| Partie I : Première phase de vidange : h 
		> H   Schéma de la situation :    1. 
		Valeur 
		vA 
		de la vitesse en A. 
		
		- 
		Exploitation 
		du graphique :   
		
		- 
		
		On relève la hauteur 
		h d’eau dans le vase 
		cylindrique à chaque instant 
		t jusqu’à la vidange : 
		
		- 
		
		La courbe obtenue : 
		h = 
		f 
		(t) 
		
		- 
		Les points 
		sont sensiblement alignés. 
		
		- 
		
		La courbe obtenue est du type : 
		h 
		= a . 
		t 
		+ b 
		
		- 
		
		La grandeur 
		h 
		est une fonction affine décroissante du temps 
		t. 
		
		- 
		
		On peut obtenir l’équation de cette droite en réalisant 
		une étude statistique avec le tableur 
		Excel 
		ou en 
		traçant la droite moyenne.   
		
		- 
		Traduction : 
		
		- 
		
		h 
		≈ – 0,079 t 
		+ 60 
		
		- 
		Le coefficient 
		de détermination :   
		
		- 
		
		R2 
		= 0,9985 ≈ 1 
		
		- 
		Le modèle 
		choisi est en accord avec les mesures de l’expérience réalisée. 
		
		- 
		Que représente 
		le coefficient directeur de la droite moyenne tracée ? 
		
		- 
		
		 a 
		= – 0,079 cm . s–1   
		
		- 
		Détermination 
		graphique : 
		
		- 
		
		  
		
		- 
		
		Le coefficient directeur de la droite tracée représente, 
		en valeur absolue, la valeur 
		vA de la vitesse d’écoulement de l’eau au point 
		A. 
		
		- 
		Cette valeur 
		est constante au cours du temps . 
		
		- 
		
		On pose : 
		a = – 
		vA 
		 
		
		- 
		On obtient : 
		
		- 
		
		h 
		≈ – vA 
		. t + 60 
		
		- 
		
		vA 
		≈ 0,078 cm . s–1 
		
		- 
		
		vA 
		≈ 7,8 × 10–4 m . 
		s–1 
		
		- 
		L’ordonnée à 
		l’origine : 
		
		- 
		
		b 
		≈ 60 cm, c’est la hauteur 
		h0 
		de l’eau à l’instant initial, au temps 
		t 
		= 0 s.   2. 
		Vitesse de 
		déplacement du fluide : a. 
		Valeur 
		vA 
		de la vitesse en A 
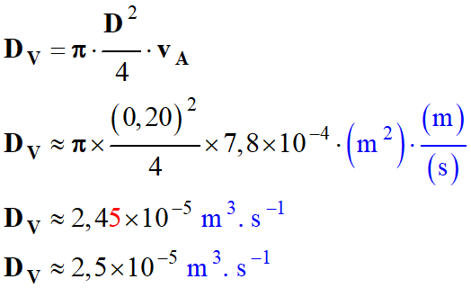
		et le débit volumique DV.
		  
		► 
		Débit 
		volumique DV
		: 
		
		- 
		
		Le débit volumique 
		DV 
		est égal au produit de la surface 
		S 
		de la section de tube  traversée par le fluide, par la valeur 
		v 
		de la vitesse du fluide au niveau de cette section. 
			
				
					| DV 
					= S . v  | DV : 
					Débit volumique (m3 . s–1) |  
					| S : 
					surface de la section de tube traversée par le fluide (m2) |  
					| v 
					: valeur de la vitesse du fluide au niveau de cette section 
					(m . s–1) |  
		
		- 
		Dans le cas 
		présent : 
		
		- 
		
		La valeur 
		vA 
		de la vitesse au point 
		A est constante 
		
		- 
		
		De même la valeur du diamètre 
		D 
		de la section du tuyau est constante. 
		
		- 
		
		  
		
		- 
		Or : 
		
		- 
		On considère 
		l’eau comme un liquide incompressible et elle s’écoule en régime 
		    permanent indépendant du temps : 
		
		- 
		En conséquence 
		le débit volumique se conserve DV.
		
 
		
		- 
		DV 
		= DVA =
		DVC  
		
		- 
		Valeur du 
		débit volumique : 
		
		- 
		
		
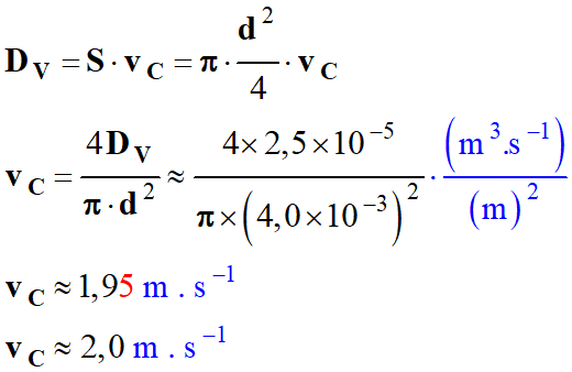
		  b. 
		Valeur 
		vC 
		de de la vitesse de sortie de l’eau en 
		C.  
		 
		
		- 
		DV 
		= DVA =
		DVC  
		
		- 
		Avec : 
		
		- 
		
		  
		
		- 
		
		Comme le tube d’écoulement est plus petit, la vitesse 
		d’écoulement du fluide au point 
		C 
		est plus grande que celle au point 
		A. c. 
		
		 Protocole 
		expérimental : 
		
		- 
		Montage :   
		
		- 
		On choisit une 
		durée d’écoulement de l’eau : 
		
		- 
		
		Dans le cas présent, la valeur choisie 
		Δt 
		= 40 s. 
		
		- 
		Remarque : 
		
		- 
		
		On peut choisir la durée 
		Δt et mesurer le volume 
		V 
		ou on peut choisir le volume 
		V et mesurer la durée 
		Δt. 
		
		- 
		
		À l’aide de l’éprouvette graduée, on mesure le volume
		V 
		correspondant à cette durée. 
		
		- 
		
		Ainsi, on en déduit la valeur 
		DV 
		du débit volumique : 
		
		- 
		
		En régime permanent, le débit volumique 
		DV 
		d’un fluide correspond au volume 
		V de fluide qui traverse une section droite 
		S 
		pendant une durée 
		Δt. 
		
		- 
		Relation :
		  
			
				
					|   | 
					DV : 
					Débit volumique (m3 . s–1) |  
					| 
					V : 
					Volume de fluide (m3) |  
					| 
					Δt 
					: durée (s) |  
		
		- 
		
		Le débit volumique 
		DV 
		est une caractéristique de l’écoulement d’un fluide.   3. 
		Loi de Torricelli :
		  a. 
		Valeur 
		vC 
		Torr de la vitesse prévue par la loi de 
		Torricelli en C. 
		
		- 
		Expression de 
		la loi de Torricelli : 
		
		- 
		
		  
		
		- 
		Application 
		numérique : 
		
		- 
		
		  b. 
		La valeur trouvée à 
		la question 2. b. 
		et celle obtenue par cette loi : 
		
		- 
		
		La valeur trouvée à la question 
		2. b. 
		est en accord avec celle obtenue par la loi de Torricelli.   Partie II Deuxième phase de vidange : 
		h < H   
		
		- 
		Évolution du 
		débit volumique en C lorsque
		
		h < H 
		
		- 
		Exploitation 
		du graphique :   
		
		- 
		
		On relève la hauteur 
		h d’eau dans le vase 
		cylindrique à chaque instant 
		t jusqu’à la vidange : 
		
		- 
		
		La courbe obtenue : 
		h = 
		f 
		(t) 
		
		- 
		Les points ne 
		sont pas alignés. 
		
		- 
		
		La courbe obtenue n’est pas du type : 
		h 
		= a . 
		t 
		+ b 
		
		- 
		
		La hauteur 
		h est une fonction décroissante 
		du temps   
		
		- 
		La hauteur de 
		fluide décroit de moins en moins vite au cours du temps. 
		
		- 
		
		Pour des intervalles de temps égaux, la variation de 
		hauteur de liquide écoulé 
		Δh est de plus en plus faible. 
		
		- 
		
		En conséquence, la vitesse d’écoulement du fluide au 
		point C 
		diminue au 
		 
		cours du temps. 
		
		- 
		Il découle de 
		ceci que le débit volumique de l’eau diminue au cours du temps. 
		
		- 
		
		Le débit volumique n’est plus constant lorsque 
		h 
		< H. 
		
		- 
		
		On peut faire une étude statistique avec le tableur
		Excel :   
		
		- 
		Le modèle 
		choisi : « Polynomiale » : Degré 2 
		
		- 
		Traduction du 
		résultat : 
		
		- 
		
		h 
		≈ a 
		. t2 
		+ b 
		. x 
		+ c  
		
		- 
		
		h 
		≈ 7,76 × 10-5 
		t2 
		– 0,156 t
		+ 78,5 pour 0 < 
		h 
		< 20 cm 
		
		- 
		Le coefficient 
		de détermination :   
		
		- 
		Le coefficient 
		de détermination :   
		
		- 
		
		R2 
		= 0,9996 ≈ 1 
		
		- 
		Le modèle 
		choisi est en accord avec les mesures de l’expérience réalisée  avec 
		l’intervalle d’étude. 
		
		- 
		Pour affiner 
		l’étude , il faut : 
		
		- 
		
		Plus de mesures et un intervalle de temps 
		Δt 
		plus court entre deux mesures. 
		
		- 
		
		Dans le cas présent, l’intervalle de temps 
		Δt 
		= 40 s 
		
		- 
		La durée de 
		l’expérience est de 400 s 
		
		- 
		
		Il faut faire en sorte que 
		Δt << 400 s. 
		
		- 
		
		On peut choisir 
		Δt = 5,0 s ou même 
		Δt 
		= 2,0 s. 
		
		- 
		
		Si la mesure de la hauteur 
		h est trop difficile, on peut 
		mesurer la masse m d’eau qui s’écoule pendant la 
		durée Δt. 
		
		- 
		Graphique 
		complet : 
		
		  
		- Tableau de valeurs : 
			
				
					| t 
					en s | 
					h 
					en cm |  
					| 0 | 60,0 |  
					| 40 | 57,0 |  
					| 80 | 53,9 |  
					| 120 | 50,4 |  
					| 160 | 48,4 |  
					| 200 | 44,2 |  
					| 240 | 41,4 |  
					| 280 | 39,1 |  
					| 320 | 34,9 |  
					| 360 | 31,7 |  
					| 400 | 29,1 |  
					| 440 | 25,10 |  
					| 500 | 20,0 |  
					| 540 | 17,0 |  
					| 580 | 14,0 |  
					| 620 | 11,8 |  
					| 660 | 9,30 |  
					| 700 | 7,37 |  
					| 740 | 5,68 |  
					| 
					780 | 
					3,96 |  
					| 
					820 | 
					3,08 |  
					| 
					860 | 
					1,84 |  
					| 
					900 | 
					0,90 |  
		
		 |