| 
 | Struture des entités organiques Exercices | 
| 
 | 
|  | 
1)- Exercice 04 page 130 : Déterminer la formule brute d’une molécule :
| Déterminer la formule brute d’une molécule : Une molécule d’acide linoléique contient 18 atomes de carbone, 32 atomes d’hydrogène et 
			2 atomes 
			d’oxygène. - 
			Écrire la formule brute de cette molécule. | 
| Déterminer la formule brute d’une molécule : - 
			Nom : acide linoléique. - 
			Nombre d’ atomes de carbone : 18,  - 
			Nombre d’ atomes d’hydrogène : 32  - 
			Nombre d’ atomes d’oxygène :2. - 
			Formule brute de cette molécule : - 
			C18H32O2 - 
			À partir du nom de la molécule, on peut affirmer : - 
			Que la molécule est linéaire (pas de ramification) - 
			Que l’on est en présence d’un acide carboxylique. - 
			Autre formulation : - 
			C17H31 
			 – 
			COOH - 
			CH3 
			– (CH2)4 – CH = CH –
			CH2 
			– CH = CH – (CH2)7 – 
			COOH - 
			Quelques acides gras : - Un acide gras est un acide carboxylique à chaîne linéaire, saturée ou non, possédant en général un nombre pair d'atomes de carbone, entre 4 
			et 22. 
 - 
			L’huile de lin est constituée en 
			majeure partie d’un mélange de triglycérides issus des acides gras 
			suivants : - 
			L’acide a-linolénique 
			(45 à 70 %) ; - 
			L’acide linoléique (12 à 24 %) ; - 
			L’acide oléique (10 à 21 %) ; - 
			On peut donner la formule semi-développée de l'acide 
			linoléique de cette molécule : 
 - 
			La formule topologique (E9-E12) : 
 - 
			La formule topologique (Z9-Z12) : 
 - 
			Molécule 3D : 
 | 
2)- Exercice 06 page 130 : Écrire une formule semi-développée :
| Écrire une formule semi-développée : La méthionine est un acide α–aminé essentiel, non synthétisé par 
			l’être humain, qui doit donc être fourni par l’alimentation. Un schéma de Lewis de la molécule de méthionine est représenté 
			ci-dessous. 
 
			
			- 
			Écrire la formule semi-développée de 
			la molécule de méthionine. | 
| Écrire une formule semi-développée : 
			
			- 
			Un schéma de Lewis de la molécule de 
			méthionine est représenté ci-dessous. 
 
			
			- 
			Formule semi-développée de la 
			molécule de méthionine : 
 
			
			- 
			Nom : acide 
			2-amino-4-(methylsulfanyl)butanoïque 
			
			- 
			Formule brute :
			C5H11NO2S 
			
			- 
			Formule topologique : 
 
			
			- 
			Représentation 3D : 
 | 
3)- Exercice 07 page 130 : Identifier des groupes caractéristiques :
| Identifier des groupes caractéristiques : Parmi les molécules, dont les formules semi-développées sont représentées ci-dessous, identifier celles qui possède un groupe hydroxyle et celles qui possèdent un groupe carboxyle. Reporter les résultats dans un tableau. a. 
			Acide oxalique :  b. 
			Acide 3–hydroxypropanoïque :  c. 
			Sérine :  d. 
			Glycérol :  | 
	
	 Identifier des groupes caractéristiques : a. 
			Acide oxalique : b. 
			Acide 3–hydroxypropanoïque :  
			 c. 
			Sérine :  
			 
			
			- 
			Acide 2-amino-3-hydroxypropanoïque. d. 
			Glycérol :  
			
			- 
			Propan-1,2,3- triol
		
			 
	
			 
		 
  
  
  
 
4)- Exercice 08 page 130 : Nommer des groupes caractéristiques :
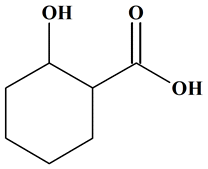
| Nommer des groupes caractéristiques : Recopier la formule semi-développée de la molécule ci-dessous, puis entourer et nommer les groupes caractéristiques de cette 
			molécule. 
 | 
	
	 Nommer des groupes caractéristiques : 
			
			- 
			Molécule d’acide 
			2-hydroxycyclohexane-1- carboxylique : 
			
			- 
			Cette molécule possède un groupe 
			hydroxyle – OH (fonction alcool) 
			
			- 
			Et un groupe carboxylique (fonction 
			acide carboxylique). 
			
			- 
			Formule brute : C7H12O3 
			
			- 
			Formule topologique :  
			
			- 
			Représentation 3D :
		
			 
	
			 
		



5)- Exercice 09 page 131: Identifier des familles de composés :
| Identifier des familles de composés : Identifier la famille à laquelle appartiennent les molécules dont 
			les formules semi-développées sont représentées ci-dessous : a. 
			 b. 
			H2C = O. c. 
			 d. 
			 | 
| Identifier des familles de composés : a. 
			Acide méthanoïque : acide formique 
			
			- 
			Famille des acides carboxyliques : 
			
			- 
			Groupe carboxyle : 
			
			- 
			Formule brute : HCOOH 
			 
			 
			
			- 
			Formule topologique : 
 
			
			- 
			L'acide formique est présent dans la 
			composition de la majorité 
			des venins de fourmis (formica : un genre 
			de fourmis). b. 
			Méthanal : Formaldéhyde : 
			
			- 
			Groupe carbonyle :  
			
			- 
			Famille des aldéhydes : 
			 
			
			- 
			Formule brute : H2CO. c. 
			Éthanol : alcool éthylique : 
			
			- 
			Famille des alcools : 
			R – OH 
			
			- 
			Groupe hydroxyle 
			
			- 
			Formule brute : CH3CH2OH 
			
			- 
			Formule semi-développée : 
			 
			
			- 
			Formule topologique : 
			 
			 
			 d. 
			Propanone : acétone. 
			
			- 
			Famille des cétones : 
			 
			
			- 
			Groupe carbonyle : 
			 
			
			- 
			Formule brute : C3H6O 
			
			- 
			Formule semi-développée : 
 
			
			- 
			Formule topologique : 
			 - Représentation 3D : 
			 ou 
			 
 | 
6)- Exercice 11 page 131 : Corriger des noms de molécules :
| Corriger des noms de 
			molécules : Les formules semi-développées ci-dessous ont été associés à des 
			noms. 
			
			- 
			 Corriger 
			si nécessaire ces noms en justifiant la réponse. a. 
			Butan-3-ol :  b. 
			2-méthylpentan-2-ol :  c. 
			Acide 3-propylpropanoïque :  d. 
			3-méthylbutanal :  e. 
			3-méthylpentan-2-one :  f. 
			3-méthylpentan-4-one :
			 | 
| Corriger des noms de molécules : a. 
			Ce n’est pas le butan-3-ol. 
			 
			
			- 
			On est en présence du butan-2-ol. 
			
			- 
			La chaîne carbonée est numérotée de 
			telle sorte que le numéro de l’atome fonctionnel soit le plus petit 
			possible. 
 
			
			- 
			Racine : 
			butan– : 
			4 atomes 
			de carbone 
			
			- 
			
			Suffixe : ol 
			(groupe 
			hydroxyle – OH 
			sur le carbone N° 2) 
			
			- 
			
			Préfixe : aucun : 
			pas de ramification 
			
			- 
			Nom : butan-2-ol. b. 
			Ce n’est pas le 2-méthylpentan-2-ol : 
			 
			
			- 
			On est en présence du 4-méthylpentan-2-ol : 
 
			
			- 
			Racine : 
			pentan– : 5 
			atomes de carbone 
			
			- 
			
			Suffixe : ol 
			(groupe 
			hydroxyle sur le carbone N° 2) 
			
			- 
			
			Préfixe : méthyl : 
			groupe méthyl– sur le carbone N° 4. 
			
			- 
			Nom : 4-méthylpentan-2-ol. c. 
			Ce n’est pas l’acide 3-propylpropanoïque : 
			 
			
			- 
			Acide 2-méthylpentanoïque 
 
			
			- 
			Racine : 
			pentan– : 5 
			atomes de carbone (chaîne la plus longue) 
			
			- 
			
			Suffixe : oïque 
			(groupe 
			carboxyle : 
			 
			
			- 
			
			Préfixe : méthyl : 
			groupe méthyl– sur le carbone N° 2. 
			
			- 
			Nom : Acide 2-méthylpentanoïque. d. 
			C’est bien le 3-méthylbutanal. 
 
			 
			
			- 
			Racine : 
			butan– : 
			4 atomes 
			de carbone 
			
			- 
			
			Suffixe : al 
			(groupe 
			carbonyle  
			 
			
			- 
			
			Préfixe : méthyl : 
			groupe méthyl– sur le carbone N° 3. 
			
			- 
			Nom : 3-méthylbutanal. e. 
			C’est bien la 3-méthylpentan-2-one : 
 
			 
			
			- 
			Racine : 
			pentan– : 5 
			atomes de carbone (chaîne la plus longue) 
			
			- 
			
			Suffixe : one 
			(groupe 
			carbonyle
			 type cétone :
			 
			
			- 
			
			Préfixe : méthyl : 
			groupe méthyl– sur le carbone N° 3. 
			
			- 
			Nom : 3-méthylpentan-2-one. f. 
			Ce n’est pas la
			3-méthylpentan-4-one : 
 
			 
			
			- 
			Racine : 
			pentan– : 5 
			atomes de carbone. 
			
			- 
			
			Suffixe : one 
			(groupe 
			carbonyle 
			 type cétone : 
			 
			
			- 
			
			Préfixe : méthyl : 
			groupe méthyl– sur le carbone N° 3. 
			
			- 
			Nom : 3-méthylpentan-2-one. | 
7)- Exercice 17 page 132 : Valider un procédé de synthèse :
| Valider un procédé de synthèse : Le 2-méthylpropan-1-ol est une espèce chimique présente dans la composition des peintures. Il améliore la glisse du rouleau lors de 
			l’application de la peinture. 
 Une entreprise cherche à développer un procédé d’obtention du 
			2-méthylpropan-1-ol à partir de l’acide 2-méthylpropanoïque. À la fin de la transformation, un technicien réalise une analyse par spectroscopie infrarouge sur le produit obtenu. Le spectre infrarouge est donné 
			ci-dessous. 1. 
			À partir de leur formule semi-développée, 
			justifier le nom des deux espèces chimiques. 2. 
			L’entreprise peut-elle utiliser ce procédé 
			pour synthétiser le 2-méthylpropan-1-ol ? 
			
			- 
			Données : 
			
			- 
			Formules semi-développées : 
			
			- 
			2-méthylpropan-1-ol :
			  
			
			- 
			Acide 2-méthylpropanoïque :  
			
			- 
			Tableau : 
 
			
			- 
			Quelques spectres : 
Groupe hydroxyle : 
 
Groupe carbonyle : 
 
Groupe carboxyle : 
 
			 | 
| Valider un procédé de synthèse : 1. 
			Nom des deux espèces chimiques. 
			
			- 
			Le 2-méthylpropan-1-ol : 
 
			
			- 
			Racine : 
			propan– : 3 
			atomes de carbone. 
			
			- 
			
			Suffixe : ol 
			(groupe 
			hydroxyle – OH sur le carbone N° 1) 
			
			- 
			
			Préfixe : méthyl : 
			groupe méthyl– sur le carbone N° 2. 
			
			- 
			L’acide 2-méthylpropanoïque : 
 
			
			- 
			Racine : 
			propan– : 3 
			atomes de carbone. 
			
			- 
			
			Suffixe : oïque 
			(groupe 
			carboxyle) 
			
			- 
			
			Préfixe : méthyl : 
			groupe méthyl– sur le carbone N° 2. 2. 
			Le procédé pour synthétiser le 
			2-méthylpropan-1-ol : 
			
			- 
			Exploitation du spectre
			IR : 
			
			- 
			La bande d’absorption relative aux 
			liaisons – O – H se situe 
			autour du nombre d’onde σ ≈ 3000 cm–1. 
			
			- 
			Cette bande est caractéristique d’un 
			acide carboxylique. 
			
			- 
			La double liaison
			C = O donne une bande fine et forte vers 1700 cm–1. 
			
			- 
			Cette bande n’apparaît pas pour les 
			alcools comme le 2-méthylpropan-1-ol. 
			
			- 
			Le spectre du produit obtenu n’est 
			pas celui d’un alcool, mais celui d’un acide carboxylique. 
			
			- 
			Le procédé utilisé ne permet pas 
			d’obtenir le 2-méthylpropan-1-ol. 
			
			- 
			Le spectre IR de l’acide 
			2-méthylpropanoïque. 
			
			- 
			Spectre
			IR du 
			2-méthylpropan-1-ol : 
			
			- 
			La liaison O – H se manifeste 
			par une bande d’absorption forte et large de 3100 cm–1 à 
			3300 cm–1. 
			
			- 
			Les liaisons
			Ctét – H 
			donnent une bande d’absorption forte de 2900 cm–1 à 3000 
			cm–1. | 
8)- Exercice 18 page 133 : Réaliser un contrôle de qualité :
| Réaliser un contrôle de qualité : L’acide glycolique est un solide utilisé en cosmétologie. Il peut 
			être extrait du « vesou » (liquide obtenu par broyage de la canne à 
			sucre et qui contient 0,10 % en masse d’acide glycolique) ou 
			synthétisé à partir du glyoxal. 
			
			- 
			Données : 
			
			- 
			Masse volumique de l’acide 
			glycolique : ρ = 1,49 g . 
			mL–1. - Bandes de vibrations infrarouges : 
			
			- 
			Tableau : 
 
Groupe hydroxyle : 
 
Groupe carbonyle : 
 
Groupe carboxyle : 
 1. 
			Recopier la formule semi-développée de 
			l’acide glycolique puis entourer et nommer les groupes 
			caractéristiques présents. 2. 
			Vérifier la présence d’acide glycolique dans 
			le « vesou » (doc. A). 3. 
			Justifier le nom de chacune des espèces 
			chimiques présentes dans l’éluant (doc. A). 4. 
			Déterminer la masse de « vesou » nécessaire 
			pour obtenir 100 mL d’acide glycolique pur. 5. 
			Proposer un argument qui explique que les 
			industriels préfèrent la synthèse de l’acide glycolique à son 
			extraction. 6. 
			Un spectre infrarouge du produit synthétisé 
			est donné (doc. B). Justifier qu’il peut correspondre à l’acide 
			glycolique. A. 
			
			Chromatographie sur couche mince du 
			« vesou ». 
			
			- 
			Nature des dépôts : 
			
			- 
			Dépôt 1 : « vesou » ; 
			
			- 
			Dépôt 2 acide glycolique pur. 
			
			- 
			Éluant : acide éthanoïque (30 %) :  
			
			- 
			butan-1-ol (70 %) :
			CH3 – CH2
			– CH2
			– CH2
			– OH 
			
			- 
			CCM : 
 B. 
			
			 Synthèse 
			de l’acide glycolique. 
			
			- 
			L’acide glycolique (a.) est 
			synthétisé à partir du glyoxal (b.) a. 
			Acide glycolique : 
			 b. 
			Glyoxal : 
			 
			
			- 
			Spectre infrarouge du produit 
			synthétisé : | 
	
	 Réaliser un contrôle de qualité : 
			
			- 
			Bandes de vibrations infrarouges :  1. 
			Les groupes caractéristiques présents. 
			
			- 
			Acide glycolique : 
			
			- 
			Autre nom : acide hydroxyéthanoïque : 
			
			- 
			Glyoxal :
			 
			
			- 
			Autres noms : oxaldéhyde ; 
			éthanedial. 
			
			- 
			Formule topologique :
			  2. 
			Présence d’acide glycolique dans le 
			« vesou » (doc. A). 
			
			- 
			Étude de la C.C.M : 
			
			- 
			Nature des dépôts : 
			
			- 
			Dépôt 1 : « vesou » ; 
			
			- 
			Dépôt 2 : acide glycolique pur. 
			
			- 
			Le « vesou » est un mélange de 
			plusieurs espèces chimiques (3 taches distinctes).  
			
			- 
			On note la présence d’acide 
			glycolique : 
			
			- 
			Deux taches à la
			 même hauteur pour les dépôts 
			d’acide glycolique pur et de « vesou ») 3. 
			Nom de chacune des espèces chimiques 
			présentes dans l’éluant (doc. A). 
			
			- 
			Acide éthanoïque : 
			
			- 
			Racine : 
			éthan– : 2 
			atomes de carbone. 
			
			- 
			
			Suffixe : oïque 
			(groupe 
			carboxyle : ) 
			
			- 
			
			Préfixe : aucun : 
			la molécule n’est pas ramifiée. 
			
			- 
			Butan-1-ol :
			 
			
			- 
			Racine : 
			butan– : 4 
			atomes de carbone. 
			
			- 
			
			Suffixe : ol 
			(groupe 
			hydroxyle : – OH sur l’atome de carbone N° 1 ) 
			
			- 
			
			Préfixe : aucun : 
			la molécule n’est pas ramifiée. 4. 
			Masse de « vesou » nécessaire pour obtenir 
			100 mL d’acide glycolique pur. 
			
			- 
			« vesou » : liquide obtenu par 
			broyage de la canne à sucre et qui contient 0,10 % en masse d’acide glycolique. 
			
			- 
			Masse volumique de l’acide 
			glycolique : ρ = 1,49 g . 
			mL–1.  
			
			- 
			Masse
			m de 100 mL d’acide 
			glycolique : 
			
			- 
			
			m =
			ρ .
			V 
			
			- 
			Or la masse
			m représente 0,10 % de la 
			masse de vesou : m (vesou) 
			
			- 
			Relation : 
			
			- 
			 - 
			Il faut traiter environ 150 kg de « vesou » pour 
			obtenir 100 mL d’acide glycolique pur. 5. 
			Argument qui explique que les industriels 
			préfèrent la synthèse de l’acide glycolique à son extraction. 
			
			- 
			Coût de fabrication. 
			
			- 
			Rendement insuffisant. 
			
			- 
			Déchets très importants, impact sur 
			l’environnement 6. 
			Étude du spectre infrarouge du produit 
			synthétisé. 
			
			- 
			Exploitation du spectre
			IR : 
			
			- 
			La bande d’absorption relative aux 
			liaisons – O – H se situe 
			autour du nombre d’onde σ ≈ 3300 cm–1. 
			
			- 
			Cette bande est relative au groupe 
			hydroxyle – OH d’un alcool. 
			
			- 
			Cette bande est forte et large. 
			
			- 
			Cette bande se superpose à la bande 
			relative aux liaisons – O – H
			 qui se situe autour du nombre d’onde σ ≈ 3000 cm–1. 
			
			- 
			Cette bande est relative au groupe 
			hydroxyle – OH d’un acide 
			carboxylique) 
			
			- 
			La double liaison
			C = O donne une bande fine et forte vers 1750 cm–1. 
			
			- 
			Ce spectre est en accord avec la 
			molécule d’acide glycolique qui comprend : 
			
			- 
			Un groupe hydroxyle et un groupe 
			carboxyle. 
			
			- 
			L’acide glycolique peut aussi être 
			obtenu à partir d’extrait de betterave et de raisin. 
			
			- 
			Grâce à son excellente capacité à 
			pénétrer la peau, l’acide glycolique est  très utilisé dans les produits de 
			soins pour la peau,   
			le plus souvent dans les peelings (technique destinée à régénérer la peau 
			du visage). 
			
			- 
			L’acide glycolique permet d’améliorer 
			la texture et l’apparence de la peau.  
			
			- 
			Il peut rédui
		
			 
	
			 
		
 ou
 ou 
			
 
  
 
 
 
 
 
| 
 |