de 100 mL 
		
		- 
		
		
		Prélever 20,0 mL de la solution 
		d’hydroxyde de sodium de concentration C0 à l’aide 
		d’une pipette jaugée de 20,0 mL munie de sa propipette. 
		
		- 
		
		
		Introduire ce volume dans un bécher de 
		200 mL. 
			
				
					| 
	
					
					  
					On ne pipette jamais 
					
					 
					
					directement dans le 
					 
					
					flacon qui contient 
					 
					la solution Mère |   |   |  
		
		
		
		Dans l’éprouvette graduée de 100 mL : 
		
		- 
		
		
		Prélever environ 80 mL d’eau distillée. 
		
		- 
		
		
		Les ajouter dans le bécher précédent. 
		
		
		
		 Dans le bécher : 
		
		- 
		
		
		Plonger un barreau aimanté 
		
		- 
		
		
		Positionner le bécher sur un agitateur 
		magnétique. 
		
		
		
		 Cellule conductimétrique : 
		
		- 
		
		
		Positionner la cellule conductimétrique. 
		 
		
		- 
		
		
		Elle doit être bien immergée et ne pas 
		être en contact avec le barreau aimanté. 
		
		- 
		
		
		Mettre en marche l’agitateur magnétique. 
		
		- 
		
		
		Effectuer le réglage pour obtenir une 
		agitation douce.   
		
		- 
		
		
		Le conductimètre, relié à l’interface 
		d’un ordinateur, permet le suivi de la conductivité du mélange 
		réactionnel au cours du temps t, 
		 ceci grâce à une application adaptée. 
		
		- 
		
		
		La température de la solution reste 
		égale à 25 ° C. 
		
		
		
		 Les mesures : 
		
		- 
		
		
		Prélever 2 mL d’éthanoate d’éthyle pur à 
		l’aide de la pipette graduée munie de sa propipette 
		
	
		 
		
		- 
		
		
		Les introduire rapidement dans le bécher 
		et déclencher l’enregistrement. 
		
		- 
		
		
		L’application, utilisée par 
		l’ordinateur, permet de relever la valeur de la conductivité du mélange 
		réactionnel 
		à intervalles de temps
		t réguliers. 
		
		- 
		
		
		Les mesures : 
			
				
					| 
					t 
					(min) | 
					x 
					(μmol) |  
					| 
					0,0 | 
					0,0 |  
					| 
					0,5 | 
					96,7 |  
					| 
					1,0 | 
					174,7 |  
					| 
					1,5 | 
					237,7 |  
					| 
					2,0 | 
					288,4 |  
					| 
					2,5 | 
					329,4 |  
					| 
					3,0 | 
					362,4 |  
					| 
					3,5 | 
					389,0 |  
					| 
					4,0 | 
					410,5 |  
					| 
					4,5 | 
					427,8 |  
					| 
					5,0 | 
					441,8 |  
					| 
					5,5 | 
					453,0 |  
					| 
					6,0 | 
					462,1 |  
					| 
					6,5 | 
					469,4 |  
					| 
					7,0 | 
					475,4 |  
					| 
					7,5 | 
					480,1 |  
					| 
					8,0 | 
					484,0 |  
					| 
					8,5 | 
					487,1 |  
					| 
					9,0 | 
					489,6 |  
					| 
					9,5 | 
					491,6 |  
					| 
					10,0 | 
					493,2 |  
					| 
					10,5 | 
					494,5 |  
					| 
					11,0 | 
					495,6 |  
					| 
					11,5 | 
					496,4 |  
					| 
					12,0 | 
					497,1 |  
					| 
					12,5 | 
					497,7 |  
					| 
					13,0 | 
					498,1 |  
					| 
					13,5 | 
					498,5 |  
					| 
					14,0 | 
					498,8 |  
					| 
					14,5 | 
					499,0 |  
					| 
					15,0 | 
					499,2 |  
					| 
					15,5 | 
					499,4 |  
					| 
					16,0 | 
					499,5 |   -  Graphe : 
		
		 
		
		- 
		
		
		À l’instant initial : t = t0
 
		
		- 
		
		
		On verse les 2,0 mL d’éthanoate de 
		sodium : 
		
		- 
		
		
		L’avancement de la réaction x = 0 
		et σ = σ0 
		
		- 
		
		
		Expression de σ0 à 
		l’instant initial : 
		
		- 
		
		
		σ0 = λ (HO–) 
		. [ HO– 
		]0 + λ (Na+) 
		. [ Na+ 
		]0 
		
		- 
		
		
		σ0 = (λ (HO–)+
		λ (Na+)) 
		. Ci 
		
		- 
		
		
		À l‘instant t :  
		
		- 
		
		
		σ (t)= λ (HO–) 
		. [ HO– 
		]t + λ (Na+) 
		. [ Na+ 
		]t + λ (C2H3O2–) 
		. [C2H3O2– 
		]t 
		
		- 
		
		
		
		  
		
		- 
		
		
		Or : 
		
		- 
		
		
		[ 
		Na+ ]0 = [ 
		Na+ 
		]t = Ci 
		
		- 
		
		
		
		  
		
		- 
		
		
		En ordonnant : 
		
		- 
		  
		
		- 
		
		
		Comme la réaction est totale, 
		 
		
		- 
		
		
		La valeur de l’avancement x 
		augmente au cours du temps :  
		
		- 
		
		
		0 ≤ x ≤ n0 ≈ 
		0,50 mmol 
		
		- 
		
		
		Dans l’état initial  
		
		- 
		
		
		x = 0 et σ (0) = σ0 
		
		- 
		
		
		Dans l’état final :  
		
		- 
		
		
		x = xmax = n0 
		≈ 0,50 mmol 
		
		- 
		  
		
		- 
		
		
		Or :  
		
		- 
		
		
		Initialement : S . m2 . mol–1 
		
		- 
		
		
		σ0 = (λ (HO–)+
		λ (Na+)) 
		. Ci 
		
		- 
		
		
		σ0 = (19,9 × 10–3 
		+ 5,01 × 10–3) × 10–3 × 5,0 × 10–4 
		
		- 
		
		
		σ0 ≈ 1,1455 
		× 10–8 S 
		
		- 
		
		
		σ0 ≈ 1,15 × 10–8 
		S 
		
		- 
		
		
		Finalement : 
		
		- 
		
		
		σ (f) = (λ (C2H3O2–) 
		+ λ (Na+)) 
		. Ci 
		
		- 
		
		
		σ (f) = (4,09 × 10–3 
		+ 5,01 × 10–3) × 10–3 × 5,0 × 10–4 
		
		- 
		
		
		σ (f) ≈ 4,55 × 10–9 
		S 
		
		- 
		
		
		Ainsi la conductivité diminue bien au 
		cours du temps t. 
		► 
		
		
		Étude cinétique :  
		
		- 
		
		
		Vitesse 
		
		d’apparition
		d'un produit 
		P : 
		
		- 
		
		
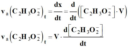
		La vitesse
		va (P)t
		d’apparition, d’un produit 
		P, est égale à la dérivée par rapport au temps de sa quantité de 
		matière nP : 
		
		- 
		  
		
		- 
		
		
		Dans le cas qui nous intéresse : 
		 
		
		- 
		
		
		
		
		  
		
		- 
		
		
		Or à chaque instant, n (C2H3O2–) = 
		x 
		
		- 
		
		  
		
		- 
		
		
		Comme le volume du mélange réactionnel 
		est constant au cours de la réaction : 
		
		- 
		
		
		n (C2H3O2–) = 
		x = [C2H3O2–] 
		. V 
		
		- 
		
		
		
		
		
		  
		
		- 
		
		
		La vitesse volumique d’apparition de 
		l’ion éthanoate à la t est 
		définie par la relation suivante : 
		
		- 
		
		
		
		  
		► 
		
		
		Vitesse volumique d’apparition d’un 
		produit P : 
		
		- 
		
		
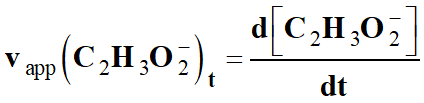
		La vitesse volumique d’apparition, de 
		l’ion éthanoate vapp 
		(C2H3O2–)t, 
		est égale à la dérivée par rapport au temps de sa concentration : 
		
		- 
		
		
		
		  
		
		- 
		
		
		La vitesse d’apparition de l’ion 
		éthanoate va (C2H3O2–)t, 
		est égale à la dérivée par rapport au temps de l’avancement
		x de la réaction : 
		
		- 
		
		
		
		  
		
		- 
		
		
		Comme le volume V est constant, la 
		vitesse volumique vapp 
		(C2H3O2–) 
		est proportionnelle à 
		 . 
		
		- 
		
		
		Or graphiquement, le terme
		 représente le coefficient 
		directeur de la tangente à la courge
		x =
		f (t). 
		
		- 
		
		
		Ce terme diminue au cours du temps, car 
		les tangentes sont de moins en moins pentues. 
		
		- 
		
		
		La vitesse volumique diminue au cours du 
		temps et s’annule lorsque la réaction est terminée (tangente 
		horizontale). 
		
		- 
		
		
		Graphe   
		► 
		
		
		Le temps de demi-réaction : 
		
		- 
		
		
		Le temps de demi-réaction est la durée 
		au bout de laquelle l’avancement x atteint la moitié de sa valeur 
		finale : 
		
		- 
		
		
		Dans le cas présent :
		xf = xmax 
		= 500 μmol. 
		
		- 
		
		
		
		  
		
		- 
		
		
		Exploitation graphique : 
		
		- 
		
		
		On trace la droite
		x (t1/2) = 250 
		μmol. 
		
		- 
		
		
		Cette droite coupe le graphe
		x =
		f (t) en un point dont 
		l’abscisse est t1/2.   
		
		- 
		
		
		t1/2 
		≈ 1,6 min 
		
		- 
		
		
		Le temps de demi-réaction
		t1/2 permet d’évaluer la durée nécessaire à l’achèvement 
		de la transformation chimique étudiée. 
		
		- 
		
		
		L’expérience montre qu’un système siège 
		d’une réaction caractérisée par le temps de réaction
		t1/2 cesse pratiquement d’évoluer 
		 au bout d’une durée de 
		l’ordre de quelques t1/2 
		(4 à 7 suivant la précision recherchée). 
		► 
		
		
		Loi des vitesse d’ordre 1 : 
		
		- 
		
		
		Réaction étudiée : C4H8O2 
		(ℓ) + HO– (aq) → C2H3O2– 
		(aq) + C2H6O (aq) 
		
		- 
		
		
		L’espèce 
		chimique C4H8O2 
		(ℓ)  a été introduite en large 
		excès : 
		
		- 
		
		
		Pour montrer que la réaction est d’ordre 
		1 par rapport à l’ion hydroxyde,  
		
		- 
		
		
		Il faut vérifier que les vitesses 
		volumiques de disparition des réactifs ou d’apparition des produits sont 
		proportionnelles 
		 à la concentration [HO–]t 
		de l’espèce HO– (aq) au cours du temps. 
		
		- 
		
		
		C’est -à-dire : 
		
		- 
		
		
		
		  
		
		- 
		
		
		Étude avec le tableur Excel : 
		
		- 
		
		
		Il faut calculer 
		 
		
		- 
		
		
		Dans la cellule
		H5, on tape la formule suivante : 
		
		- 
		
		(F5 
		– F4) / (B5 – B4) / 0,1 / 1000 
		
		- 
		
		
		On obtient ainsi la valeur en mmol / L / 
		min   
		
		- 
		
		
		On recopie vers le bas autant que 
		nécessaire. 
			
				
					| 
					t  
					(min) | 
					x 
					 
					(μmol) | 
					n 
					(HO-)
   
					(μmol) | 
					Δ[C2H3O2–] 
					/ Δt  
					mmol / L / min | 
					[HO-] 
					 
					(mmol / L) |  
					| 
					0,0 | 
					0,0 | 
					500,0 |  | 
					5,00 |  
					| 
					0,5 | 
					96,7 | 
					403,3 | 
					1,9 | 
					4,03 |  
					| 
					1,0 | 
					174,7 | 
					325,3 | 
					1,6 | 
					3,25 |  
					| 
					1,5 | 
					237,7 | 
					262,3 | 
					1,3 | 
					2,62 |  
					| 
					2,0 | 
					288,4 | 
					211,6 | 
					1,0 | 
					2,12 |  
					| 
					2,5 | 
					329,4 | 
					170,6 | 
					0,8 | 
					1,71 |  
					| 
					3,0 | 
					362,4 | 
					137,6 | 
					0,7 | 
					1,38 |  
					| 
					3,5 | 
					389,0 | 
					111,0 | 
					0,5 | 
					1,11 |  
					| 
					4,0 | 
					410,5 | 
					89,5 | 
					0,4 | 
					0,90 |  
					| 
					4,5 | 
					427,8 | 
					72,2 | 
					0,3 | 
					0,72 |  
					| 
					5,0 | 
					441,8 | 
					58,2 | 
					0,3 | 
					0,58 |  
					| 
					5,5 | 
					453,0 | 
					47,0 | 
					0,2 | 
					0,47 |  
					| 
					6,0 | 
					462,1 | 
					37,9 | 
					0,2 | 
					0,38 |  
					| 
					6,5 | 
					469,4 | 
					30,6 | 
					0,1 | 
					0,31 |  
					| 
					7,0 | 
					475,4 | 
					24,6 | 
					0,1 | 
					0,25 |  
					| 
					7,5 | 
					480,1 | 
					19,9 | 
					0,1 | 
					0,20 |  
					| 
					8,0 | 
					484,0 | 
					16,0 | 
					0,1 | 
					0,16 |  
					| 
					8,5 | 
					487,1 | 
					12,9 | 
					0,1 | 
					0,13 |  
					| 
					9,0 | 
					489,6 | 
					10,4 | 
					0,1 | 
					0,10 |  
					| 
					9,5 | 
					491,6 | 
					8,4 | 
					0,0 | 
					0,08 |  
					| 
					10,0 | 
					493,2 | 
					6,8 | 
					0,0 | 
					0,07 |  
					| 
					10,5 | 
					494,5 | 
					5,5 | 
					0,0 | 
					0,05 |  
					| 
					11,0 | 
					495,6 | 
					4,4 | 
					0,0 | 
					0,04 |  
					| 
					11,5 | 
					496,4 | 
					3,6 | 
					0,0 | 
					0,04 |  
					| 
					12,0 | 
					497,1 | 
					2,9 | 
					0,0 | 
					0,03 |  
					| 
					12,5 | 
					497,7 | 
					2,3 | 
					0,0 | 
					0,02 |  
					| 
					13,0 | 
					498,1 | 
					1,9 | 
					0,0 | 
					0,02 |  
					| 
					13,5 | 
					498,5 | 
					1,5 | 
					0,0 | 
					0,02 |  
					| 
					14,0 | 
					498,8 | 
					1,2 | 
					0,0 | 
					0,01 |  
					| 
					14,5 | 
					499,0 | 
					1,0 | 
					0,0 | 
					0,01 |  
					| 
					15,0 | 
					499,2 | 
					0,8 | 
					0,0 | 
					0,01 |  
					| 
					15,5 | 
					499,4 | 
					0,6 | 
					0,0 | 
					0,01 |  
					| 
					16,0 | 
					499,5 | 
					0,5 | 
					0,0 | 
					0,01 |  
		
		- 
		
		
		Graphe :    
		
		- 
		
		
		Les points sont sensiblement alignés. 
		
		- 
		
		
		La droite moyenne passe par l’origine. 
		
		- 
		
		
		La vitesse d’apparition de l’ion 
		éthanoate est proportionnelle à la concentration en ions hydroxyde. 
		
		- 
		
		
		
		  
		
		- 
		
		
		On peut faire un traitement statistique 
		grâce au tableur Excel :   
		
		- 
		
		
		Les différentes sélections :   
		
		- 
		
		
		Mise en forme de la courbe :   
		
		- 
		
		
		Le tableur Excel affiche l’équation de 
		la droite et le coefficient de détermination
		R2. 
		
		- 
		
		
		Équation :
		y = 0,4797 x – 6 × 10–16 
		
		- 
		
		
		En donnant le résultat avec 3 chiffres 
		significatifs : 
		
		- 
		
		
		y 
		≈ 0,480 x 
		
		- 
		
		
		Traduction : 
		
		- 
		
		
		vapp 
		(C2H3O2–)t
		(mmol . L–1 . min–1) 
		≈ 0,480 × [HO–]t
		(mmol . L–1) 
		
		- 
		
		
		La constante
		k2 : 
		
		- 
		
		
		k2
		= 0,480 min–1 
		
		- 
		
		
		Type de réaction chimique : 
			
				
					| Une réaction chimique est d’ordre 1 
					par rapport au réactif 
					A,
					 
					si 
					lorsque le réactif B est en large excès, 
					 
					les 
					vitesses volumiques de disparition des réactifs 
					 
					ou 
					d’apparition des produits sont proportionnelles à la 
					 
					
					concentration [A]t 
					de l’espèce A au cours du temps : 
					Ainsi, on 
					peut écrire :   |    
		
		- 
		
		
		La relation est du type : 
		
		- 
		
		
		vapp 
		(C2H3O2–)t 
		= k2 × [HO–]t 
		
		- 
		
		
		En conclusion : 
		
		- 
		
		
		La réaction est d’ordre 1 par rapport 
		aux ions hydroxyde HO– (aq). 
		
		- 
		
		
		La vitesse d’apparition des ions 
		éthanoate C2H3O2– 
		(aq) est proportionnelle à la concentration des ions hydroxyde HO– 
		(aq). 
		 |