|
Phys. N° 05 |
La gravitation Universelle. Cours. |
|
|
Mots clés : Cours de physique seconde Gravitation, interaction gravitationnelle, principe d'inertie, Application du principe d'inertie, Loi d'attraction gravitationnelle, poids, poids et force gravitationnelle Satellite en orbite, corps célecte, fronde gravitationnelle, ... |
|
|
|
II-
L’interaction gravitationnelle. |
|
III-
Effet d’une force sur le mouvement d’un corps. |
|
Exercices : énoncé avec correction a)- Exercice 2 : Sous l’influence du Soleil. b)- Exercice 3 : Un satellite en orbite. c)- Exercice 4 : On a marché sur la Lune. d)- Exercice 5 : Détecter l’invisible. e)- Exercice 7 : éclipse de Soleil. f)- Exercice 8 : La tête en bas. g)- Exercice 9 : Fronde gravitationnelle. h)- Exercice 14 : La naissance des galaxies et des étoiles. i)- Exercice 19 : Retour sur l’ouverture du chapitre. |
1)- Exercice 8
page 109 :
Reconnaître une force.
2)- Exercice 9
page 109 : Étudier une force d’attraction.
3)- Exercice 14
page 110 : Différencier la masse et le poids.
4)- Exercice 16
page 110 : Connaître et appliquer le principe d’inertie.
5)- Exercice 17
page 110 : Appliquer le principe d’inertie.
6)- Exercice 20
page 111 : Le programme Galileo.
|
I- La gravitation Universelle.
-
Pour un observateur terrestre,
- La trajectoire de
-
Le mouvement de
- Le référentiel terrestre n’est pas adapté pour l’étude
du mouvement de
- On préfère utiliser le référentiel Géocentrique.
-
Dans le référentiel Géocentrique, la trajectoire de
- Soit 60 fois le rayon de
- La durée d’un tour que l’on appelle la période sidérale est de 27,3 jours.
-
Tournant autour de
-
La force exercée par
- La Terre agit sur la Lune, mais la Lune agit aussi sur la Terre (phénomène des marées)
- De même, le Soleil exerce une action attractive sur toutes les planètes du système solaire.
- Chaque planète du système solaire est attirée par le Soleil et par toutes les autres planètes.
- On dit qu’elles sont en interaction.
- En 1987, Isaac NEWTON a écrit un texte que l’on peut traduire :
|
« l’action qui retient la Lune dans son orbite est dirigée vers la Terre. Sa valeur est inversement proportionnelle au carré de la distance entre le centre de la Lune et le centre de la Terre….. » |
2)- La gravitation Universelle.
- La gravitation Universelle est une des interactions de l’Univers.
- Elle est attractive et s’exerce à distance.
II- L’interaction gravitationnelle.
1)- La Loi d’attraction gravitationnelle.
|
Énoncé :
séparés par une distance d, exercent l’un sur l’autre des forces attractives, de même valeur : |
-
|
|
G est appelé la constante de gravitation universelle :
G ≈ 6,67
×
10
–
11 m
3 .
kg– 1 . s– 2 G ≈ 6,67 × 10 – 11 m 2 . kg– 2 . N |
|
F : Valeur de la force F en Newton N. |
|
|
m et m’ : Valeur des masses en kg. |
|
|
d : Distance séparant les deux masses ponctuelles : en m |
|
|
|
|
- Les forces se représentent par des flèches, appelées vecteurs, de même longueur, de même direction, mais de sens opposés.
-
Caractéristiques du vecteur force
:
|
|
Point
d’application : A’ |
|
Direction : la droite (AA’) |
|
|
Sens
: de A’ vers A |
|
|
Valeur
de la force :
|
Caractéristiques
du vecteur force
:
|
|
Point
d’application : A |
|
Direction : la droite (AA’) |
|
|
Sens
: de A vers A’ |
|
|
Valeur
de la force :
|
- Ce résultat se généralise à des corps à répartition sphérique de masse.
- La masse est répartie de façon régulière autour du centre de corps.
-
C’est le cas de
|
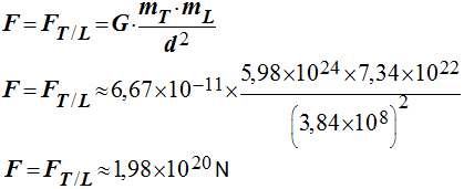
Dans le cas de l’interaction gravitationnelle entre
la valeur de la force exercée par
-
- mT : masse de
- mL : masse de
- d : distance entre le centre de - d = 3,84 × 10 5 km. - Calculer la valeur de F = FT / L.
- |
- Schéma :
- Cette force F retient la Lune sur son orbite autour de la Terre.
-
CCette force due à l’interaction gravitationnelle est une force
attractive représentée par le vecteur
, appliquée au centre de la Lune et
dirigée vers le centre de la Terre.
- L’action exercée par un corps B, de masse m B, situé au point P,
- Sur le corps A, de masse m A, situé au point N,
- Est modélise par une force
- Schéma :
|
Les
deux forces
|
► Des points d’application différents |
|
► La même direction |
|
|
► Des sens opposés |
|
|
► La même valeur |
|
|
|
|
4)- Poids et force gravitationnelle.
- Tout corps A, de centre C et de masse m, placé au voisinage de la Terre subit une attraction.
-
Le centre de la Terre est noté T, sa masse m
T
et son rayon R T.
- Schéma :
|
|
- L’attraction exercée par la Terre sur le corps A est modélisée par la force
- Caractéristique de cette force :
|
|
Point
d’application : C |
|
Direction : la droite (TC). Elle passe par le centre de la Terre. C’est la verticale du lieu |
|
|
Sens
: de C vers T. La force est orientée vers le bas. |
|
|
Valeur
de la force : Si
le corps est au voisinage de la Terre ou à la surface de la Terre
d ≈ R T. Alors :
|
- Remarque :
- Pour tous les objets qui se trouvent à la
surface de la Terre ou au voisinage de la Terre, le terme
est
le même.
- Il est caractéristique de la Terre.
- On peut calculer sa valeur :
- Données : G ≈ 6,67 × 10 – 11 m 2 . kg– 2 . N et R T = 6,38 × 10 3 km
- Masse de la Terre : m T = 6,0 x 10 24 kg
-

- On retrouve la valeur de g ≈ 9,8 N / kg
- On peut écrire la relation suivante, pour les objets de masse m au voisinage de la Terre :
-
F Terre / A ≈ 9,8 m
- On retrouve l’expression du poids d’un corps de masse m au voisinage de la Terre vue au collège.
-
P = m . g
|
|
Point
d’application : C : centre de gravité du corps A |
|
Direction : Verticale du lieu |
|
|
Sens :
orientée vers le bas. |
|
|
Valeur
de la force : P = m
. g Avec g = 9,8 N / kg, g est l’intensité de la pesanteur. |
- Sur la Terre, tout corps de masse m est soumis à une force appelée poids du corps :
- Expression du poids : P = m.g.
- Les Unités :
- P poids en Newton N, m la masse en kg et g le facteur d’attraction terrestre : g = 9,8 N / kg.
-
Le poids d’un objet sur Terre est pratiquement égal à la
force gravitationnelle exercée par
- Remarque :
- La différence entre le poids d’un objet sur
la Terre et la force de gravitation exercée par
-
Le poids d’un corps peut s’identifier à la force
gravitationnelle exercée par
- La valeur du poids varie en fonction de la latitude et de l’altitude.
b)-
Poids d’un corps sur
- Le poids d’un corps sur la Lune peut s’identifier à la force gravitationnelle exercée par la Lune sur l’objet.
-
-
Un corps de masse m n’a pas le même poids sur
-
Un objet de masse m est environ six fois plus léger
sur
- Comment peut-on retrouver ce résultat ?
-
-
Il faut connaître le rayon de
-
R L
= 1,75 x
-
-
III- Effet d’une force sur le mouvement d’un corps.
1)- Peut-il y avoir mouvement sans force ?
- C’est au XVIIe siècle que Newton donne une réponse à cette question. (1642 – 1727)
- Expérience :
- On pose une pierre de curling sur la patinoire horizontale.
- Quelles sont les actions mécaniques qu’elle subit ?
- On lance cette même pierre sur la patinoire.
- Quelles sont les actions mécaniques qu’elle subit ?
|
Énoncé 1 : tout corps persévère dans son état de repos ou de mouvement rectiligne uniforme si les forces qui s’exercent sur lui se compensent. |
|
Énoncé 2 : Un corps est immobile ou en mouvement rectiligne uniforme si et seulement si les forces qui s’exercent sur lui se compensent (ou s’il n’est soumis à aucune force). |
- Remarques :
|
- Le principe de l’inertie n’est valable que dans certains référentiels. - On l’applique cette année dans le référentiel terrestre, dans le référentiel géocentrique et dans le référentiel héliocentrique. - Lorsque la trajectoire d’un objet n’est pas une droite ou lorsque la vitesse d’un corps varie, on peut affirmer d’après le principe de l’inertie que les forces exercées sur cet objet ne se compensent pas. |
3)- Applications du principe d’inertie.
- Lorsqu’une sonde spatiale est très éloignée du Soleil et des planètes, elle ne subit pratiquement aucune force d’attraction de leur part.
- D’après le principe d’inertie, son mouvement est alors rectiligne uniforme dans le référentiel héliocentrique.
- Mais lorsqu’une sonde spatiale passe près d’une planète, elle subit l’attraction gravitationnelle de celle-ci.
- Dans le référentiel héliocentrique, la trajectoire et la vitesse de cette sonde sont modifiées.
- Cette technique appelée, assistance gravitationnelle ou fronde gravitationnelle, permet de guider et d’accélérer les sondes spatiales afin qu’elles atteignent leur destination (sonde Cassini-Huygens).
- Dans le référentiel géocentrique, la Lune a une trajectoire quasi circulaire.
- La Lune est soumise à des forces d’attraction gravitationnelles qui ne se compensent pas.
- Soumis à une force ou à plusieurs forces qui ne se compensent pas, un corps ne peut pas avoir un mouvement rectiligne uniforme.
1)- QCM : Utiliser les schémas ci-dessous pour répondre aux questions.
|
G = 6,67 × 10 – 11 m 2 . kg– 2 . N
g
= 9,8 N / kg
m
T
= 5,98
× 1024 kg
m
L
= 7,35
× 1022 kg d = 380 × 103 km |
|
2)- Exercices : Exercices : énoncé avec correction
a)- Exercice 2 : Sous l’influence du Soleil.
b)- Exercice 3 : Un satellite en orbite.
c)- Exercice 4 : On a marché sur la Lune.
d)- Exercice 5 : Détecter l’invisible.
e)- Exercice 7 : éclipse de Soleil.
f)- Exercice 8 : La tête en bas.
g)- Exercice 9 : Fronde gravitationnelle.
h)- Exercice 14 : La naissance des galaxies et des étoiles.
i)- Exercice 19 : Retour sur l’ouverture du chapitre.
|
|