| Chim. N° 08 | Composés organiques oxygénés. Exercices. | 
 | 
| Mots clés : Composés organiques oxygénés, chimie organique, les alcools, classes des alcools, nomenclature des alcools, les aldéhydes, les cétones, les composés carbonylés, nomenclature des aldéhydes et des cétones, les acides carboxyliques, nomenclature des acides carboxyliques, propriétés des acides carboxyliques, applications, QCM, savoir reconnaître la classe d'un alcool, identifier un aldéhyde ou une cétone, acide lactique, solution d'acide méthanoïqueHydrophile, hydrophobe, | 
|  | 
| Déterminer la classe des alcools dont la formule semi-développée est donnée ci-dessous : a)- 
							 b)-  
							 c)- 
							 d)-  
							 e)- 
							 f)- 
							 | 
| a)-  
							 - Propan–1– ol : Alcool primaire b)-  
							 - Propan–2–ol : Alcool secondaire c)- 
							 - Butan–2–ol : Alcool secondaire d)- 
							 - Cyclohexanol : Alcool secondaire e)-  
							 - Phénylméthanol : Alcool primaire f)- 
							 - 2–méthylbutan–2–ol : Alcool tertiaire | 
| 1)- Reconnaître les aldéhydes et les cétones parmi les composés oxygénés dont les formules sont données ci-dessous : a)- 
							 b)- 
							 c)- 
							 d)- 
							 2)- Les nommer. | 
| 1)- et 2)- Aldéhyde ou cétone et nom : a)- 
							 - Aldéhyde : propanal b)- 
							 - Cétone : pentan–3–one. c)- 
							 - Cétone : pentan–2–one d)- 
							 - Aldéhyde : butanal. | 
| 1)- Reconnaître les acides carboxyliques parmi les composés oxygénés dont les formules sont données ci-dessous : a)- 
							 b)- 
							 c)- 
							 d)- 
							 2)- Nommer les acides carboxyliques. | 
| 1)- et 2)- Acide carboxylique ou non et nom : a)- 
							 - Acide butanoïque b)- 
							 - Aldéhyde : 3–hydroxybutanal c)- 
							 - Acide 2–méthylbutanoïque. d)- 
							 - Acide 3–méthylpentanoïque | 
| Une cétone A, dont la chaîne carbonée ne présente ni cycle, ni double liaison C = C, a une masse molaire moléculaire M = 72 g / mol. Niveau 1 1)- Déterminer la formule brute de cette molécule. 2)- En déduire sa formule semi-développée. Niveau 2 1)-  a)- Écrire la formule brute d’un alcane possédant n atomes de carbone. b)- En déduire la formule brute d’une molécule qui possède la même chaîne carbonée que cet alcane et un groupe carbonyle. c)- Exprimer la masse molaire de cette molécule en fonction de n. d)- En déduire la valeur de n et de la formule brute de A. 2)- Établir la formule semi-développée de A. | 
| Niveau 1 1)- Formule brute de cette molécule. - La molécule A est une cétone qui ne possède pas de double liaison C = C. - 
							La formule générale 
							d’une cétone est : 
							 - R1 et R2 sont des groupements alkyles du type : - – Cn1 H2n1+1 et – Cn2 H2n2+1 - 
							Formule brute : Cn1 + n2 
							+ 1 H2n1+ 2n2 + 2 O  - En posant n1 + n2 +1 = n - On peut donner la formule brute suivante : Cn H2n O 2)- Formule semi-développée. - M = 72 g / mol. - M = 12 n + 2 n + 16 - M = 14 n + 16 - Détermination de la valeur de n : - 
							 - Formule semi-développée : - La fonction cétone n’est jamais en bout de chaîne : - 
							 - Butan–2–one Niveau 2 1)-  a)- Formule brute d’un alcane possédant n atomes de carbone. - Cn H2n+2 b)- Formule brute d’une molécule qui possède la même chaîne carbonée que cet alcane et un groupe carbonyle : - Cn H2n O 
							c)- 
							Masse molaire de cette 
							molécule en fonction de n : - M = 12 n + 2 n + 16 - M = 14 n + 16 d)- Valeur de n et de la formule brute de A : - 
							 - C4H8O 2)- Formule semi-développée de A : - La fonction cétone n’est jamais en bout de chaîne : - 
							 - Butan–2–one | 
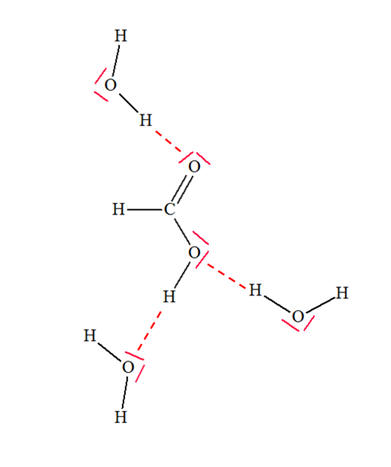
| L’acide lactique présent dans le lait, le vin et certains fruits et légumes, peut être produit industriellement à partir du maïs ou de la canne à sucre. Il permet la synthèse du PLA (acide polylactique), polymère biodégradable et recyclable utilisé comme emballage, textiles non tissés (vêtements jetables, couches, voiles d’hivernage, etc…). Sa formule brute est C3H6O3. 1)- Quelles sont les formules semi-développées possibles de l’acide lactique, sachant qu’il possède un groupe carboxyle et un groupe hydroxyle ? 2)- L’acide lactique est l’acide 2–hydroxypropanoïque. Quelle est la formule semi-développée de cet acide ? 3)- Quelles interactions peuvent s’établir entre une molécule d’acide lactique et des molécules d’eau ? Illustrer la réponse par des schémas. 4)- Pourquoi l’acide lactique est-il très soluble dans l’eau ? | 
| 1)- Formules semi-développées possibles de l’acide lactique : - On commence par la chaîne carbonée qui comprend 3 atomes de carbone : - 
							 - On place la fonction acide en bout de chaîne : - 
							 - On peut placer le groupe hydroxyde sur le carbone 2 ou le carbone 3. - Premier cas : - 
							 - 
							 - Acide 2–hydroxypropanoïque - Second cas : - 
							 - 
							 - Acide 3–hydroxypropanoïque 2)- Formule semi-développée de cet acide : - Acide 2–hydroxypropanoïque - 
							 3)- Interactions entre une molécule d’acide lactique et des molécules d’eau : - La molécule d’acide lactique peut former des liaisons hydrogène avec les molécules d’eau car elle possède un groupe carboxyle et un groupe hydroxyle. - Schéma : 4)- L’acide lactique est très soluble dans l’eau : - L’acide carboxylique est très soluble dans l’eau car sa chaîne carbonée est courte (3 atomes de carbone) et que cette molécule peut former des liaisons hydrogène avec les molécules d’eau. | 
| On dispose d’une solution aqueuse commerciale d’acide méthanoïque de densité d par rapport à l’eau (d = 1,18) et contenant P = 80,0 % en masse d’acide méthanoïque pur. On veut préparer une solution S de volume V = 250 mL et de concentration C = 1,00 mol / L en acide méthanoïque. 1)- Écrire la formule semi-développée de cet acide. 2)-  a)- À l’aide de schémas légendés, expliquer la grande solubilité de l’acide méthanoïque dans l’eau. b)- Comment justifier le caractère acide de la solution obtenue ? c)- Comment mettre en évidence ce caractère acide ? 3)-  a)- Déterminer la masse d’acide méthanoïque présent dans 1,00 L de solution du commerce. b)- En déduire le titre (concentration) massique tcom, puis la concentration molaire Ccom de l’acide méthanoïque dans la solution commerciale. 4)- Déterminer le volume Vcom de solution commerciale nécessaire à la préparation de la solution S. 5)- Décrire la préparation de la solution S. | 
| 1)- Formule semi-développée de cet acide. - 
							Acide méthanoïque : un seul atome de 
							carbone :  
							HCOOH - 
							 2)-  a)- Grande solubilité de l’acide méthanoïque dans l’eau : - La chaîne carbonée est très courte, elle est constituée d’un seul atome de carbone. - Grâce au groupement carboxyle, la molécule d’acide méthanoïque peut former des liaisons hydrogène avec les molécules d’eau. - Schéma : 
 b)- Le caractère acide de la solution obtenue : - Le groupe carboxyle de la molécule d’acide méthanoïque libère un ion H+ (aq) dans l’eau. - Il se produit la réaction suivante : 
 c)- Mise en évidence du caractère acide de la solution aqueuse : - On peut utiliser un papier pH avec son échelle des teintes, un indicateur coloré comme le B.B.T ou un pH-mètre que l’on aura étalonné avec des solutions étalons. 3)-  a)- Masse d’acide méthanoïque présent dans 1,00 L de solution du commerce : - On donne la densité de la solution commerciale d = 1,18 et le pourcentage massique d’acide méthanoïque P = 80,0 % - Le pourcentage massique indique que 100 g de solution commerciale contiennent 80,0 g d’acide méthanoïque pur. - Masse m de 1,00 L de solution commerciale : - m = ρ . V = d . ρeau . V - Masse m1 d’acide méthanoïque présent dans 1,00 L de solution commerciale : - 
							m1 = P / 
							 100 . d 
							. ρeau . V - m1 ≈ 80,0/100 × 1,18 × 1000 × 1,00 - m1 ≈ 944 g b)- Titre (concentration) massique tcom et la concentration molaire Ccom de l’acide méthanoïque dans la solution commerciale : - Titre massique : - 
							 - Concentration molaire volumique : - 
							 
							 - On veut préparer une solution S de volume V = 250 mL et de concentration C = 1,00 mol / L en acide méthanoïque. 
 - Au cours de la dilution, il y a conservation de la quantité de matière de soluté : - 
							 5)- Préparation de la solution S : - Schémas : | 
| 
 |