Correction : une équation au service des sciences physiques: Bac Blanc TS

Bac Blanc : Exercice 1

Une équation au service

des sciences physiques

Correction

Énoncé

 
logo

Exercice 1 : Une équation au service des Sciences Physiques (6 points)


L'équation différentielle équa diff (1), (α et β étant des grandeurs constantes),

permet de décrire un grand nombre de phénomènes physiques variables au cours du temps:

intensité, tension, vitesse.

On rappelle que mathématiquement cette équation admet en particulier 2 solutions :

solution si β ≠ 0 (2) et solution si β = 0 avec X0 grandeur constante

 

PARTIE A: DANS LE DOMAINE DES SYSTÈMES ÉLECTRIQUES

 

Cette première partie tend à montrer la validité du modèle pour un circuit électrique mettant en jeu

une bobine d'inductance L et de résistance r = 11,8 Ω ,(donc non négligeable), et

un conducteur ohmique de résistance R = 12 Ω,

alimenté par un générateur délivrant une tension continue E = 6,1 V.

On réalise expérimentalement le circuit électrique ci-dessous.

L'évolution des grandeurs variables, tension u (t) et intensité i (t), est obtenue par voie informatique.

circuit LC

 

I- Étude expérimentale

La courbe expérimentale donnant l'évolution de l'intensité i (t), obtenue par traitement informatique est donnée en ANNEXE, graphique 1.

1)- Quelle tension visualise-t-on à la voie EA0 ?

-  À la voie EAO, on visualise la tension uAC, tension aux bornes de l’association

série de la bobine et du conducteur ohmique de résistancee R.

2)- Quelle tension visualise-t-on à la voie2)- Quelle tension visualise-t-on à la voie EAl ?

Pourquoi peut-on en déduire les variations de l'intensité i (t).

-  À la voie EA1, on visualise la tension u BC, tension aux bornes du conducteur

ohmique de résistance R.

En respectant l’orientation du circuit, on peut écrire  BC R i

-  On peut en déduire les variations de i ceci à une constante R près.

3)- Évaluer graphiquement la durée du régime transitoire. Aucune justification n'est demandée..

-  Durée du régime transitoire : environ : Δt ≈ 0,20 s

 graphe

Cliquer sur l'image pour l'agrandir

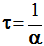
4)- La grandeur τ étant la constante de temps associée au dipôle {bobine--conducteur ohmique} : conducteur ohmique} :

-  Déterminer la valeur de τ  à l’aide du graphique avec la méthode de votre choix.

-  Valeur de la constante de temps τ du circuit :

-  Méthode 1 : on trace la tangente à l’origine et l’asymptote horizontale.

-  La valeur de τ correspond à l’abscisse de leur point d’intersection :

τ  ≈ 0,045 s  

-  Méthode 2 : on prend l’abscisse de la courbe i = f (t) pour

-  0,16 A   

-  τ  ≈ 0,045 s (voir le graphique)

 graphique

Cliquer sur l'image pour l'agrandir

5)- Donner l'expression littérale de τ en fonction des paramètres du circuit.

-  Expression littérale de τ :

-  relation   

6)- En déduire l'expression de l'inductance de la bobine et calculer sa valeur.

-  Inductance de la bobine :

-  1,1 H   

II- Modèle théorique

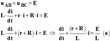
1)- En utilisant la loi d'additivité des tensions et en respectant l'orientation du circuit,

établir l'équation différentielle vérifiée par l'intensitéétablir l'équation différentielle vérifiée par l'intensité i (t).

-  En respectant l’orientation du circuit et en utilisant la loi d’additivité des tensions :

-  équa diff  

2)- Par identification avec l'équation (1) vérifier que relation et donner l'expression de β.

-  Équation (1) : relation et relation

-  On tire : relation et relation

3)- En déduire l'équation horaire littérale i (t) en fonction de {r, R, L et E}.

Montrer que cette solution valide bien l'équation établie en 2.1.

-  Par analogie avec la solution donnée pour l’équation (1) lorsque β 0,

-  solution   

-  La solution est du type :

-  solution i (t)   

-  On peut vérifier que cette relation est bien solution de l’équation différentielle :

-  di / dt   

-  En remplaçant dans l’équation (a) :

-    équation   

 

4)- Montrer que cette équation horaire peut s'écrire :équation horaire.

-  Sachant que relation  et relation, on tire : relation

-  D’où la relation : relation i (t)

III- Confrontation des résultats expérimentaux avec le modèle théorique.

On rappelle que lim  et  e 0 = 1.

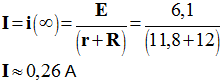
1)- On appellera I l'intensité en régime permanent (l'intensité étant constante).

Donner l'expression littérale de I. Calculer sa valeur.

Est-elle en accord avec la valeur expérimentale obtenue ?

-  Expression littérale de I :

-  Lorsque le régime permanent est atteint :

-  relation i (t) permanent  

-  Valeur de I :

-  I = 0,26 A   

-  Valeur expérimentale : I 0,25 A

-  Ce résultat est en accord avec la valeur expérimentale.

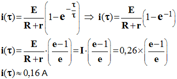
2)- Donner l'expression littérale de i (t) à la date t = τ en fonction de I.

Calculer sa valeur. Est-elle en accord avec l'expérience ?

-  0,16 A   

-  Cette valeur est en accord avec l’expérience.

-  Avec la courbe, on trouve i (τ) 0,16 A

 

PARTIE B : DANS LE DOMAINE MÉCANIQUE.

L'étude de la chute d'une bille d'acier, de masse m, dans un fluide de masse volumique ρ  fluide a été exploitée grâce à un logiciel.

Les capacités du logiciel permettent ensuite de faire tracer l'évolution de la vitesse du centre d'inertie en fonction du temps, v (t).

La courbe expérimentale et modélisée est proposée en ANNEXE, graphique 2.

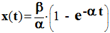
I- Exploitation de l'équation v (t) modélisée.

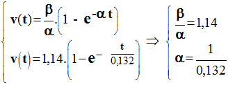
L'équation mathématique associée à la courbe modélisée, vérifie  modèle math(3), avec v (t) en m.s –1 et t en s.

Cette équation est identifiable à l'équation (2).

1)- Déterminer la valeur de α et du rapport rapport . Donner, sans justification, l'unité du rapport rapport .

-  Valeur du rapport rapport :

On identifie avec la relation suivante :

x (t)

-  constantes   

-  Unité du rapport rapport : m / s car le terme en parenthèse n’a pas d’unité.

2)- Montrer que l'équation différentielle ayant l'équation (3) pour solution vérifie l'écriture numérique équa diff

-  Vérification : 

Par analogie avec les relations suivantes :

-  équa diif  et solution

-  On en déduit les valeurs de : constantes

 

3)- Déterminer la valeur de la vitesse limite à l’aide de cette équation numérique. Justifier.

Le résultat est-il en accord avec la valeur expérimentale ?

-  Valeur de la vitesse limite à l’aide de cette équation numérique :

-  Lorsque la vitesse limite est atteinte,

-  v lim = 1,14 m / s 

-  Valeur expérimentale : à l’aide de la courbe, on trouve :

graphe

Cliquer sur l'image pour l'agrandir

Distance

Vitesse

8,0 cm

1,00 m / s

9,1 cm

vlim 1,14 m / s

-  La valeur est en accord avec la valeur expérimentale.

II- Étude du phénomène physique.

1)- Faire l'inventaire des forces appliquées à la bille.

Les représenter sur un schéma, en sens et direction appliquée au centre d'inertie G de la bille.

-  Système : la balle

-  Réf

-  Bilan des forces :

le poids P, la poussée d’Archimède Pi, la force de frottement f.

-  Référentiel : Terrestre supposé galiléen.

P

schéma du bilan des forces

Pi

 

f

2)- Appliquer au système bille la deuxième loi de Newton.

-  Dans un référentiel galiléen, la somme des vecteurs forces extérieures appliquées au système est égale

-  au produit de la masse du système par le

-  vecteur accélération de son centre d’inertie :

deuxième loi de Newton   

III- Exploitation de la modélisation

La bille ayant servi à réaliser l'étude est une bille d'acier de masse m = 32 g et de volume V.

L'accélération de la pesanteur est g = 9,81 m.s-2.

Les forces de frottement qui s'appliquent à la bille ont pour expression f .

1)- En utilisant un axe vertical (Ox) orienté vers le bas, montrer que l'équation différentielle relative à la grandeur variable v (t) vérifie :

 équa diff

-  Équation différentielle du mouvement :

-  On projette la relation (1) sur l’axe x’Ox , on obtient l’équation suivante :

-  résolution 

-  En posant : vx = v, il vient : équa diff

2)- En déduire l'expression littérale des coefficients α et β de l'équation (1).

-  À l’aide de l’équation (1), on peut identifier les coefficients α et β :

équa diff

-  constantes   

3)- Quelle serait la valeur du coefficient β si la poussée d'Archimède était nulle ?

En utilisant l'équation établie en 1.2., justifier que cette force doit être prise en compte.

-  Valeur du coefficient β si la poussée d'Archimède était nulle :

β = g = 9,81 m.s-2.

-  solution =>   β = 8,64 => β g

Graphique 1 :

graphe 01 

Graphique 2 :

graphe 02