| Mouvement et Forces | |
| 
 | 
|  | 
| 
			QCM N° 11 
			Mouvement et 
			forces 
			Pour chaque 
			question, indiquer la (ou les) bonne(s) réponse(s). | |||||
|  | 
			Énoncé | 
			A | 
			B | 
			C | 
			R | 
| 
			1 | 
			Pour décrire le
			 
			mouvement de la
			 
			Lune autour de la
			 
			Terre, le 
			référentiel  
			le plus approprié 
			est  
			le référentiel :
			 | 
			Terrestre | 
			Géocentrique | 
			Héliocentrique | 
			B | 
| 
			2 | 
			Le mouvement 
			décrit  
			sur cette  
			
			chronophotographie  
			ci-dessous est :
			 | 
			Uniforme | 
			Décéléré | 
			Accéléré | 
			C | 
| 
			3 | 
			Dans quelles 
			situations  
			la somme 
			vectorielle des  
			forces est-elle 
			nulle ? | 
			Un bus  
			roulant en  
			ligne droite
			 
			et à vitesse
			 
			constante | 
			Un bus  
			freinant en
			 
			ligne droite
			 
			jusqu’à  
			l’arrêt. | 
			Un enfant  
			dans un  
			manège  
			qui tourne | 
			A | 
| 
			4 | 
			On considère un
			 
			parachutiste en 
			chute  
			verticale. Le 
			système  
			
			{parachute+parachutiste}  
			de masse m 
			= 80 kg a un  
			mouvement 
			rectiligne  
			uniforme. La 
			force de  
			frottement 
			exercée  
			sur le système 
			vaut : 
			Donnée :   
			norme du champ
			 
			de pesanteur 
			terrestre :  
			g 
			= 9,81 N . kg–1 | 
			On ne  
			peut pas  
			savoir | 
			8,2 N | 
			7,8 × 102 
			N | 
			C | 
| 
			5 | 
			La relation liant 
			la  
			variation
			 
			vitesse d’un 
			système  
			de masse m 
			entre  
			t 
			– Δt et t + Δt et la  
			somme
			 
			appliquées est : | 
 | 
 | 
 | 
			BC | 
| 
			6 | 
			Une voiture de 
			masse  
			m 
			= 2,1 t passe, sur une  
			route 
			horizontale, de 0  
			à 27 m . s–1 
			en 2,4 s.  
			Dans cette phase
			 
			d’accélération, 
			tout se passe comme si la 
			voiture n’était 
			soumise  
			qu’à une force de
			 
			propulsion 
			 
			constante. La norme de 
			 
			cette force vaut :  | 
			5,4 × 10–3 
			N | 
			2,4 × 101 
			N | 
			2,4 × 104 
			N | 
			C | 
| 
			7 | 
			On considère un 
			point  
			G soumis à trois 
			forces  
			représentées 
			ci-dessous.  
			Dans quels cas le
			 
			mouvement du 
			point G  
			peut-il être 
			rectiligne  uniforme. | 
 | 
 | 
 | 
			C | 
| 
			8 | 
			Soient trois 
			forces  
			appliquées à un 
			système. 
 
			Leur somme
			 
			construit ainsi :
			 | 
 | 
 | 
 | 
			AB | 
| 
			9 | 
			On considère un 
			point  
			dont on donne les
			 
			équations 
			horaires de la  
			vitesse (vx 
			et vy sont en  
			mètres par 
			seconde et t  
			est en 
			secondes) : 
 
			Les équations 
			horaires  
			de la position
			 
			peuvent être :
			 | 
 | 
 | 
 | 
			A | 
| 
			10 | 
			On considère un 
			point  
			dont on donne les
			 
			équations 
			horaires de la  
			vitesse (vx 
			et vy sont en  
			mètres par 
			seconde et t  
			est en 
			secondes) : 
 
			Les équations 
			horaires  
			de son 
			accélération  
			sont : | 
 | 
 | 
 | 
			B | 
| 
			11 | 
			On donne 
			l’évolution de  
			l’accélération 
			d’un  
			système suivant 
			un  
			mouvement 
			rectiligne  
			le long de l’axe 
			(Ox) 
 
			Quelle courbe 
			décrit  
			le mieux le 
			système ? | 
 | 
 | 
 | 
			B | 
| 
			12 | 
			On donne 
			l’évolution de  
			l’accélération 
			d’un  
			système suivant 
			un  
			mouvement 
			rectiligne  
			le long de l’axe 
			(Ox) 
 
			Quelle courbe 
			décrit  
			le mieux la 
			vitesse de  
			ce système ? | 
 | 
 | 
 | 
			A | 
| 
			13 | 
			On donne 
			l’évolution  
			de la vitesse 
			d’un  
			système en 
			mouvement  
			rectiligne de 
			long  
			d’un axe (Ox). 
 
			Quelle est la 
			courbe  
			de l’accélération
			 
			associée ? | 
 | 
 | 
 | 
			C | 
QCM réalisé avec le logiciel Questy
Pour s’auto-évaluer
Le référentiel géocentrique.
- 
L’origine du repère lié au référentiel 
Géocentrique est située au centre de la Terre.  
- 
L’axe z’Oz 
est orienté vers une étoile lointaine : on peut choisir l’étoile polaire.  
- 
Les axes 
x’Ox et y’Oy 
sont situés dans le plan équatorial et ils sont orientés vers des étoiles 
lointaines supposées fixes.
- 
Ce référentiel est commode pour l’étude des 
satellites de la Terre comme la Lune.  
- 
Ce référentiel n’est pas entraîné dans le 
mouvement de rotation de la Terre.  
- 
Dans ce référentiel, la Terre est animée d’un 
mouvement de rotation uniforme de l’ouest vers l’est, autour de l’axe des pôles.
- 
Ce référentiel est bien utile pour étudier le 
mouvement des satellites de la Terre.
Chronophotographie d’un mouvement :
- 
Le point mobile 
M parcourt des 
distances de plus en plus grandes pendant des durées égales.
- 
Le mouvement du point 
M est accéléré.
Les différents types de mouvement rectiligne : 
- 
Un point est animé d’un mouvement rectiligne 
si sa trajectoire est une droite.
- 
Mouvement rectiligne uniforme :
- 
Le point mobile 
M parcourt des 
distances égales pendant des durées égales
- 
Mouvement rectiligne varié : (il peut être 
accéléré ou retardé)
- 
Mouvement accéléré :  
- 
Le point mobile 
M parcourt des 
distances de plus en plus grandes pendant des durées égales.
- 
Mouvement décéléré ou retardé :
- 
Le point mobile 
M parcourt des 
distances de plus en plus petites pendant des durées égales
Mouvement uniforme : 
- 
Dans un référentiel donné, un 
système est animé d’un mouvement uniforme si la valeur de sa vitesse 
v est constante au cours du mouvement.
- 
Le mobile parcourt des distances égales 
pendant des durées égales :
- 
Chronophotographie d’un mouvement rectiligne 
uniforme :
- 
Mouvement circulaire uniforme :
Somme vectorielle des forces appliquées à un système :
- 
Le bus est animé d’un mouvement rectiligne 
uniforme.
- 
le vecteur vitesse
 
						 ne 
varie pas :
 ne 
varie pas :
 .
.
- 
Il est soumis à des forces dont les effets se 
compensent : 

- 
Si le bus, freine, sa vitesse diminue pour 
s’annuler lorsqu’il est à l’arrêt :
- 

- 
Lors d’un mouvement 
de rotation, le vecteur vitesse du système change de direction : 
- 
 
 
- 
Le vecteur vitesse 
peut changer de valeur ou (et) de direction au cours du mouvement d’un système.
-
Énoncé : Principe 
d’Inertie :
| Lorsque les forces qui s’exercent sur 
			un système se compensent  alors le vecteur vitesse
			
			 
						 | 
- 
Autre formulation :
| Lorsque les forces qui s’exercent sur 
			un système se compensent,  alors le système reste immobile, ou 
			reste en mouvement rectiligne uniforme. C’est-à-dire : 
			 | 
- 
Réciproque du principe d’Inertie :
| Si le vecteur vitesse
			
			 
						 alors le système est soumis à de 
			forces qui se compensent. 
 | 
Chute verticale : 
- 
Le système est animé 
d’un mouvement rectiligne uniforme par rapport à la Terre :
- 
D’après la réciproque 
du principe d’inertie :  
- 
 
 
- 
Dans le référentiel 
terrestre, le système est soumis à son poids 
 et 
à la force de frottement
 et 
à la force de frottement
 .
.
- 
Photo :

- 
Schéma de la 
situation :

- 

- 
Les deux forces sont 
égales et opposées :
- 
P 
= m . 
g = 
F = 9,81 × 80
- 
F 
≈ 7,8 × 102 N
Vecteur variation de vitesse : 
- 
Dans un 
référentiel donné, si un système de masse 
m 
constante est soumis à une ou plusieurs forces constantes, le vecteur variation 
de vitesse  
 de 
ce système pendant une durée très courte 
Δt 
et la somme de ces forces
 de 
ce système pendant une durée très courte 
Δt 
et la somme de ces forces  
 sont reliés par la relation :
 
sont reliés par la relation :
| 
 | Valeur de 
			la force F en newton (N) | 
| Valeur de 
			la masse m en kilogramme (kg) | |
| Valeur de 
			la durée Δt en seconde (s) | 
- 
Ces deux vecteurs sont 
colinéaires.
- 
La somme vectorielle 
des forces qui s’exercent sur un système  
 est 
également appelée résultante des forces notée :
 est 
également appelée résultante des forces notée :
- 
 
 
- 
Plus la masse d’un 
système est grande et plus il est difficile de modifier le mouvement de ce 
système.
- 
Si
Δt 
→ 0, et la relation devient :
-  
 
Force de propulsion :
| 
 | Valeur de 
			la force F en newton (N) | 
| Valeur de 
			la masse m en kilogramme (kg) | |
| Valeur de 
			la durée Δt en seconde (s) | 
- 
 
 
- 
On considère que le 
mouvement est rectiligne : tous les vecteurs ont la même direction et le même 
sens.
- 
La relation peut 
s’écrire :  

Mouvement rectiligne uniforme :
- 
D’après la réciproque 
du principe d’inertie :  
| Si le vecteur vitesse
			
			 
						 alors le système est soumis à de 
			forces qui se compensent. 
 | 
- 

- 
Cas 
A :
 :
 :  

- 
Cas 
B :  

- 
Cas 
C :  
- 
Le système est soumis 
à des forces dont les effets se compensent.

- 
Le mouvement du point
G peut être 
rectiligne uniforme (le point G 
peut être immobile)
Somme vectorielle : 
- 
Le résultat d’une 
somme vectorielle ne dépend pas de l’ordre des vecteurs.
- 
Dans le cas 
C, lors de la 
construction, l’origine de la force
 n’est 
pas bonne.
 n’est 
pas bonne.
- 
Erreur :  
 
 
- 
Il faut continuer à 
partir de l’extrémité du vecteur force
 .
.

- 
On retrouve le même 
vecteur :
| A | B | C | 
|   |   |   | 
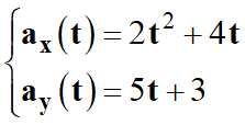
Équations horaires :
Chap N° 05 Cinématique et dynamique newtonienne. (TS 
1010)
Chap N° 11 Mouvement et forces (terminale 2020)
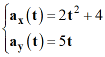
| Vecteur  
			position | 
			Vecteur  
			vitesse | 
			Vecteur  
			accélération | 
| 
 | 
 | 
 | 
- 
 Dans 
le cas présent, on connait les coordonnées du vecteur vitesse en fonction du 
temps.
- 
 
  
- 
La détermination du 
vecteur position nécessite de rechercher la primitive par rapport au temps de 
chaque coordonnée du vecteur accélération en tenant compte des conditions 
initiales.
- 
On cherche les 
primitives des équations précédentes.
- 
Il apparaît des 
constantes qui sont liées aux conditions initiales.
- 
Les constantes 
d’intégration apparues dans les primitives sont liées aux conditions initiales.
- 

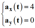
- 
Dans le cas présent, au temps 
t = 0 s, 
x0 
= 4 et y0 
= 0
- 

Équation horaire et coordonnées du vecteur 
accélération :
| 
			Vecteur  
			accélération | 
| 
 | 
- 
Le vecteur 
accélération est égal à la dérivée du vecteur vitesse par rapport au temps :
- 
Comme :  
- 
Alors : 
Exploitation de la courbe représentant l’évolution de 
l’accélération : 
- 
Évolution de la 
position du système :  
- 
D’après le graphe :
ax 
= f (t)
- 
L’accélération est 
constante et négative :
- 
ax 
= cte < 0
- 
vx 
est une primitive de ax.
- 
vx 
= ax 
. t +
v0x
- 
l’abscisse 
x est une primitive 
de vx
- 
x 
= ½ ax 
. t2 
+ v0x 
. t +
x0 
- 
Ne pas oublier que la 
grandeur ax 
< 0
 
 
- 
En conséquence la 
bonne réponse est la réponse B :
 
 
Exploitation de la courbe représentant l’évolution de 
l’accélération :
- 
Évolution de la 
vitesse du système :  
- 
D’après le graphe :
ax 
= f (t)
- 
L’accélération est 
constante et négative :
- 
ax 
= cte < 0
- 
vx 
est une primitive de ax.
- 
vx 
= ax 
. t +
v0x
- 
le coefficient 
directeur de la droite est négatif.
- 
En conséquence la 
bonne réponse est la réponse A :

 Exploitation 
de la courbe représentant l’évolution de la vitesse :  
- 
Mouvement rectiligne 
uniforme suivant l’axe (Ox).
- 
D’après le graphe :
vx 
= f (t)
- 
La valeur de la 
vitesse est constante : vx 
= v0 
= cte > 0
- 

- 
La bonne réponse est 
la réponse C :

| 
 |