| Phys. N° 08 | Oscillations libres dans un circuit (R, L, C). Cours. | 
 | 
|  | 
| Programme 2012 : Programme 2020 : | 
Pour aller plus loin :
| Mots clés : Oscillations libres ; oscillations libres amorties ; régime périodique ; régime pseudo-périodique ; pseudo-période ; période propre ; ... | 
| Représentation symbolique :  
	     | 
	   | 
| Représentation symbolique :  
	   |  
	   
	   | 
| Représentation symbolique :  
	   | uAB = R . i | 
  II-
  Décharge d’un condensateur dans une bobine. 
  
  
|  
	   | Bobines : Bobine 1 : L1 = 5 mH et r1 = 4 Ω Bobine 2 : 
		 
		
		L2 
        = 20 mH et  
		r2 = 20 Ω Boîte de condensateurs : On commence par une capacité de 1μF. Potentiomètre de 1 kΩ
        que l’on utilise en rhéostat. Valeur de la tension 
		 
		
		E
        = 3 V. | 
- Première étape : on charge le condensateur en plaçant le commutateur sur la position 1.
- Deuxième étape : on bascule le commutateur en position 2. On réalise ainsi un circuit (R, L, C) avec R = r + R’.
-  Quelles sont les tensions visualisées à la voie 
   
  YA
  et à la voie 
  YB ?
- On visualise les variations de la tension uAM en fonction du temps (tension aux bornes du condensateur) à la voie YA de l’oscilloscope.
- On visualise les variations de la tension uBM en fonction du temps (tension aux bornes du conducteur ohmique de résistance R’) à la voie YB de l’oscilloscope.
- 
  Quelle est la valeur prise par la tension 
   
  uAM
  lorsque le commutateur est en position 
  1 ?

- Lorsque le condensateur est chargé, uAM = E = 3,0 V.
- Qu’observe-t-on lorsque l’on bascule le commutateur sur la position 2 ?
		
- Lorsque le commutateur est en position 2, on constate que les tensions tension uAM et uBM prennent des valeurs alternativement positives et négatives.
- On remarque aussi que leurs amplitudes diminuent au cours du temps.
- La tension uAM traduit les variations de la charge : qA = C . uAM
- La tension uBM traduit les variations de l’intensité dans le circuit :
| i = – | uBM | 
|  | |
| R' | 
- Pour visualiser les variations de i dans le circuit, on appuie sur la touche – B.
- Avec la carte candi-PCI, pour visualiser i, on tape l’expression :
| i = – | u2 | 
|  | |
| R' | 
|  
		 | L = 5 mH R = 1 Ω C = 1μF. Réglages de l’oscilloscope : Sensibilité verticale : k = 1 V / div Durée de balayage : b = 0,5 ms / div | 
|  
		 | Réglages de l’oscilloscope : Sensibilité verticale : k = 1 V / div Durée de balayage : 
		  b 
          
          = 0,1 ms / div | 
- Le courant change alternativement de sens lors de la charge et de la décharge du condensateur.
- L’amplitude des oscillations diminue au cours du temps car le circuit (R, L, C) perd progressivement,
- l’énergie initialement emmagasinée dans le condensateur, par effet Joule dans les résistances.
- En conséquence, un circuit électrique (R, L, C), réalisé avec un condensateur chargé, est le siège d’oscillations électriques libres amorties.
  
  III-
  Influence de la résistance R du circuit sur les oscillations libres. 
  
  
a)- Avec la carte d’acquisition Candi-PCI :
|  
		 | L = 5 mH r = 4 Ω   C = 1μF.   R’ = 1 kΩ | 
- Première étape : on charge le condensateur en plaçant le commutateur sur la position 1.
- Deuxième étape : on bascule le commutateur en position 2.
- On réalise ainsi un circuit (R, L, C) avec R = r + R’.
- On renouvelle l’acquisition et entre chaque acquisition, on augmente la valeur de la résistance R’.
b)- Avec l’oscilloscope :
|  
		 | L = 5 mH r = 4 Ω   C = 1μF.   R’ = 1 kΩ | 
- On observe des oscillations dont l’amplitude décroît au cours du temps.
- Pour de faibles valeurs de la résistance R’, on observe des oscillations dont l’amplitude décroît progressivement :
- Le régime est pseudo-périodique.
|  
		 | Réglages
        de l’oscilloscope : Sensibilité verticale : 
		
		k 
        = 1 V / div Durée de balayage : 
		b 
        
        = 0,5 ms / div R’ = 1 Ω | 
|  
		 | Réglages
        de l’oscilloscope : Sensibilité verticale : 
		
		k 
        = 1 V / div Durée de balayage : 
		b 
        
        = 0,5 ms / div 
		R’ 
        
        = 5 Ω | 
- Le phénomène possède une pseudo-période :
- La pseudo-période T est la durée entre deux passages consécutifs par la valeur nulle de la tension, celle-ci variant dans le même sens.
- On peut déterminer la valeur de la pseudo-période :
|  
	   | Réglages
        de l’oscilloscope : Sensibilité verticale : 
		
		k 
        = 1 V / div Durée de balayage : b = 0,10 ms / div R’ = 1 Ω T = b . x T = 0,10 x 4,4 T ≈ 0,44 ms | 
- Selon la valeur de la résistance du circuit (R, L, C), on distingue les régimes : pseudo-périodique, critique, apériodique.
- Il existe une valeur particulière RC de la résistance R qui délimite les deux régimes. On l’appelle la résistance critique.
-  Si R
  <  RC
  
  
  , on observe des oscillations libres
  amorties, c’est le régime pseudo-périodique.
-  Si R
  =  RC
  
  
  , la tension tend rapidement vers zéro,
  c’est le régime critique.
-  Si R
  >  RC, la tension tend vers zéro sans
  oscillations, c’est le régime apériodique.
|  
	   | R < RC , On observe des oscillations libres amorties, C’est le régime pseudo-périodique. | 
|  | R 
        
        =  
	  RC 
  
        , la tension tend rapidement vers zéro, c’est le régime critique. | 
|  | R 
        
        >  
		RC, La tension tend vers zéro sans oscillations, C’est le régime apériodique. | 
- Lorsque l’amortissement est faible, la pseudo-période T est pratiquement égale à la période propre T0 du circuit (L, C) sans résistance :
- T ≈ T0.
  IV-
  Influence de L et de C. (TP Physique N° 08) 
  
  
 
		
- On utilise dans un premier temps la bobine L1 = 5 mH, puis L2
= 20 mH.- La valeur de la capacité de change pas, C = 1 μF.
- On obtient les oscillogrammes suivants :
|  
	   |  
	  
	  L1  
        = 5 mH 
		C 
        
        = 1 μF. Durée de balayage : b = 0,2 ms / div T1 = b . x T1 = 0,20 x 2,2 T1 ≈ 0,44 ms | 
|  
	   | 
		
		L2  
		= 20 mH 
		C 
        
        = 1 μF. Durée de balayage : 
		b 
        
        = 0,2 ms / div T2 = b . x T2 = 0,20 x 4,4 T2 ≈ 0,88 ms | 
- La valeur de la période est multipliée par deux lorsque celle de l’inductance est multipliée par quatre.
- Dans un premier temps, on utilise un condensateur de capacité C1 = 1 μF, puis C2 = 4 μF.
- La valeur de l’inductance ne change pas L = 5 mH.
|  
	   | 
	  
	  L   =
        5 mH 
		C1
        = 1 μF.  Durée de balayage : b = 0,20 ms / div T1 = b . x T1 = 0,20 x 2,2 T1 ≈ 0,44 ms | 
|  
       | 
	  
	  L   =
        5 mH C2
        = 4 μF. Durée de balayage : b = 0,20 ms / div T2 = b . x T2 = 0,20 x 4,4 T2 ≈ 0,88 ms | 
- La valeur de la période est multipliée par deux lorsque celle de la capacité est multipliée par quatre.
- La période propre d’un circuit (L, C) dépend de l’inductance de la bobine et de la capacité du condensateur
- La période propre T0 d’un dipôle (L, C) est la période des oscillations libres non amorties.
-  Elle est donnée par la relation : 
 
 
 
 
   
- Unités : T0 en seconde (s) , L en henry (H) et C en farad (F).
- Dans un circuit peu amorti, la période propre est voisine de la pseudo période : T ≈ T0
-  Analyse dimensionnelle.
-     
    
 
 
   
  V-
  Étude analytique d’un circuit oscillant. 
  
  
1)- Équation différentielle d’un circuit (R, L, C).
- Montage :
|  
         |  
         | 
| Premier temps : on charge le condensateur en basculant le commutateur sur la position1. | Deuxième temps : au temps t = 0, on bascule le commutateur sur la position 2. | 
- On utilise l’additivité des tensions :
-   
 
   
- On pose : R = R’ + r et on ordonne :
-   
 
   
- Durant les oscillations libres amorties, la charge q du condensateur obéit à l’équation différentielle :
-  
    
  
 
 
   
2)- Équation différentielle d’un circuit (L, C).
- Un circuit (L, C) est un circuit idéal de résistance nulle : R = 0.
- En conséquence, la charge q du condensateur obéit à l’équation différentielle suivante :
-  
    
 
 
   
3)- Solutions de l’équation dans le cas d’un circuit (L, C).
-  L’équation différentielle 
 
 
 est une équation 
  linéaire en  
  q,  
  du second ordre, sans deuxième membre.
  est une équation 
  linéaire en  
  q,  
  du second ordre, sans deuxième membre.
- Elle admet une solution générale de la forme :
-    
 
 
   
4)- Détermination des constantes.
- On détermine les constantes à partir des paramètres du circuit et des conditions initiales.
- Expression de :
-   
 
   
- On remarque que :
-   
 
   
- En remplaçant dans l’équation différentielle :
-   
 
   
-  Cette équation est vérifiée ceci quel que soit 
t. 
  Or   
 varie au cours du 
  temps.
  varie au cours du 
  temps.
-  Il faut que  
 
 
 
   
- T0 représente la période propre des oscillations.
- Elle s’exprime en seconde s.
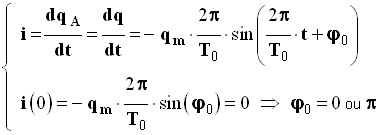
- Conditions initiales :
- à l’instant t = 0, l’intensité du courant dans le circuit est nulle
- Or
-  
   
 
  
- La grandeur φ0 représente la phase à l’origine des dates.
- Elle s’exprime en radian rad.
- À l’instant initial, dans le cas qui nous intéresse, le condensateur est chargé,
- il porte la charge q 0 > 0, c’est la charge portée par l’armature A du condensateur au temps t = 0 s.
- Au temps t = 0 s, soit :
| { | φ0 = 0 φ0 = π | => | { | q (0) = q0 = qm q (0) = q0 = – qm | 
- Or, à l’instant initial, le condensateur porte la charge q 0 > 0, comme la grandeur q m est strictement positive, la solution est :
- φ0 = 0 et q (0) = q0 = q m
-  On peut écrire :   
   
   
 
 
- q0 = qm représente l’amplitude de la charge. La charge du condensateur varie entre – q0 et + q0.
- Elle s’exprime en coulomb C.
- Remarque : on peut donner l’expression de la tension aux bornes du condensateur :
-   
 
 
  VI-
  
  énergie d’un circuit
  oscillant. 
  
  
1)- Transfert d’énergie en régime pseudo-périodique.
a)- Montage : Ordinateur et logiciel CONDO
|  
	 | Matériel : Boite de condensateur : prendre C = 1 mF Bobines prendre L = 20 mH et r = 20 Ω ou L = 5 mH et r = 4 Ω Alimentation réglable 0 – 12 V | 
- On observe les variations de la tension uAM aux bornes du condensateur au cours du temps.
- Grâce au logiciel, on peut visualiser les variations de l’énergie emmagasinée dans le condensateur et celle emmagasinée dans la bobine.
-  Avec :  
 
 
 
   
-  D’autre part :  
 
 
 
 
   
-     
    
 
 
   
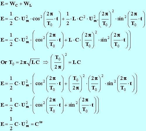
- l’énergie du circuit (L, C) idéal :
-   
 
   
b)- Simulation à la calculatrice.
-   
 
   
- Oscillogrammes :
 
	
Sans amortissement
 
	
Avec amortissement
- Un circuit (L, C) possède deux réservoirs d’énergie entre lesquels des échanges d’énergie provoquent des oscillations électriques.
- Des échanges d’énergie se produisent entre le condensateur et la bobine.
- Les variations de WC et WL sont périodiques, de période égale à la moitié de la période propre T0 de l’oscillateur libre.
- L’énergie du condensateur et l’énergie de la bobine varient en sens inverses.
- Si l’amortissement est négligeable, l'énergie totale du système se conserve.
- Mais comme tout circuit électrique comporte une résistance R, l’énergie se dissipe par effet Joule.
- Dans un circuit oscillant amorti, il y a échange d’énergie entre le condensateur et la bobine, mais l ‘énergie totale du circuit diminue progressivement par effet Joule.
3)- Entretien des oscillations.
- Pour obtenir des oscillations non amorties dans un circuit (R, L, C), il faut lui fournir de l’énergie pour compenser les pertes par effet Joule dans les résistances.
- On introduit dans le circuit (R, L, C), un dipôle D dont le rôle est de fournir au circuit l’énergie perdue par effet Joule.
- Ce dipôle est appelé : ‘’montage à résistance négative’’.
- Montage expérimental : utilisation de la carte Candi-PCI avec labo.
|  
	   | 
| Montage équivalent :  
		 | 
- Manipulation :
- Pour des valeurs faibles de R0, on n’observe aucune oscillation.
- En augmentant la valeur de R0, on parvient à une valeur particulière telle que les oscillations prennent naissance dans le circuit.
- Leur amplitude croît puis se stabilise.
- Les oscillations paraissent sinusoïdales de période T0 égale à la période propre du circuit (L, C).
- Si on augmente encore la valeur de R0, les oscillations se déforment et ne paraissent plus sinusoïdales.
- Avec ce dispositif, le circuit puise périodiquement, à sa propre fréquence l’énergie dans le dipôle D.