| TP Physique N° 03 | La Visée : Vous visez quoi ? Comment ? pourquoi faire ? Enoncé. | 
 | |
| Programme 2010 : Physique et Chimie Programme 2020 : Physique et Chimie | 
| objectif : déterminer la distance d’un objet inaccessible par mesure directe. | 
| II- Mesure du rayon de la Terre. 2)- La mesure du rayon de la Terre | 
|  | 
Matériel : Double décimètre, feuille de papier.
   À l’aide d’une règle transparente posée verticalement
  contre la vitre et maintenue à bout  de
  bras,
À l’aide d’une règle transparente posée verticalement
  contre la vitre et maintenue à bout  de
  bras, 
- mesurer avec un œil (O) la hauteur apparente h du campanile de la porte Soubeyran.
- Durant cette mesure, l’autre membre du binôme, avec un mètre d’arpenteur ou un réglet, mesure la distance d entre l’œil (O) et le repère inférieur de la longueur h.
| 
		   
		   et maintenue à bout de bras, mesurer avec un œil (O) la hauteur apparente h du support posé  sur la paillasse
          du professeur. 
		   
		   
		   
		   
		   
		   |  
           | 

 Faire le schéma de la manipulation.
Faire le schéma de la manipulation.
- Présenter les résultats des différentes mesures sous forme d’un tableau.
 Énoncer le principe de propagation rectiligne de la lumière.
Énoncer le principe de propagation rectiligne de la lumière. 
- Comment se nomme la ligne droite concernée ? Comment est-elle orientée ?
- À l’aide du théorème de Thalès, exprimer littéralement D puis déterminer sa valeur numérique.
- Vérifier le résultat à l'aide du mètre ruban.
- Dans quels domaines cette méthode peut-elle être utilisée ?
  II-
  Mesure du rayon de  
| Avec son invasion en 332 avant J.C. par Alexandre le Grand, l'Égypte va vivre pendant trois siècles son influence grecque. Pendant cette période,   Parmi tous les savants de l'époque, on distinguera : 
  Aristarque de Samos. 
  Il émet
  l’hypothèse que   
  	  
  	  (notamment la
  forme du cône d’ombre sur   Ératosthène. Directeur de la grande bibliothèque d'Alexandrie en 236 avant J.C., il eut accès à l'ensemble du savoir de son temps. 
  En 205 avant J.C, il propose une méthode
  purement géométrique pour mesurer la taille de   Ératosthène observa que les ombres ne sont pas les mêmes suivant l'endroit où l'on se trouve. En particulier, il compara les ombres le jour du solstice d'été dans deux villes : Syène (Assouan) au sud et Alexandrie au nord. A Syène (ASSOUAN), à midi, le Soleil est au zénith. Cela signifie que les objets n'ont pas d'ombre. Ératosthène observa que les rayons du Soleil atteignent
  verticalement le fond d'un puits. Le même jour, à la même heure, à Alexandrie, plus au nord, les bâtiments ont une ombre. Ératosthène constate que la longueur de l’ombre faite par un gnomon (tige verticale qui servait de cadran solaire) représente le 1/8 de la
  hauteur de ce dernier. 
  Connaissant
  approximativement la distance entre les deux villes, Ératosthène en
  déduisit la circonférence de   
Comme 
  lui, nous allons en déduire le rayon de  | 
  2)-
  La mesure du rayon de   
- Ératosthène fit l’hypothèse selon laquelle les rayons du soleil arrivant sur Terre sont parallèles entre eux.
- Comment justifier cette hypothèse ?
|  
           | - Reproduire le schéma ci-contre (rayon du cercle R = 10) cm. - Placer les villes de Syène (S) et d’Alexandrie (A), connaissant leur latitude : - 24° Nord pour Syène et 31°Nord pour Alexandrie. - Ératosthène considère que ces deux villes sont sur le même méridien. 
		- Sur 
          le schéma, représenter en pointillé, en partant du centre de   la verticale de chaque ville. 
		- Placer, 
          à Alexandrie, un gnomon à la verticale du lieu de longueur 
		h = 
		  
		 (échelle non respectée 
          par rapport à   - Tracer la direction des rayons du Soleil à Syène, le jour du solstice d’été à midi et au même moment à Alexandrie. - Dessiner puis mesurer l’ombre du gnomon. - On notera ℓ cette longueur. | 
Document 1 :
Cliquer sur l'image pour l'agrandir
- Soit α l’angle formé par les deux verticales et β l’angle formé par le gnomon à Alexandrie et les rayons du soleil.
- Les représenter sur le schéma.
- Quelle relation existe-t-il entre ces deux angles.
- Calculer β en utilisant les relations trigonométriques dans un triangle rectangle et en déduire la valeur de α.
- Les relevés cadastraux de l’époque d’Ératosthène indiquaient 5000 stades pour la distance entre Syène et Alexandrie.
-  
  Sachant que 1 stade =  
- Vérifier la valeur trouvée à l’aide de la carte fournie (document 1). Conclusion.
-  
  Connaissant l’angle  
α et la distance 
  d séparant les deux villes, en déduire 
  la circonférence de  
- En 
  déduire la valeur du rayon 
R 
  
E 
  de  
  ʘ
-  
  Comparer cette valeur avec celle actuellement admise de 
 
-  
  Incertitude 
  relative : déterminer la valeur de l’incertitude relative  
   
 sur 
  la mesure.
sur 
  la mesure. 
  
- Conclusion.
III- Parallaxe entre les yeux (Pour aller plus loin)
- Le phénomène de parallaxe se manifeste quand on vise un objet de 2 endroits différents.
- La parallaxe est l’angle p entre deux directions de visée du point qui représente l’objet.
   Choisir un point fixe 
  
  P
  situé à plus de 2 m.
 Choisir un point fixe 
  
  P
  situé à plus de 2 m.
- Viser avec l’œil gauche (G) le point fixe P et l’aligner avec la graduation zéro (O) du double décimètre tenu horizontalement à bout de bras.
- Sans bouger la tête, viser avec l’œil droit (D) le point fixe P et mémoriser la division x de la graduation coïncidant avec P.
- L’autre membre du binôme mesure la distance y entre les deux yeux et la distance d entre le point I et le point P'.
  
   Indiquer
  les différentes mesures.
Indiquer
  les différentes mesures.
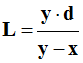
 Faire un schéma et retrouver la relation suivante :
Faire un schéma et retrouver la relation suivante : 
 

  
| 
		 | 
  ʘ I est le milieu du segment GD et (PI) // (JH) Étudier les triangles HDJ et IDP. Utiliser le théorème de Thalès et exprimer HD en fonction de y et x. 
 | 
   Comparer
  le résultat obtenu avec sa mesure.
Comparer
  le résultat obtenu avec sa mesure.
- À quoi peut-on s’attendre si le point P est à plus de 20 m ? Que constate-t-on ? Que peut-on dire des rayons ?