|
Elec
N° 02 :
l'oscilloscope.
|
|
Mesure d'une
tension à l'oscilloscope
1)- Exercice 10 : Mesure
d'une tension à l'oscilloscope
![]()
|
Le schéma ci-dessous représente l’écran d’un
oscilloscope lors de la mesure d’une tension continue.
1)- L’oscilloscope est-il réglé sur la
position balayage ? 2)- L’entrée
E1 de
l’oscilloscope est reliée au point
C d’un circuit. Sa masse
M est reliée au point
D du même circuit.
Quel est le signe de la tension
UCD ? (Sans tension appliquée, la trace est au
milieu de l’écran.) 3)- Le bouton de réglage de la sensibilité
verticale est sur l’indication 500 mV / div. Quelle est la valeur de la
tension UCD
mesurée ? |
|
Écran d’un
oscilloscope
1)- Le balayage : - L’oscilloscope est en position balayage
car on observe une ligne lumineuse. - Balayage : - Ce dispositif permet au spot lumineux de
se déplacer horizontalement avec une vitesse constante réglable. - Le spot se déplace de gauche à droite puis
revient à gauche instantanément et repart. - Pour faire varier la vitesse, on utilise
le bouton : - base de temps ou durée de balayage. - À partir d'une certaine vitesse, on
observe une ligne lumineuse horizontale. - La persistance des impressions lumineuses
sur la rétine ne permet plus de distinguer le déplacement du spot
lumineux. - Lorsque le balayage est enclenché, la courbe obtenue donne les variations de la
tension appliquée aux plaques
Y,
Y' en fonction du temps. 2)- Signe de la tension
UCD : - L’entrée
E1 de
l’oscilloscope est reliée au point
C d’un circuit. - Sa masse
M est reliée au point
D du même circuit.
- L’oscilloscope mesure bien la tension
UCD. - La valeur de la tension est négative car
la ligne lumineuse s’est déplacée du milieu de l’écran vers le bas.
3)- Valeur de la tension
UCD mesurée :
- UCD
= b .
y - UCD
≈ 500
× (– 2,2) - UCD
≈ – 1,1 V |
2)-
Exercice 11 page 32![]()
|
Pour mesurer la tension
UCD entre les
bornes d’un dipôle, on branche la borne
C à l’entrée
E1 d’un
oscilloscope et la borne D
à la masse. Selon la valeur algébrique de
UCD et le
réglage de la sensibilité de l’oscilloscope,
on obtient une déviation
y du spot vers le haut (y
est positive) ou vers le bas ((y
est négative) Compléter le tableau suivant en choisissant
la sensibilité la mieux adaptée. (Le spot est initialement ajusté au centre
de l’écran)
|
|
Sensibilité Verticale |
0,5 V / div |
2 V / div |
100 mV / div |
500 mV / div |
|
|
y (nombre de divisions) |
–3 |
|
3,6 |
–4,4 |
0,9 |
|
UCD (V) |
–1,5 V |
5,6 V |
|
|
1,8 V |
|
Sensibilité Verticale |
0,5 V / div |
2 V / div |
100 mV / div |
500 mV / div |
2 V / div |
|
y (nombre de divisions) |
–3 |
|
3,6 |
–4,4 |
0,9 |
|
UCD (V) |
–1,5 V |
5,6 V |
|
|
1,8 V |
|
Première colonne : - UCD
= b .
y - UCD
≈ 0,5
× (– 3)
(V) - UCD
≈ – 1,5 V |
Deuxième colonne : - |
Troisième colonne : - UCD =
b . y - UCD ≈ 100
×
(3,6) (mV) - UCD ≈ 360
mV - UCD ≈ 0,36
V |
|
Quatrième colonne : - UCD
= b .
y - UCD
≈ 500
× (– 4,4)
(mV) - UCD
≈ 2,2 V |
Cinquième colonne : - |
3)-
Exercice 17 page 33 Nous observons à l’oscilloscope la tension
délivrée par un générateur de tension alternative.
1)- À combien de divisions correspond une période ? 2)- Sachant que la durée de balayage est de 5 ms / div,
calculer cette période et en déduire la fréquence. 3)- À combien de divisions correspond l’amplitude de la tension ? 4)- Sachant que la sensibilité verticale est de 0,5 V / div,
calculer la valeur de l’amplitude de la tension.
Oscillogramme : 1)- Nombre de divisions pour une période : - Schéma : - La période de la tension correspond à
environ 2 div sur l’oscillogramme. 2)- Période du signal observé : - T
= b .
x - T
≈ 5
× (2) - T
≈ 10 ms. - Fréquence de la tension observée : - 3)- Nombre de divisions correspond
l’amplitude de la tension : - L’amplitude de la tension
correspond à environ 2 div sur l’oscillogramme. 4)- Valeur de l’amplitude de la tension. - Um
= b . y - Um
≈ 0,5
×
(2) - Um
≈ 1 V
4)- Exercice
22 page 34 : Visualisation et caractérisation de tensions variables. La tension aux bornes d’un alternateur est
visualisée sur l’écran d’un oscilloscope photographié
ci-dessous.
Le réglage est le suivant : Sensibilité verticale : 2 V / div ; Durée de balayage : 5 ms / div. En l’absence de tension, le spot décrit une
ligne horizontale médiane. 1)- La tension est-elle continue ?
variable ? sinusoïdale ? 2)- Déterminer la fréquence de cette
tension. 3)- Déterminer l’amplitude de cette tension. Peut-on en calculer la valeur efficace en
utilisant la relation suivante :
Tension aux bornes d’un alternateur
visualisée sur l’écran d’un oscilloscope
Le réglage est le suivant : Sensibilité verticale : 2 V / div ; Durée de balayage : 5 ms / div. 1)- Les caractéristiques de la tension : - La tension varie de façon périodique au
cours du temps. - Elle est tantôt positive, tantôt négative
: elle est alternative. - Cette tension n’est pas continue, elle est
variable, mais pas sinusoïdale. 2)- Fréquence de cette tension. - Grâce à l’oscillogramme, on peut
déterminer la valeur de la période T
de cette tension : - T
= b .
x - T
≈ 5
× (3) - T
≈ 15 ms. - T
≈ 1,5
×
10 –2 s - Fréquence de cette tension : - 3)- Amplitude de cette tension.
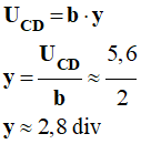
- Um
= b . y - Um
≈ 2
× (2,8) - Um
≈ 5,6 V -
La tension observée n’est pas sinusoïdale. - La relation
![]()






n’est pas applicable.