|
TP Physique N° 03 |
La Visée |
|
I-
Évaluation
de la hauteur H
du campanile de la porte
Soubeyran
à Manosque.![]()
Schéma :

- Tableau de mesures :
|
Distance sur le plan |
Distance réelle |
|
3,4 cm |
100 m |
|
10,9 cm |
D = ? |
- Valeur de la distance D :
-
- Résultats des différentes mesures :
|
Valeur de h |
Valeur de d |
|
2,1 cm |
61 cm |
- Remarque : la distance D >> d.
- On peut considérer que la distance D représente aussi bien la distance de l'œil au campanile que la distance du bâtiment au campanile D + d ≈ D.
- Considérons les triangles OAA' et OBB'.
- Les droites (AA') et (BB') sont parallèles.
- Le théorème de Thalès appliqué à la figure permet d'écrire la relation suivante :
-
- Application numérique :
|
d |
61 cm |
|
h |
2,1 cm |
|
D |
320 m |
|
H |
? |
-
|
Principe de propagation rectiligne de la lumière : - La lumière se propage en ligne droite dans tout milieu transparent homogène (comme l’air, l’eau et le vide). - Le trajet suivi par la lumière peut être modélisé par une ligne droite fléchée dans le sens de la propagation. - Ce modèle de représentation s’appelle le rayon lumineux. |

- Mesure les distances d et ℓ et AB :
|
d |
18,05 cm |
|
ℓ |
17,7 cm |
|
AB |
5,31 m |
|
D |
? |
- Considérons les triangles A'B'E et ABO.
- Les droites (B'E) et (BO) sont parallèles.
- Le théorème de Thalès appliqué à la figure permet d'écrire la relation suivante :
-

- Application numérique :
-

III-
Parallaxe
entre les yeux
: Devoir
- Mesure des distances d et L et AB :
|
L |
300 cm |
|
d |
52,0 cm |
|
y |
7,00 cm |
|
x |
5,75 cm |
- Schéma :
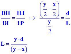
- Relation :
- Les droites (HJ) et (IP) sont parallèles.
- Le théorème de Thalès appliqué à la figure permet d'écrire la relation suivante :
- On étudie les triangles HDJ et IDP :
-

- Résultat obtenu :
- 
- Précision de la mesure :
-

- Si le point P est très éloigné, plus de 20 mètres, alors : x ≈ y.
- Les rayons lumineux (GP) et (DP) sont pratiquement parallèles.
- Les rayons lumineux qui arrivent dans les yeux d'un observateur en provenance d'un objet éloigné sont quasiment parallèles.