| 
		Préparation à l’ECE : Propriétés isolantes du plumage des canards :  1. 
		
		
		Mode de transfert 
		thermique entre l’intérieur de la boîte et le milieu extérieur. 
		
		- 
		
		Le transfert 
		thermique entre l’intérieur de la boîte et le milieu extérieur se fait 
		par convection.2. 
		
		
		Les différentes 
		courbes. 
		
		- 
		
		Graphique : 
		
		Fichier Excel :
		
		
		   
		
		- 
		
		Comme le plumage de 
		canard possède des propriétés isolantes, le refroidissement est 
		plus 
		lent lorsque la cloison est remplie de plumes de canards. 
		
		- 
		
		La courbe 
		correspondant à la cloison remplie de plumes de canard se situe 
		au-dessus 
		de celle dont la cloison est sans plume. 
		
		- 
		
		La
		
		courbe de couleur bleue correspond à la cloison sans plume. 
		
		- 
		
		La
		courbe de 
		couleur rouge correspond à la 
		cloison garnie de plumes de canards.   
		3. 
		
		
		Solution de cette 
		équation différentielle en fonction de t et des constantes τ,
		θi et θe. 
		
		- 
		
		Le système {boîte 
		et cloison} est assimilé à un système incompressible.  
		
		- 
		
		Il n’échange pas de 
		travail W avec le milieu extérieur. 
		
		- 
		
		Il échange 
		seulement de l’énergie Q par 
		transfert thermique convectif avec le 
		thermostat (milieu extérieur). 
		
		- 
		
		Entre l’état 
		initial (i) et l’état final (f), 
		on peut écrire : 
		
		- 
		
		
		ΔUi→f = Q 
		
		- 
		
		Pour une durée 
		suffisamment courte, on peut écrire : 
		
		- 
		
		Q = Φ . Δt 
		
		- 
		
		D’après la loi de 
		Newton : 
		
		- 
		
		Φ =
		h .
		S . (θe –
		θ) 
		
		- 
		
		Q =
		h .
		S . (θe –
		θ) .
		Δt 
		
		- 
		
		D’autre part, pour 
		un système incompressible de masse m, de capacité thermique 
		massique c dont la variation de température est Δθ : 
		
		- 
		
		Q =
		m .
		c . Δθ 
		
		- 
		
		On obtient la 
		relation suivante : 
		
		- 
		
		ΔUi→f = h . S . 
		(θe – θ) . Δt = m . c . 
		Δθ 
		
		- 
		
		On peut exprimer le 
		rapport de l’écart de température Δθ 
		sur la durée Δt : 
		
		- 
		
		
		  
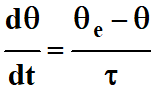
		► 
		
		Établissement de 
		l’équation différentielle : 
		
		- 
		
		Lorsque
		Δt → 0,  
		
		- 
		
		La limite de 
		l’expression 
		 est égale à la 
		dérivée de θ par rapport au temps t : 
		
		- 
		
		On écrit en 
		utilisant la notation différentielle : 
		
		- 
		
 : 
		
		- 
		
		En développant, on 
		obtient : 
		
		- 
		
		  
		
		- 
		
		Et enfin : 
		
		- 
		
  
		
		- 
		
		On est en présence 
		d’une équation différentielle linéaire du premier ordre en
		θ 
		à coefficients constants 
		avec un deuxième membre constant. 
		
		- 
		
		On pose : 
		 
		
		- 
		  
		
		- 
		
		L’écriture de 
		l’équation différentielle devient : 
		
		- 
		
		
		  
		
		- 
		
		L’équation 
		différentielle vérifiée par la température
		θ :  
		
		-   
		
		- 
		
		La grandeur
		τ est le temps 
		caractéristique du système. 
		
		- 
		
		Elle admet une 
		solution du type : 
		
		- 
		
		
  
		
		- 
		
		A,
		B et
		k sont des constantes liées aux conditions initiales et 
		aux 
		caractéristiques du système. 
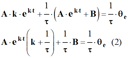
		► 
		
		Recherche des 
		constantes : 
		
		- 
		
		La solution
		
 vérifie 
		l’équation différentielle  
		
		- 
		
		Détermination de :
 
		
		- 
		
		  
		
		- 
		
		On remplace
		
 et
		
		θ par leur expression 
		respective dans l’équation différentielle : 
		
		- 
		
		  
		
		- 
		
		La relation (2) est 
		vérifiée à chaque instant : 
		
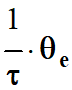
		- 
		
		La grandeur
		 est une constante, 
		
		- 
		
		Il faut 
		nécessairement que : 
		
		- 
		
		
		  
		
		- 
		
		D’autre part, au 
		temps t = 0 s, θ =
		θ i  
		
		- 
		
		Comme  
 
		
		- 
		
		
		 θ 
		i =
		A + B 
		
		- 
		
		A =
		θ i – 
		B 
		
		- 
		
		A =
		θ i –
		θe 
		
		- 
		
		La solution : 
		
		- 
		
		
		  
		4. 
		
		
		Exploitation du 
		graphique : 
		
		- 
		
		Le temps 
		caractéristique τ est déterminé en traçant la tangente à l’origine sur 
		la courbe
		θ = f (t). Lire graphiquement 
		τ 
		dans les deux expériences. 
		► 
		
		Détermination 
		expérimentale de la constante de temps τ. 
		
		- 
		
		Dans le cas 
		présent : θi = 8,0 ° C et θe = 40 ° 
		C 
		
		- 
		
		Expression de :
 
		
		- 
		
		
		  
		
		- 
		
		Pour déterminer 
		graphiquement le temps caractéristique τ
		du système :  
		
		- 
		
		On trace la 
		tangente à la courbe au point d'abscisse
		t = 0 s et l'asymptote 
		horizontale 
		
		- 
		
		La constante de 
		temps τ est donnée par l'abscisse de leur point d'intersection. 
		
		- 
		
		  
		
		- 
		
		Détermination de
		τA   
		
		- 
		
		Détermination de
		τB    
		
		- 
		
		Représentation 
		graphique :    
		
		- 
		
		Pour l’expérience
		A (courbe rouge), 
		τA 
		≈ 0,70 ks et     
		pour l’expérience
		B (courbe bleue), 
		τB ≈ 0,24 
		ks. 
		
		- 
		
		ZOOM : 
		   
		5. 
		
		
		Étude statistique : 
		
		- 
		
		Tableau de mesures 
		:  
			a. 
		
		Moyenne
				
					| N° de l’expérience | 
					1 | 
					2 | 
					3 | 
					4 | 
					5 | 
					6 |  
					| 
					τ 
					(s) | 
					695 | 
					789 | 
					701 | 
					734 | 
					688 | 
					686 |   de la série de 
		mesures et l’incertitude-type u (τ) : 
		
		- 
		
		La moyenne 
		arithmétique 
		 est le quotient de 
		la somme des valeurs x i par 
		le nombre total 
		de valeurs de la liste 
		n : 
		
		- 
		
		
		  
		
		- 
		
		Écart à la moyenne 
		de chacune des valeurs :
 
		
		- 
		
		Notation : l’écart 
		à la moyenne de chacune des valeurs est noté : 
		
		
		 
			
				
					| 
					
					τ
					i | 
					
					695 | 
					
					789 | 
					
					701 | 
					
					734 | 
					
					688 | 
					
					686 |  
					| 
		
		
					  | 
					
					715,5 ≈ 716 |  
					|   | 20,5 | -73,5 | 14,5 | -18,5 | 27,5 | 29,5 |  
					|   | 0 |  
					| Qu’y a-t-il de 
					particulier ? | L’écart à la moyenne est un 
					nombre relatif.  Cette grandeur est positive, 
					négative  ou nulle |  
					| Était-ce 
					prévisible ? 
					 Pourquoi ? | 
					  : La somme des écarts à la 
					moyenne est  égale à zéro. |  
					| Les écarts à la 
					moyenne sont des nombres relatifs.  On pourrait 
					utiliser les valeurs absolues.  On préfère 
					calculer les carrés des écarts à la moyenne. |  
					|   | 
					420,3 | 5402 | 210,3 | 342,3 | 756,3 | 
					870,3 |  
					|   | ≈ 8002 |  
		
		- 
		
		Tableau Excel :   
		
		- 
		
		On remarque que 
		l’écart maximal est (– 73,5 s pour l’expérience N° 2) par rapport à 
		la 
		moyenne. 
		
		- 
		
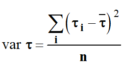
		La variance var
		est le quotient de la somme des carrés des écarts à la moyenne par 
		le 
		nombre n de l’effectif total. 
		
		- 
		
		La variance est la 
		moyenne arithmétique des carrés des écarts à la moyenne 
		arithmétique . 
		
		- 
		  
		
		- 
		
		Variance de 
		l’échantillon. 
		
		- 
		  
		
		- 
		
		L’écart-type 
		σ : 
		
		- 
		
		L'écart-type est 
		une mesure de la dispersion d’une série statistique autour de sa 
		moyenne 
		arithmétique. 
		
		- 
		
		L’écart-type est la 
		moyenne quadratique des écarts à la moyenne arithmétique : 
		
		- 
		
		
		  
		
		- 
		  
		
		- 
		
		L’écart-type σ 
		est égal à la racine carrée de la variance.  
		
		- 
		
		L’écart type 
		caractérise la dispersion des valeurs. 
		
		- 
		
		Affirmation : 
		 
		
		- 
		
		En mathématique, on 
		constate que l’intervalle 
		 contient 
		plus de la moitié 
		des valeurs de la liste. 
		
		- 
		
		Valeur de l’écart-type :  
		
		- 
		  
		
		- 
		
		L’expérience est 
		réalisée plusieurs fois dans les mêmes conditions pour vérifier 
		la 
		reproductibilité et éviter les erreurs grossières. 
		
		- 
		
		On remarque que les 
		valeurs sont assez dispersées. 
		
		- 
		
		La valeur de 
		l’expérience N° 2  (789) s’écarte 
		beaucoup de la valeur moyenne : 
		
		- 
		
		On peut calculer 
		l’écart-type standard : 
		
		- 
		
		  
		
		- 
		
		Application 
		numérique : 
		
		- 
		
		
		  
		
		- 
		
		Valeur de 
		l’incertitude-type u (τ) avec 
		l’écart-type standard σn-1 
		: 
		
		- 
		
		
		  
		
		- 
		
		Application 
		numérique : 
		
		- 
		
		
		  
		
		- 
		
		Valeur de 
		l’incertitude-type u (τ) avec 
		l’écart-type σ : 
		
		- 
		
		
		  
		b. 
		
		
		Écriture de τA 
		sous la forme d’un encadrement. 
		
		- 
		
		  
		
		- 
		
		τA = ( 716 ± 16 ) s ou τA 
		= ( 716 ± 15 ) s 
		
		- 
		
		
		700 s < τA < 732 s ou
		701 s < τA 
		< 731 s     
		
		- 
		
		Les différentes 
		valeurs sont dispersées. 
		
		- 
		
		Si on supprime la 
		valeur de l’expérience N° 2 (789) : 
		
		- 
		
		Dans ce cas le 
		tableau Excel est le suivant :   
		
		- 
		
		La valeur moyenne : 
		 
		
		- 
		
		Valeur de 
		l’incertitude-type u (τ) avec 
		l’écart-type standard σn-1 
		: 
		
		- 
		
		
		
				
		  
		
		- 
		
		Application 
		numérique : 
		
		- 
		
		  
		
		- 
		
		Encadrement : τA 
		= ( 701 ± 7 ) s   
		
		- 
		
		Dans ce cas, les 
		différentes valeurs sont moins dispersées. 
		6. 
		
		
		Qualité isolante du 
		plumage de canard. 
		
		- 
		
		L’expérience
		A met en évidence le fait que les plumes de canards constituent 
		une 
		surface isolante. 
		
		- 
		
		La cloison remplie 
		de plumes réduit le flux thermique entre l’intérieur de la 
		boîte et le 
		milieu extérieur. 
		
		- 
		
		Ainsi si on 
		considère que le système atteint sa température d’équilibre
		θe = 8,0 ° C au 
		bout de 5 τ,  
		
		- 
		
		Pour l’expérience
		A, la durée est ΔtA 
		≈ 58 min environ ;  
		
		- 
		
		Alors que pour 
		l’expérience B, la durée est ΔtB 
		≈ 20 min environ.   |