| Stratégie en synthèse organique | |
| 
 | 
|  | 
| 
			QCM N° 09 
			Stratégie en 
			synthèse organique. 
			Pour chaque 
			question, indiquer la (ou les) bonne(s) réponse(s). | |||||
|  | 
			Énoncé | 
			A | 
			B | 
			C | 
			R | 
| 
			1 | 
			L’acétone est 
			un solvant  
			organique de 
			formule  
			C3H6O.
			Sa formule  
			
			semi-développée est :  | 
 | 
 | 
 | 
			C | 
| 
			2 | 
			La formule 
			semi-développée  
			de l’acide 
			propanoïque est :  | 
 | 
 | 
 | 
			AB | 
| 
			3 | 
			La molécule 
			suivante 
 
			possède  | 
			Un groupe  
			carboxyle | 
			Un groupe  
			hydroxyle | 
			Un groupe  
			carbonyle | 
			BC | 
| 
			4 | 
			Un aldéhyde 
			possède :  | 
			Un groupe  
			carbonyle sur
			 
			un carbone  
			en bout  
			de chaîne | 
			Un groupe  
			carboxyle sur
			 
			un carbone  
			en bout  
			de chaîne | 
			Un groupe  
			hydroxyle sur
			 
			un carbone  
			en bout  
			de chaîne | 
			A | 
| 
			5 | 
			Le chauffage à 
			reflux est  
			utilisé lors de 
			l’étape de : | 
			transformation | 
			séparation | 
			purification | 
			A | 
| 
			6 | 
			À quoi sert 
			l’étape  
			
			d’identification ? | 
			
			À faire  
			
			une CCM | 
			
			À vérifier  
			
			la nature  
			
			et la pureté  
			
			du produit | 
			
			À éliminer  
			
			les impuretés  | 
			B | 
| 
			7 | 
			Pour calculer le 
			rendement  
			expérimental 
			d’une  
			synthèse, il 
			faut : | 
			Que le  
			produit  
			obtenu  
			soit pur | 
			Faire un 
			bilan de 
			matière | 
			Que le  
			produit  
			soit solide | 
			AB | 
| 
			8 | 
			On a synthétisé 
			40 mmol de  
			produit alors que 
			l’on attentait  
			théoriquement 50 
			mmol. | 
			Le  
			rendement  
			vaut 80. | 
			Le  
			rendement  
			vaut 0,80. | 
			Le  
			rendement  
			vaut 80 % | 
			BC | 
| 
			9 | 
			Parmi les 
			réactions suivantes,  
			laquelle ou 
			lesquelles sont  
			des réactions 
			acide-base :  | 
			
			HCO3– 
			(aq)  +
			CH2O2 
			(aq) → 
			H2CO3 
			(aq)  +
			CHO2– 
			(aq) | 
			2 C6H8O6 
			(aq) + 
			2 H2O (ℓ) → 
			2 C6H6O6 
			(aq) + 
			8 H+ (aq) +
			O2 (g) | 
			Cu2+ 
			(aq)  +
			Fe (s)  →  
			Cu 
			(s)  +
			Fe2+ (aq) | 
			A | 
| 
			10 | 
			Pour accélérer 
			l’évolution  
			d’une réaction 
			chimique,  
			on peut :  | 
			Augmenter la
			 
			concentration
			 
			des réactifs | 
			Diminuer  
			la  
			température | 
			Diluer le  
			mélange  
			réactionnel | 
			A | 
| 
			11 | 
			Un catalyseur :
			 | 
			Diminue la  
			durée d’une
			 
			réaction 
			
			 chimique | 
			N’apparaît  
			pas dans  
			l’équation  
			de la  
			réaction | 
			Modifie  
			l’état final
			 
			du système  
			chimique | 
			AB | 
| 
			12 | 
			On introduit dans 
			un bécher,  
			une lame de 
			d’argent, une  
			lame de plomb, 
			une solution  
			contenant des 
			ions argent  
			Ag+ 
			et une solution  
			contenant des 
			ions Pb2+.  
			La réaction 
			susceptible de  
			Se produire est 
			un équilibre  
			chimique 
			d’équation :  2
			Ag+ (aq) + 
			Pb 
			(s) 
 2
			Ag (s) + 
			Pb2+ 
			(aq) 
			Du plomb solide
			
			Pb 
			(s) 
			 
			est formé si :
			 | 
			Le quotient
			 
			de réaction
			 
			Qr 
			est  
			égal  
			à la  
			constante  
			d’équilibre
			 
			K 
			(T) | 
			Le quotient
			 
			de réaction
			 
			Qr 
			est  
			inférieur  
			à la  
			constante  
			d’équilibre
			 
			K 
			(T) | 
			Le quotient
			 
			de réaction
			 
			Qr 
			est  
			supérieur  
			à la  
			constante  
			d’équilibre
			 
			K 
			(T) | 
			C | 
| 
			13 | 
			On introduit dans 
			un bécher,  
			une lame de 
			d’argent, une  
			lame de plomb, 
			une solution  
			contenant des 
			ions argent  
			Ag+ 
			et une solution  
			contenant des 
			ions Pb2+.  
			La réaction 
			susceptible de  
			Se produire est 
			un équilibre  
			chimique 
			d’équation :  2
			Ag+ (aq) + 
			Pb 
			(s) 
 2
			Ag (s) + 
			Pb2+ 
			(aq) 
			Pour augmenter la 
			valeur  
			du quotient de 
			réaction,  
			on peut :  | 
			Augmenter  
			la masse  
			de la lame  
			d’argent | 
			Augmenter  
			la  
			concentration
			 
			en ion Pb2+
			 
			de la  
			solution | 
			Diluer la  
			solution  
			contenant  
			des ions  
			Pb2+ | 
			B | 
QCM réalisé avec le logiciel Questy
Pour s’auto-évaluer
Les différentes représentations d’une molécule
- 
La formule brute :
- 
Elle indique la nature et le nombre des atomes 
constituant la molécule.
- 
Elle ne donne aucune indication sur la 
structure de la molécule : chaîne carbonée, groupe fonctionnel,…
- 
Exemple :  
- 
C3H6O.
- 
La formule développée plane.
- 
Elle indique l’enchaînement des atomes et la 
nature des liaisons qui les unissent.
- 
Les liaisons sont représentées par des tirets 
entre les symboles des atomes.
- 
Exemple :
 
 
- 
Formule semi-développée :
- 
Elle dérive de la formule développée.  
- 
Les liaisons sont représentées par des tirets 
entre les symboles des atomes excepté celles engagées par les atomes 
d’hydrogène.
- 
Elle fait apparaître la chaîne carbonée.
- 
Elle ne fait pas apparaître les liaisons entre 
un atome d’hydrogène et un autre atome.
- 
Exemple :
 ou
 ou 
- 
Formule topologique :
- 
L’écriture topologique est une représentation 
simple et rapide des molécules organiques.
- 
Les atomes de 
carbone et les atomes d’hydrogène 
liés à ces atomes ne sont pas indiqués.
- 
Les atomes d’hydrogène non 
liés à des atomes de carbone sont indiqués.
- 
Un 
sommet correspond à un atome de carbone et aux atomes 
d’hydrogène qui sont liés à l’atome de carbone.
- 
Un 
segment correspond à un doublet liant.
- 
La
chaîne carbonée est 
représentée en ligne brisée
- 
Exemple :
 
 
- 
Représentation 3D :

- 
Cas de la question :  
- 
L’acétone ou propanone (ou propan-2-one) est 
une cétone 
| Famille de  composés | aldéhyde | cétone | 
| Suffixe | al | one | 
| Formule  générale | 
 | 
 | 
Composés carbonylés
- 
Remarque : la molécule

- 
Formule brute : 
C2H6O
- 
Nom : méthoxyméthane  
- 
C’est un éther  
- 
Différentes familles :  
| Famille de  composés | alcool | aldéhyde | cétone | acide  carboxylique | 
| Suffixe | ol | al | one | oïque | 
| Formule  générale | R – OH | 
 | 
 | 
 | 
Acide carboxylique :
| 
			Famille de  
			composés | 
			acide  
			carboxylique | 
| Suffixe | oïque | 
| Formule  générale | 
 | 
- 
Acide propanoïque :
 
 
Ou

Ou

- 
Autre formulation des acides 
carboxyliques : RCOOH
- 
Un acide 
AH est une 
substance capable de fournir des protons H+ 
en solution aqueuse
- 
RCOOH = 
RCOO– + H+
- 
La fonction acide est 
toujours en bout de chaîne.
- 
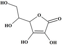
Remarque la molécule 
suivante :  

- 
Nom : 1-hydroxypropan-2-one
Groupes caractéristiques :
| 
			Groupe 
			caractéristique | 
			Famille  
			de composés | 
			Formule générale | 
| –OH Hydroxyle | 
			Alcool | 
			R – OH | 
| 
 
			Carbonyle | 
			aldéhyde | 
 | 
| 
			Cétone | 
 | |
| 
 
			 | 
			Acide  
			carboxylique | 
 | 
- 
Remarque :  
- 
La molécule :  
 
 
- 
Elle possède un groupe 
hydroxyle – OH 
et un groupe carbonyle 
 .
.
- 
Nom : 1-hydroxypropan-2-one
Fonction aldéhyde 
- 
La fonction aldéhyde est 
toujours en bout de chaîne.
| 
			aldéhyde | 
 | 
- 
Autre écriture : 
R – CHO.
- 
La fonction cétone n’est 
jamais en bout de chaîne.
Chauffage à reflux :
- 
Le chauffage à reflux permet 
de chauffer tout en évitant les pertes par évaporation.
- 
Ce montage permet de 
maintenir le milieu réactionnel à une température constante, en l'occurrence 
pratiquement la température d'ébullition du solvant.  
- 
Les vapeurs sont condensées 
dans le réfrigérant et retournent à l'état liquide dans le ballon.  
- 
Les réactifs et les produits 
restent dans le milieu réactionnel.
- 
Il permet d’accélérer la 
réaction sans perte de matière.
- 
Exemple de montage lors de la
synthèse de 
l’acide benzoïque :
Identification d’un produit :
- 
Elle permet l’identification 
de l’espèce chimique obtenue et le contrôle de sa pureté.
- 
Les étapes d’analyses 
permettent de contrôler la pureté du produit synthétisé et de l’identifier à 
partir de ses caractéristiques physiques.
- 
Technique et matériel 
utilisé :
- 
Mesure de la température de 
fusion pour les solides : Banc Kofler
 
 
- 
Mesure de l’indice de 
réfraction pour les liquides : Réfractomètre
- 
Mesure de la température 
d’ébullition : Thermomètre et colonne à distiller
- 
Spectroscopie
IR 
et RMN.
- 
Chromatographie : 
C.C.M.
 
Stratégie d'une synthèse et sélectivité
en chimie organique.
	  
Le rendement d’une synthèse :
- 
On appelle 
rendement, noté η, de la synthèse, le quotient 
de la quantité de produit 
P effectivement obtenue 
nP 
par la quantité maximale attendue 
nmax :
- 
 
 
- 
Le rendement est une grandeur 
sans unité.
- 
Il faut 
exprimer nP 
et nmax dans 
la même unité (mol)
- 
Le rendement peut s’exprimer 
en pourcentage (%)
- 
Si la synthèse du produit 
demande plusieurs étapes, le rendement de la synthèse est égal au produit des 
rendements de chaque étape.
- 
Les raisons d’un rendement 
faible :
- 
La totalité du réactif 
limitant n’a pas été consommée.
- 
Le refroidissement n’a pas 
permis à tout le solide de précipiter ;
- 
Des pertes de produits ont eu 
lieu lors des différentes manipulations ;
- 
La réaction chimique n’est 
pas totale,  
- 
Remarque :  
- 
Le rendement d’une réaction 
est calculé par rapport au réactif limitant.
- 
Dans le cas de la réaction 
d’estérification, le fait de mettre l’un des réactifs en excès augmente le 
rendement de la réaction.
- 
Calcul du rendement :  
- 
 
 
- 
Le rendement est un nombre 
qui n’a pas d’unité.  
- 
Il faut exprimer 
np 
et max dans la même unité.
- 
On exprime souvent le 
rendement sous forme de pourcentage.
Réaction acide-base :
- 
Au cours d’une 
réaction acide-base, l’acide d’un couple réagit avec la base d’un autre couple.
- 
Une réaction 
acido-basique consiste à un transfert d'un proton entre l’acide 
A1H d’un 
couple sur la base A2–
d’un autre couple.
- 
Couple acide / base 1 
: A1H  H 
+ +  
A1–
 
H 
+ +  
A1– 
- 
Couple acide / base 2  
: A2H  H
+ + 
A2–
  H
+ + 
A2– 
- 
Équation de la 
réaction :  
- 
On se place dans le 
cas où l’acide A1H 
réagit sur la base A2– 
A1H  
+  
A2– 
 A1– 
+  
A2H
  
A1– 
+  
A2H
Autre cas
A1H  
+  
A2– 
→ 
A1– 
+  
A2H
- 
L’équation s’écrit 
avec  
- 
une double flèche
 si 
la réaction est non totale ;
 si 
la réaction est non totale ;
- 
une 
simple flèche → 
si la réaction est totale.
- 
La réaction 
A est une réaction 
acido-basique  
- 
Couples mis en jeu : 
H2CO3 
(aq) / 
HCO3
– 
(aq) et
CH2O2 
(aq) / 
CHO2– 
(aq)
| HCO3– 
			(aq) | 
			+ | H+ | 
 | H2CO3 
			(aq) | 
			+ |  | 
			(1) | 
| CH2O2 
			(aq) | 
			+ |  | 
 | CHO2– 
			(aq) 
			 | 
			+ | H+ | 
			(2) | 
| HCO3– 
			(aq) | 
			+ | CH2O2 
			(aq) | 
			
			→ | H2CO3 
			(aq) | 
			+ | CHO2– 
			(aq) | 
			(1) + (2) | 
- 
Acide formique (acide 
méthanoïque ) 
CH2O2 :
 
- 
Ion formiate ( ion 
méthanoate) 
CHO2–
  :
 
- 
Acide carbonique 
H2CO3 :
 ou 
(CO2,
H2O)
 ou 
(CO2,
H2O)
- 
L’ion hydrogénocarbonate  :
 
- 
L’ion carbonate CO32– 
:  
- 
La réaction 
B :  
- 
Problème : 
il faut un oxydant d’un couple et un réducteur 
d’un autre couple.
| C6H8O6
			(aq)
			
			
			 | 
| 
			 
			2 
			H2O
			(ℓ) 
			
			
			 | 
| 
			
			? | 
- 
Couple 
Ox / 
Red : 
C6H6O6 
(aq) / C6H8O6 
(aq) et O2
(g) / 
H2O
(ℓ) 
- 
L’acide 
ascorbique : (vitamine 
C) ; Formule brute : 
C6H8O6
- 
5-(1,2-dihydroxyéthyl)-3,4-dihydroxyfuran-2(5H)-one

- 
Acide déshydroascorbique :
 
- 
Formule 
brute : C6H6O6
- 
5-(1,2-dihydroxyéthyl)oxolane-2,3,4-trione

- 
Demi-équation électronique :
- 
Exemple de réaction :  
| 
			C6H8O6
			(aq)
			
			
			 | 
| 
			I2
			(aq)
			+ 2
			e– 
			
			
			
			 | 
| C6H8O6
			(aq) + 
			I2
			(aq) →
			C6H6O6 (aq) +
			2 I– 
			
			(aq) + 2 
			H+
			(aq) | 
- 
Couple 
Ox / 
Red : 
C6H6O6 
(aq) / C6H8O6 
(aq) et I2
(aq) / 
I–
(aq) 
- 
La réaction C est une 
réaction d’oxydoréduction.
- 
Couples 
Ox / 
Red : 
Cu2+ 
(aq) / Cu 
(s) et Fe2+ 
(aq) / Fe
(s)
| 
			Cu2+ 
			(aq) + 2
			e –  | 
| 
			Fe 
			(s) 
			
			
			 | 
| Cu2+ 
			(aq) + Fe (s) → Cu (s) + 
			Fe2+ (aq)   | 
Cinétique chimique :
- 
L’étude de l’évolution 
temporelle de systèmes chimiques constitue la cinétique chimique.
- 
Certains paramètres agissent 
sur la rapidité d’évolution d’un système chimique.
- 
Ces paramètres sont appelés : 
les facteurs cinétiques de la réaction.
- 
De façon générale,
- 
L’évolution d’un système 
chimique est d’autant plus rapide que les concentrations des réactifs sont 
élevées.
- 
La température d’un mélange 
réactionnel est un facteur cinétique.  
- 
De façon générale,
- 
L’évolution d’un système 
chimique est d’autant plus rapide que la température du mélange réactionnel est 
élevée.
- 
Ce résultat peut 
s’interpréter à l’échelle microscopique.
- 
Plus la température est 
élevée, plus l’énergie cinétique des espèces chimiques sera importante.  
- 
Il découle de ceci que le 
nombre de choc efficace entre les espèces chimiques augmente avec la 
température.  
- 
Une augmentation de la 
température permet à la transformation chimique de se produire plus vite
Les catalyseurs :
- 
Dans certaines réactions, la 
présence en faible quantité, d’une substance chimique spécifique, différente des 
réactifs, peut accélérer l’évolution du système chimique.
- 
De telles substances sont 
appelées catalyseurs
- 
Un catalyseur est une espèce 
chimique qui accélère une réaction chimique.
- 
La formule du catalyseur 
n’apparaît pas dans l’équation de la réaction.
- 
Un catalyseur modifie la 
nature des étapes permettant de passer des réactifs aux produits.
- 
La réaction globale lente est 
remplacée par plusieurs réactions rapides.
- 
Un catalyseur est spécifique 
à une réaction chimique.
- 
Un catalyseur permet d’éviter 
certaines réactions parasites.  
- 
Il permet de travailler dans 
des conditions de température et de pressions plus faibles.  
- 
Il peut permettre de diminuer 
les coûts de production
Système chimique hors d’équilibre :
- 
Tout système chimique, hors 
d’équilibre, évolue spontanément vers un état d’équilibre.
- 
À une 
température donnée, la comparaison du quotient de réaction dans l’état initial,
Qr,i 
à la constante d’équilibre
K 
permet de prévoir le sens d’évolution spontanée du système chimique.
- 
Considérons la réaction 
suivante avec la terminologie associée :
| 
			 |  | 
			 | 
			Sens direct | 
			 |  | 
			 | 
| 
			a A 
			(aq) | 
			+ | 
			b B 
			(aq) | 
 | 
			c C 
			(aq) | 
			+ | 
			d D 
			(aq) | 
| 
			 |  | 
			 | 
			Sens inverse | 
			 |  | 
			 | 
- 
Premier cas : 
- 
Si le quotient 
de réaction initial Qr,i 
est égal à la constante d’équilibre 
K,
 
- 
soit 
Qr,i 
= K, 
le système est déjà à l’équilibre.  
- 
Il n’évolue pas.
- 
Deuxième cas : 
- 
Si le quotient 
de réaction initial Qr,i 
est inférieur à la constante d’équilibre 
K,
 
- 
soit 
Qr,i 
< K,
 
- 
Le système chimique évolue 
spontanément vers un état d’équilibre.
- 
Il évolue dans le 
sens direct
de l’écriture de l’équation de la réaction.
- 
Troisième cas : 
- 
Si le quotient 
de réaction initial Qr,i 
est supérieur à la constante d’équilibre 
K,
 
- 
soit 
Qr,i 
> K, 
le système chimique évolue spontanément vers un état d’équilibre.
- 
Il évolue dans le 
sens inverse
de l’écriture de l’équation de la réaction.

- 
Remarque :
- 
Ce critère d’évolution 
permet de prévoir le sens d’évolution spontanée du système connaissant sa 
composition initiale.
- 
Ce critère ne tient 
pas compte de l’aspect cinétique de la réaction.
- 
Dans le cas présent :
|  |  | 
			 | Sens 
			direct |  |  | 
			 | 
| 2 Ag+ 
			
			(aq) | 
			+ | 
			 Pb
			
			
			(s) | 
 | 2 Ag (s) | 
			+ | 
			 Pb2+ 
			(aq) | 
|  |  | 
			 | Sens 
			inverse |  |  | 
			 | 
- 
Comme il se forme du
Pb 
(s) , le système évolue dans le sens 
inverse.
- 
Qr,i 
> K, 
le système chimique évolue spontanément vers un état d’équilibre.
- 
Il évolue dans le
sens inverse
de l’écriture de l’équation de la réaction.
Quotient de réaction :
- 
Considérons la 
réaction chimique non totale suivante :
a 
. A 
(aq) 
+  
b 
. B
(aq)  
 c 
. C 
(aq) 
+ d
. 
D 
(aq)
 c 
. C 
(aq) 
+ d
. 
D 
(aq)
- 
Par 
définition, le quotient de réaction 
Qr 
de cette réaction s’écrit :
| 
 | |
| 
			Qr  | 
			Quotient de 
			réaction (sans unité) | 
| 
			[C] 
			et 
			[D] | 
			Concentration des 
			produits (mol . L–1) | 
| 
			[A]
			et 
			[B] | 
			Concentration des 
			réactifs (mol . L–1) | 
| 
			
			C0 | 
			Concentration 
			standard : C0 = 
			1,0 mol . L–1 | 
- 
Remarque :
- 
Pour 
simplifier l’expression, on omet de mettre la concentration standard 
C0.
- 
 
 
- 
Mais, 
il ne faut pas oublier que le 
quotient de réaction est une grandeur
sans unité 
qui caractérise un système chimique dans un état donné :
| 
			 |  | 
			 | 
			Sens direct | 
			 |  | 
			 | 
| 
			2 Ag+ 
			(aq) | 
			+ | 
			 Pb
			
			
			(s) | 
 | 
			2 Ag 
			(s) | 
			+ | 
			 Pb2+ 
			(aq) | 
| 
			 |  | 
			 | 
			Sens inverse | 
			 |  | 
			 | 
- 
Les espèces chimiques 
solides n’apparaissent pas dans l’expression du quotient de réaction :
- 

- 
Si [Pb+2] 
augmente, alors Qr,i 
augmente
| 
 |