Oscillations libres dans un circuit RLC, exercices de physique, correction, ts08phc

Phys. N° 08

Oscillations libres

dans un

circuit (R, L, C).

Exercices. Correction.

Cours

   

 

 
logo

Programme 2012 :

Physique et Chimie

Programme 2020 :

Physique et Chimie

Exercice 11 page 209

 Exercice 22 page 211.

Exercice 24 page 212 :

Oscillateur électrique.

Exercice 15 page 210.

 exercice 5 page 217 : étude et modélisation d’un circuit.

 

I- Applications.

 Exercice 11 page 209.haut

On réalise le montage schématisé ci-dessous afin d’étudier la décharge d’un condensateur

de capacité C = 1,0 μF dans la bobine d’inductance L.

circuit LC

1)- Représenter sur un schéma, les branchements de l’oscilloscope permettant de visualiser la tension uC aux bornes du condensateur.

On obtient l’oscillogramme représenté ci-dessous (base de temps : 1 ms / div).

oscillogramme

2)- Quelles positions successives doit prendre l’interrupteur ?

3)- Peut-on considérer la bobine comme idéale ? Pourquoi ?

4)- Comment peut-on qualifier le régime observé ?

5)- On assimile la pseudo-période à la période propre du circuit. Déterminer la valeur de l’inductance L de la bobine.

6)- On place en série dans le circuit, une résistance R variable.

Comment évolue l’oscillogramme si la valeur de R augmente ?

Quels sont les régimes observés ?

 

Solution

1)- Branchements :

circuit LC

2)- Positions successives de l’interrupteur. 

-  Premier temps, on bascule l’interrupteur en position 1 : on charge le condensateur C

-  Deuxième temps, on bascule l’interrupteur en position 2 : on décharge le condensateur dans la bobine r, L

-  On visualise la décharge grâce à l’oscilloscope à mémoire.

3)- La bobine n’est pas idéale car l’amplitude des oscillations diminue au cours du temps. 

-  La bobine possède une résistance r faible mais non négligeable.

4)- On observe des oscillations libres amorties. Le régime est pseudo-périodique.

5)- Valeur de l’inductance L de la bobine

-  À l’aide de l’oscillogramme, on peut déterminer la valeur de la pseudo-période :

-  T1 = b . x

-  T1 = 1,0 x 4,0

-  T1 4,0 ms

-  Les oscillations étant peu amorties :

-  L = 0,41 H

6)- Si la valeur de la résistance R augmente et que R < RC, le régime observé est pseudo-périodique

et l’amplitude des oscillations diminue de plus en plus rapidement.

-  Si R = RC, on a atteint le régime critique.

-  Si R > RC, on a atteint le régime apériodique. Il n’y a plus d’oscillations.

  retour haut

Exercice 15 page 210.

Un circuit L C série est constitué par un condensateur de capacité C = 1,0 μF, une bobine d’inductance L = 1,0 H

et de résistance négligeable, et d’un interrupteur K.

Le condensateur est préalablement chargé et, l’interrupteur K étant ouvert,

la tension aux ornes du condensateur est uC = 80 V. à la date t = 0, on ferme K.

1)- Établir l’équation différentielle à laquelle obéit la tension uC aux bornes du condensateur.

2)- La tension uC (t) peut se mettre sous la forme : expression de uC . Déterminer les expressions de U, T0 et k,

puis les calculer. En déduire la valeur de la fréquence propre du circuit.

3)- On refait la même expérience, mais en intercalant un conducteur ohmique de résistance R variable en série dans le circuit.

On se propose d’observer, avec un oscilloscope à mémoire,

la variation en fonction du temps de la tension uC aux bornes du condensateur après la fermeture de K à la date t = 0.

a)- Représenter le circuit et les connexions avec l’oscilloscope.

b)- On enregistre les oscillogrammes pour diverses valeurs de la résistance R du conducteur ohmique.

Attribuer un oscillogramme à chacune des trois résistances choisies :

R1 = 2200 Ω ; R2 = 100 Ω ; R3 = 400 Ω. Préciser le régime des oscillations dans chaque cas.

graphique : uC = f (t)

 

Solution

1)- Équation différentielle à laquelle obéit la tension uC aux bornes du condensateur.

-  Schéma du circuit :

circuit LC

-  L’additivité des tensions :

-  additivité des tensions

2)- expression de la tension : expression de uC

-  Cette expression vérifie l’équation différentielle (1)

-  équation différentielle

-  En identifiant (1) et (1’) : expression de la période propre du circuit LC

-  Au temps t = 0, le circuit est ouvert i (0) = 0 et uC = 80 V.

-  intensité du courant

-  tension uC

-  période propre des oscillations et fréquence propre.

-  période propre et fréquence

3)- Influence de la résistance du circuit.

a)- Schéma du circuit.

circuit LC

  b)- Le régime des oscillations.

-  Courbe a : R2 = 100 Ω : Régime pseudo-périodique. Le système effectue des oscillations libres amorties.

-  Courbe b : R3 = 400 Ω : Régime pseudo-périodique. Le système effectue des oscillations libres  très amorties.

-  Courbe c : R1 = 2200 Ω  Régime apériodique. Le système n’effectue pas d’oscillation.

uC = f (t)

haut

 Exercice 22 page 211.

On considère un circuit LC idéal. En plaçant un interrupteur K sur la position 1,

on charge le condensateur sous la tension E = 10 V. 

à l’instant t = 0, on bascule l’interrupteur sur la position 2.

Il s’établit un courant sinusoïdal i, pour lequel l’orientation est indiquée.

La charge du condensateur évolue au cours du temps selon :

q (t) = qm cos (α . t + k).

circuit LC

Répondre par VRAI  ou FAUX aux questions suivantes :

1)- À l’instant t = 0, la charge du condensateur vaut :

    q0 =  10 – 6  C

 

2)- L’intensité du courant i a pour expression : expression de l'intensité

 

3)- La période des oscillations est : 

T 0,6 s

 

4)- L’intensité en ampère est :

expression de i (t)  

 

 

 

On considère un circuit LC idéal. En plaçant un interrupteur K sur la position 1,

on charge le condensateur sous la tension E = 10 V. 

à l’instant t = 0, on bascule l’interrupteur sur la position 2.

Il s’établit un courant sinusoïdal i, pour lequel l’orientation est indiquée.

La charge du condensateur évolue au cours du temps selon :

q (t) = qm cos (α . t + k).


circuit LC

1)- À l’instant t = 0,

la charge du condensateur vaut :

    q0 =  10 – 6  C

VRAI : q0 = C . E  10 – 6  C

2)- L’intensité du courant i a

pour expression : expression de i

FAUX : avec l’orientation choisie :

expression de i

3)- La période des oscillations est : 

T 0,6 s

FAUX : 

T0 = 6,3 E-4 s

4)- L’intensité en ampère est :

expression de i  

FAUX :

On donne :  q (t) = q m cos (α. t + k)

Or expression de i  

Les conditions initiales donnent :

t = 0 , i (0) = 0

 i (t) = - a . q m sin (a t + k

i (0) = 0 => sin k = 0

{

k = 0

k = p

=>

Au temps t = 0,

le condensateur est chargé

et il porte la charge

q (0) = C E = q0 qui est positive.

En conséquence : qm = q0 et k = 0.

expression de i

haut

 

 Exercice 24 page 212 : Oscillateur électrique.

Un condensateur de capacité C = 0,25 μF est chargé à l’aide d’un générateur de tension de f.é.m. E = 6,0 V,

puis déconnecté du générateur.

À la date t = 0, le condensateur chargé est relié à une bobine d’inductance L et de résistance r.

L’évolution au cours du temps de la tension uC aux bornes du condensateur est enregistrée à l’aide d’un ordinateur

(le condensateur est étudié en convention récepteur).

oscillogramme

Sensibilité

verticale :

 2 V / div

Durée de

balayage :

 1 ms / div

1)- Comment appelle-t-on le type d’oscillations observées ?

2)- Comment interpréter la décroissance des oscillations ?

3)- Établir l’équation différentielle à laquelle satisfait uC.

circuit LC

4)- Mesurer la pseudo-période T’ des oscillations.

5)- On considère que la résistance r de la bobine est nulle.

a)- Écrire la nouvelle équation différentielle satisfaite par u C.

b)- La solution de l’équation s’écrit : uC (t) = U cos( α . t + φ). Déterminer les expressions des constantes  U,  α  et φ.

c)- en déduire l’expression de la charge q (t) du condensateur et de l’intensité i (t) à l’instant t.

d)- Quelle est l’expression littérale de la période des oscillations qui prennent naissance dans le circuit ?

6)- Calculer  la valeur de l’inductance L de la bobine en admettant que la pseudo-période est identique à la période.

 

Un condensateur de capacité C = 0,25 μF est chargé à l’aide d’un générateur de tension de f.é.m. E = 6,0 V,

puis déconnecté du générateur.

À la date t = 0, le condensateur chargé est relié à une bobine d’inductance L et de résistance r.

L’évolution au cours du temps de la tension uC aux bornes du condensateur est enregistrée à l’aide d’un ordinateur

(le condensateur est étudié en convention récepteur).

oscillogramme

Sensibilité

verticale :

 2 V / div

Durée de

balayage :

 1 ms / div

1)- Comment appelle-t-on le type d’oscillations observées ?

-  On est en présence d’oscillations libres amorties. Le régime observé est pseudo-périodique.

2)- Comment interpréter la décroissance des oscillations ?

-  Du fait de la présence d’une résistance dans le circuit,

le système dissipe de l’énergie par effet Joule au cours des oscillations.

3)- Établir l’équation différentielle à laquelle satisfait uC.

circuit LC

-  équation différentielle

4)- Mesurer la pseudo-période T’ des oscillations.

-  T’ 1,0 ms.

5)- On considère que la résistance r de la bobine est nulle.

a)- Écrire la nouvelle équation différentielle satisfaite par u C.

-  Équation différentielle satisfaite par u C

équation différentielle

b)- La solution de l’équation s’écrit : uC (t) = U cos( α . t + φ). Déterminer les expressions des constantes  U,  α  et φ.

-  Cette solution vérifie l’équation différentielle (2) :

-  équation différentielle

-  En identifiant :

constantes

-  Or :

période propre

-  Au temps t = 0, le condensateur est chargé et

la tension aux bornes du condensateur vaut 6,0 V.

D’autre part, l’intensité (0) = 0.

-  relations

-  D’autre part : 

-  uC (t) = U cos( α t + φ)

-  uC (0) = U cos( α x 0 + φ) = 6,0 V > 0

-  φ = 0  et U = E = 6,0 V

-  expression de uC

c)- en déduire l’expression de la charge q (t) du condensateur et de l’intensité i (t) à l’instant t.

-  Expression de la charge q :

-  expression de q

-  Expression de l’intensité i :

-  expression de i

d)- Quelle est l’expression littérale de la période des oscillations qui prennent naissance dans le circuit ?

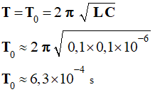
-  Période des oscillations du circuit L C.

-  Période des oscillations du circuit L C

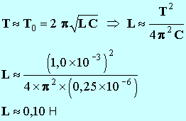
6)- Calculer  la valeur de l’inductance L de la bobine en admettant que la pseudo-période est identique à la période.

-  Inductance de la bobine :

-  L = 0,10 H

haut

 

 exercice 5 page 217 : étude et modélisation d’un circuit.

On réalise le circuit schématisé ci-dessous.

Le condensateur de capacité C = 15 μF est préalablement chargé à l’aide d’un générateur idéal de tension continue

(interrupteur en position 1).

Il se décharge ensuite à travers un circuit comportant une bobine d’inductance L = 1,0 H et de résistance r

(Interrupteur en position2).

circuit LC

I- Étude du circuit.

1)- Un dispositif d’acquisition relié à un ordinateur permet de suivre pendant la décharge,

d’une part l’évolution au cours du temps de la tension par uC aux bornes du condensateur,

et d’autre part celle de l’intensité i du courant.

oscillogramme

a)- Les oscillations sont-elles libres ou entretenues ? Sans calcul, justifier la réponse.

b)- Déterminer à partir des courbes la valeur de la pseudo-période T des oscillations.

c)- Établir la relation entre l’intensité i du courant et la tension par uC aux bornes du condensateur

en respectant les conventions indiquées sur le schéma.

d)- Entre les instants tA et tB, le condensateur se charge-t-il ? Où se décharge-t-il ? Justifier la réponse.

e)- À partir de la courbe traduisant uC (t), et en utilisant la relation de la question 1)- c)-,

retrouver la valeur de i à l’instant tA et le sens réel de circulation du courant entre tA et tB.

2)- On souhaite étudier l’énergie totale E de l’oscillateur électrique.

Cette énergie est la somme de l’énergie Econd stockée dans le condensateur et de l’énergie E bob emmagasinée dans la bobine.

Le logiciel utilisé peut calculer, à partir des mesures, les valeurs de ces trois énergies

et fournir les courbes donnant leurs variations au cours du temps.

oscillogramme

a)- Rappeler l’expression de : l’énergie Econd ; de l’énergie Ebob.

b)- L’origine des dates étant la même pour toutes les mesures,

identifier les trois courbes ci-dessus en ne  ustifiant que l’identification de la courbe donnant les variations de Ebob au cours du temps.

c)- Interpréter brièvement la décroissance de l’énergie totale de l’oscillateur électrique.

II- Modélisation.

On suppose maintenant que l’oscillateur ne comporte aucune résistance.

Dans ces conditions, la tension uC aux bornes du condensateur est de la forme : expression de uC .

1)- Établir l’équation différentielle vérifiée par uC (t) et préciser les conditions aux limites.

2)- Calculer la période T0 et la comparer à la pseudo-période T déterminée au I- 1)- b)-.

3)- Que peut-on dire des oscillations ? Comment qualifie-t-on le régime d’oscillations ?

4)-  

a)- établir, en fonction des grandeurs C, Um, T0  et t  les expressions de :

b)- Montrer que, dans ce cas, l’énergie totale de l’oscillateur est conservée.

 

On réalise le circuit schématisé ci-dessous.

Le condensateur de capacité C = 15 μF est préalablement chargé à l’aide d’un générateur idéal de tension continue

(interrupteur en position 1).

Il se décharge ensuite à travers un circuit comportant une bobine d’inductance L = 1,0 H et de résistance r

(Interrupteur en position2).

circuit LC

I- Étude du circuit.

1)- Un dispositif d’acquisition relié à un ordinateur permet de suivre pendant la décharge,

d’une part l’évolution au cours du temps de la tension par uC aux bornes du condensateur,

et d’autre part celle de l’intensité i du courant.

oscillogramme

a)- Les oscillations sont-elles libres ou entretenues ? Sans calcul, justifier la réponse.

-  On est en présence d’oscillations libres amorties. 

-  Le circuit ne comporte pas de générateur permettant de compenser les pertes d’énergie dans le circuit par effet Joule. 

-  Le système possède deux réservoirs d’énergie le condensateur et la bobine.

b)- Déterminer à partir des courbes la valeur de la pseudo-période T des oscillations.

-  Pseudo-période :

-  Graphiquement, T 24 ms

c)- Établir la relation entre l’intensité i du courant et la tension par uC aux bornes du condensateur

en respectant les conventions indiquées sur le schéma.

-  Relations : expression de uC

d)- Entre les instants tA et tB, le condensateur se charge-t-il ? Où se décharge-t-il ? Justifier la réponse.

-  À l’instant tA , le condensateur est chargé et l’intensité dans le circuit est nulle. 

-  Puis le condensateur se décharge, la tension uC est positive et elle diminue pour s’annuler à l’instant t B

-  Le condensateur se décharge.

e)- À partir de la courbe traduisant uC (t), et en utilisant la relation de la question 1)- c)-,

retrouver la valeur de i à l’instant tA et le sens réel de circulation du courant entre tA et tB.

-  À l’instant tA , la tension est maximale.

Comme :  intensité , l’intensité du courant qui traverse le circuit est nulle. 

-  Entre tA et tB, l’intensité est négative.

Le courant circule dans le sens inverse du sens positif choisi.

2)- On souhaite étudier l’énergie totale E de l’oscillateur électrique.

Cette énergie est la somme de l’énergie Econd stockée dans le condensateur et de l’énergie Ebob emmagasinée dans la bobine.

Le logiciel utilisé peut calculer, à partir des mesures,

les valeurs de ces trois énergies et fournir les courbes donnant leurs variations au cours du temps.

oscillogramme

a)- Rappeler l’expression de : l’énergie Econd ; de l’énergie Ebob.

-  énergie

b)- L’origine des dates étant la même pour toutes les mesures,

identifier les trois courbes ci-dessus en ne  justifiant que l’identification de la courbe donnant les variations de Ebob au cours du temps.

-  La courbe 1 représente les variations de l ‘énergie stockée dans le condensateur Econd .

Au départ, le condensateur est chargé et l’intensité dans le circuit est nulle.

-  La courbe 2 représente les variations de l’énergie emmagasinée dans la bobine Ebob au cours du temps.

-  Il y a échange mutuelle d’énergie entre la bobine et le condensateur.

-  Lorsque l’énergie stockée dans le condensateur est maximale, l’énergie emmagasinée dans la bobine est nulle et inversement.

-  La courbe 3 représente les variations de l’énergie totale E.

c)- Interpréter brièvement la décroissance de l’énergie totale de l’oscillateur électrique.

-  Le circuit comportant une résistance, au cours des oscillations, l’énergie initiale est dissipée par effet Joule. 

-  Il en résulte que l’énergie du système diminue au cours du temps.

II- Modélisation.

On suppose maintenant que l’oscillateur ne comporte aucune résistance.

Dans ces conditions, la tension uC aux bornes du condensateur est de la forme : uC .

1)- Établir l’équation différentielle vérifiée par uC (t) et préciser les conditions aux limites.

-  Équation différentielle : équation différentielle

-  Au temps t = 0, le condensateur est chargé et la tension aux bornes du condensateur vaut E.

-  D’autre part, l’intensité (0) = 0.

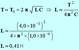
2)- Calculer la période T0 et la comparer à la pseudo-période T déterminée au I- 1)- b)-.

-  Période propre des oscillations :  

-  T0 = 24 ms

3)- Que peut-on dire des oscillations ? Comment qualifie-t-on le régime d’oscillations ?

-  On est en présence d’oscillations libres non amorties.

Il faut adjoindre au circuit un dipôle D qui compensent les pertes par effet Joule.

-  Ce dispositif apporte l’énergie nécessaire à l’entretient des oscillations et au rythme propre du circuit.

4)-  

a)- établir, en fonction des grandeurs C, Um, T0  et t  les expressions de :

-  L’intensité du courant i(t) traversant le circuit électrique ;

-  Sachant que :

-  intensité

-  L’énergie Econd stockée dans le condensateur ;

-  Econd

-  L‘énergie E bob emmagasinée dans la bobine.

-  E bob

b)-     Montrer que, dans ce cas, l’énergie totale de l’oscillateur est conservée.

-  Énergie totale :

-  énergie totale

-  énergie totale

haut