| Phénomène créé 
		par une fente étroite :    1. 
		Nom du phénomène observé : 
		- 
		On observe sur l’écran un étalement du faisceau laser 
		perpendiculairement à la fente.  
		- 
		Cet étalement de la lumière est appelé figure de diffraction. 
		- 
		Elle est constituée d’une tache centrale et de taches secondaires 
		situées symétriquement par rapport à la tache centrale. 
		- 
		La tache centrale est très lumineuse et deux fois plus large que les 
		autres taches.  
		- 
		La luminosité diminue très vite lorsqu’on s’éloigne de la tache centrale 
		de diffraction. 
		- 
		La fente a diffracté la lumière dans une direction perpendiculaire à 
		celle de la fente.  
		- 
		Schéma de la situation :   
		
		 
		
			
						 2. 
		Relation donnant la longueur d’onde : 
		 
		- 
		Schéma :   
		- 
		Données : 
		- 
		La longueur d’onde : 630 nm ≤ 
		
		λ 
		≤ 650 nm 
		- 
		Largeur de la première fente utilisée : 
		
		a 
		= (60,0 ± 0,1) μm. 
		- 
		Distance fente-écran : 
		D 
		= (2,0 ± 0,1) m.  
		- 
		Largeur de la tache centrale : 
		
		ℓ 
		= (4,2 ± 0,1) cm 
		- 
		Lorsqu’un faisceau parallèle de lumière de longueur d’onde λ 
		traverse une fente de largeur a,  
		l’écart angulaire θ, 
		entre le centre de la tache centrale et la première extinction 
		est donné par la relation suivante :   
			
				
					|   |  
					| 
					θ | 
					Écart 
					angulaire en radian (rad) |  
					| 
					λ | 
					Longueur 
					d’onde en mètre (m) |  
					| 
					a | 
					Largeur 
					de l’ouverture rectangulaire en mètre (m) |  
		- 
		Si le rapport  
 est petit, on peut 
		faire l’approximation suivante : 
		- 
		sin θ 
		≈ θ 
		(rad) : 
		- 
		On peut donner une estimation de la valeur du rapport sachant que : 630 
		nm ≤ 
		λ ≤ 650 nm 
		- 
		  
		- 
		Si on calcule :  
		- 
		sin (1,08 × 10–2) ≈ 1,08331 × 10–2 
		- 
		On remarque que l’approximation est excellente. 
		- 
		La relation s’écrit alors : 
			
				
					| 
		  |  
					| 
					θ | 
					Écart 
					angulaire en radian (rad) |  
					| 
					λ | 
					Longueur 
					d’onde en mètre (m) |  
					| 
					a | 
					Largeur 
					de l’ouverture rectangulaire en mètre (m) |  
		- 
		Cette relation permet de déterminer expérimentalement la longueur d’onde
		λ de la lumière d’un faisceau connaissant la largeur de la fente. 
		- 
		D’autre part :  
		- 
		Distance fente-écran : 
		D 
		= (2,0 ± 0,1) m.  
		- 
		Largeur de la tache centrale : 
		
		ℓ 
		= (4,2 ± 0,1) cm 
		- 
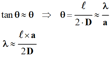
		Dans le cas ou D >> ℓ (largeur de la tache centrale), on peut déterminer la relation 
		donnant la largeur de la tache centrale
		
		ℓ 
		 
		en fonction de la longueur d’onde λ et de la largeur 
		
		a de la fente.   
		- 
		On fait l’approximation des petits angles. 
		- 
		L’angle θ étant petit, 
		- 
		tan θ ≈ θ avec θ en radian (rad) : 
		- 
		
		  
		- 
		On retrouve bien la relation donnée dans l’énoncé. 
		- 
		
		
		
		
		  3. 
		  a. 
		Longueur d’onde λ de la radiation : 
		- 
		Longueur d’onde de la radiation : 
		- 
		
		  
		- 
		 Incertitude-type à partir des 
		mesures expérimentales : 
		- 
		
		  
		- 
		On arrondit par excès l’incertitude-type : 
		- 
		
		u 
		(λ) = 0,4 × 10–7 m b. 
		Encadrement de la valeur expérimentale de la 
		longueur d’onde λ. 
		- 
		
		λ 
		= (6,3 ± 04) × 10–7 m c. 
		Conclusion en comparant la valeur trouvée à 
		celle donnée par le constructeur. 
		- 
		Encadrement donnée par le constructeur : 6,30 × 10–7 m ≤ λ ≤ 6,30 × 10–7 
		m 
		- 
		Encadrement de la valeur expérimentale : 5,9 × 10–7 m ≤ λ ≤ 6,7 × 10–7 
		m   
		- 
		L’encadrement expérimental est compatible avec l’encadrement 
		constructeur. 
		- 
		L’encadrement constructeur est inclus dans l’encadrement expérimental.   4. 
		Influence de la largeur de la fente sur la tache 
		centrale.  
		- 
		L’élève utilise une fente de largeur différente (b) de celle 
		étudiée précédemment (a). 
			
				
					| (a) | 
					
					  |  
					| 
					(b) | 
					
					 |  
		- 
		La tache centrale de diffraction de l’expérience 
		
		(b) 
		est moins large que la tache de diffraction de l’expérience 
		
		(a). 
		- 
		Lors des expériences, seule la largeur 
		
		a 
		de la fente change. 
		- 
		Or :  
		- 
		
		  
		- 
		Comme ℓ 
		diminue, alors la largeur 
		a 
		de la fente augmente (la grandeur
		
		a 
		intervient au dénominateur de l’expression). 
		- 
		L’élève a utilisé une fente plus large lors de l’expérience 
		
		(b). 
		 |