|
Elec
N° 02 :
l'oscilloscope.
|
|
|
|
|
II - Visualisation d'une tension variable.
|
-
C'est un appareil à
faisceau d'électrons. Il comprend :
-
Un canon à électrons
-
Une plaque
fluorescente
-
Des plaques de
déviation. Les plaques Y et Y' sont les plaques de déviation
verticale et les plaques X et X' sont les plaques de déviation
horizontale.
Le canon à électrons
L'oscilloscope au Lycée :



- Ce dispositif permet au spot lumineux de se déplacer horizontalement avec une vitesse constante réglable.
- Le spot se déplace de gauche à droite puis revient à gauche
instantanément et repart.
- Pour faire varier la vitesse, on utilise le bouton : base de temps ou durée de balayage.
- À partir d'une certaine vitesse, on observe une ligne lumineuse horizontale.
- La
persistance des impressions lumineuses sur la rétine ne permet plus de
distinguer le déplacement du spot lumineux.
-
Lorsque le balayage
est enclenché, la courbe obtenue donne les variations de la tension appliquée
aux plaques Y, Y' en fonction du temps.
3)-
Utilisation de l'oscilloscope comme
voltmètre.
-
L'oscilloscope
utilisé possède 2 voies : la voie YA (ou 1) et la voie YB
(ou 2).
Montage 1 :
- Reliez la borne P (+)
de la pile <=> à la borne
entrée E
(rouge)
de l'oscilloscope
- La borne N (-) de la
pile <=> à la borne sortie M (noire) de l'oscilloscope

-
En conséquence, on
applique à l'oscilloscope la tension :
-
UEM = UPN,
la ligne lumineuse se déplace vers le haut de y1

Montage 2 :
- Reliez la borne P(+)
de la pile <=> à la borne sortie M (noire) de l'oscilloscope
-
La borne N(-)
de la pile <=> à la borne
entrée E
(rouge)
de l'oscilloscope

- En conséquence, on
applique à l'oscilloscope la tension :
- UEM = UNP,
la ligne lumineuse se déplace vers le bas de y2 = - y1.

- Remarques
importantes :
- La déviation
verticale y est proportionnelle à la tension : UEM = k.y
- Si UEM
> 0, la déviation se produit vers le haut
-
Si UEM
< 0, la déviation se produit vers le bas.
-
k
est le coefficient
de sensibilité verticale, exprimé en V / div.
- L'oscilloscope possède différents calibres.
- On utilise le bouton gradué en Volts par division.
- Exemple 1 : k = 0,50
V / div et y1 = 3,0 div :
- UEM = k.y1
- UEM ≈
0,50
×
3,0
- UEM =
1,5 V
-
Exemple 2 : k = 0,50
V / div et y2 = − 3,0 div :
- UEM = k.y2
- UEM ≈
0,50
×
(− 3,0)
- UEM
=
−
1,5 V
- Il permet de visualiser les variations de la tension en fonction du temps.
- Avec la pile, on obtient une ligne lumineuse horizontale.
- On dit que la tension est continue.
II- Visualisation d'une
tension variable.
- On utilise un G.B.F et l'on fait varier la fréquence de la tension.
- On remarque que le spot se déplace verticalement.
-
Si on augmente la fréquence, on obtient un segment
vertical.
- On visualise les
variations de la tension au cours du temps.

- Réglages de
l’oscilloscope : k
= 2,0 V / div et b = 5,0 ms / div
-
A partir de
l'oscillogramme, on peut déterminer la période T de la tension et en
déduire la fréquence f.
- On peut aussi
déterminer la valeur UCC de la tension de crête à crête, en
déduire l'amplitude Um de la tension.
- Lorsque l'on est en
présence d'une tension sinusoïdale, on peut aussi en déduire la valeur efficace
U de la tension.
- Période de la
tension

- T = b.x
- T ≈
5,0
×
4,0
- T ≈
20 ms
- T =
2,0
×
10
– 2
s
- Fréquence de la
tension :
- 
- Tension de crête à
crête : k = 2,0 V / div et yCC
≈ 5,6 div

- UCC = k . yCC
-
UCC ≈
2,0
×
5,6
- UCC =
11,2 V
- Amplitude de la
tension :
-
- Valeur efficace de
la tension : (En courant sinusoïdal seulement)
- 
La
période T est la plus petite durée
au bout de laquelle la tension se reproduit identique à elle-même. L'unité de
période est la seconde symbole s.
-
La connaissance de la durée de balayage et du
déplacement horizontal permettent de déterminer la période d'une tension avec un
oscilloscope.
-
Exemple :
-
Durée de balayage : b = 2,00 ms / div
-
Déplacement horizontal : x = 4 div
-
Valeur de la période :
-
T = b . x
-
T ≈ 2,00 ×
4
-
T ≈ 8 ms
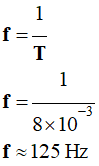
La fréquence
f est le nombre de période par
seconde. C'est l'inverse de la période.
-
-
L'unité de fréquence est l'hertz, symbole Hz.
-
Pour obtenir la fréquence en Hz, il faut exprimer
la période en seconde.
-
Exemple : T = 8 ms
-
3)- La tension crête à crête et
l'amplitude.
-
Une tension alternative périodique varie au cours
du temps entre une valeur maximale positive et une valeur minimale négative.
-
L'écart entre ces deux valeurs est appelée
tension de crête à crête notée Ucc
= k.yCC
-
Dans le cas d'une tension sinusoïdale, les
valeurs extrêmes sont égales en valeur absolue, dans ce cas, on peut définir
l'amplitude de la tension alternative sinusoïdale :
-

4)- Tension délivrée par l'E.D.F.
-
La tension du secteur délivrée par l'E.D.F est
sinusoïdale de fréquence f = 50 Hz
-
Le voltmètre en position alternatif permet de
mesurer la valeur efficace de la tension U = 220 V
-
L'oscilloscope permet de déterminer la valeur de
l'amplitude de la tension Um
-
Pour une tension sinusoïdale : ![]()
IV- Autres
tensions périodiques.
- Tension de forme sinusoïdale :
Réalisé avec le logiciel Crocodile Physics 1.7
-
Tension de forme triangulaire (forme, période et
fréquence, tension crête à crête).
-
Tension de forme carrée (forme, période et
fréquence, tension crête à crête).
V-
Application : exercices 10, 11, 17, 22 page 32-34
|
|
|
|