La gravitation universelle, exercices, correction, 2d06phc

Phys. N° 6

La Gravitation Universelle :

Exercices. 

Correction

Cours

 

 

Programme 2010 :

 La Gravitation Universelle

 Programme 2010 :

Physique et Chimie

Programme 2020 :

Physique et Chimie

 

Exercices 2005-2006

 Physique et Chimie  seconde 

Collection DURANDEAU HaCHETTE

1)- Exercice 2 page 116.

2)- Exercice 4 page 116.

3)- Exercice 6 page 116.

4)- Exercice 7 page 116. 

5)- Exercice 9 page 117.

6)- Exercice 17 page 118. 

Physique et Chimie  seconde 

Collection Microméga Hatier

Ancienne édition

Exercice 12 page 253

Exercice 15 page 253

Exercice 18 page 254

Exercice 20 page 254

 

Gravitation Universelle 01

Sous forme de tableau

Gravitation Universelle 02

Sous forme de tableau

Pour aller plus loin : 

Logiciel pour la simulation en mécanique

(lancer de projectiles mise sur orbite de satellites)

et pour l'exploitation de vidéos (chronophotographie)

Dynamic

Gratuit

Mots clés :

Gravitation Universelle ; Le mouvement de la Lune ; l'interaction gravitationnelle ;

trajectoire d'un projectile ; mouvement des satellites ; le satellite géostationnaire ;

le poids sur la Lune ; le référentiel géocentrique ; poids et force gravitationnelle ; ...

 
 
logo

 

 

1)- Exercice 2 page 116.haut

Étudier le mouvement d’un satellite

La station orbitale I.S.S. tourne autour de la Terre sur une orbite circulaire à une altitude de 274 km.

Elle effectue un tour de la Terre en 1 h 30 min.

  1. Dans quel référentiel le mouvement de la station orbitale est-il décrit ?

  2. En utilisant le principe de l’inertie, montrer que la station n’est pas soumise à des forces qui se compensent.

  3. En fait, la station n’est soumise qu’à une seule force. Qui exerce cette force sur la station orbitale ?

  4. Quel est le rayon de l’orbite de la station ? Déterminer la vitesse de la station dans ce référentiel.

Donnée : Rayon de la Terre  : R = 6380 km

 

1. Référentiel d’étude : Le mouvement de la station orbitale est étudié dans le référentiel géocentrique.

C’est le référentiel le mieux adapté pour l’étude du mouvement des satellites de la Terre.

2. La station orbitale n’est pas animée d’un mouvement rectiligne uniforme dans le référentiel géocentrique

(référentiel dans lequel le principe de l’inertie est vérifié).

Elle est animée d’un mouvement circulaire uniforme.

Le principe de l’inertie n’est pas vérifié.

La station orbitale est soumise à des forces qui ne se compensent pas.

3. Rayon de l’orbite de la station et vitesse de la station :

- Rayon de l’orbite :

- R = RT + h

- R = 6380 + 274

- R 6,65 × 10 3 km

- Vitesse de la station :

- Vitesse : distance parcourue par seconde : v  m / s 

 

Distance

2 π R

v

Durée

 Δ t = 1 h 30 min = 5,4 × 10 3 s

 1 s

-  v = 7,7 E3 m /  s

 

 

2)- Exercice 4 page 116.haut

 

Calculer une force de gravitation

Le satellite Phobos de la planète Mars décrit une trajectoire circulaire dont le centre est confondu avec le centre de Mars.

Le rayon de cette trajectoire a pour valeur R = 9378 km.

On considérera que Phobos et Mars ont des masses régulièrement réparties autour de leur centre.

1. Exprimer littéralement la valeur FM / P de la force exercée par Mars sur le satellite Phobos.

2. Calculer la valeur de cette force.

3. Déterminer la valeur de la force FP / M exercée par Phobos sur la planète Mars.

 Données :

- Masse de la planète Mars : mM = 6,42 × 10 23 kg

- Masse du satellite Photos : mP = 9,6 × 10 15 kg

- Constante de gravitation Universelle : G = 6,67 × 10 - 11 S.I

 

 

 

1. Expression littérale de FM / P :

-  force de gravitation

2. Valeur de la force FP / M :

-  F M/P = 4,7 E15 N

3. Valeur de la force FP / M :

-  De la loi de la gravitation Universelle, on déduit

F M/P = F P /M = 4,7 E15 N

 

3)- Exercice 6 page 116.haut

Comparer poids et force de gravitation

On suppose que la Terre a une masse régulièrement répartie autour de son centre Son rayon est R = 6,38 × 10 3 km,

sa masse est M = 5,98 × 10 24 kg et la constante de gravitation Universelle est G = 6,67 × 10 - 11 S.I.

1. Déterminer la valeur de la force de gravitation exercée par la Terre sur un ballon de masse m = 0,60 kg posé sur le sol.

2. Déterminer le poids du même ballon placé dans un lieu où l’intensité de la pesanteur vaut : g = 9,8 N / kg.

3. Comparer les valeurs des deux forces et conclure.

 

1. Force exercée par la Terre sur le ballon :

- La loi de la gravitation Universelle donne :

-  F M/P = 5,9 N

2. Poids du ballon :

-  P = m . g

- P 0,60 × 9,8

- P 5,8 N

3. Comparaison : P F.

4)- Exercice 7 page 116.haut

Comparer la force de gravitation à d’autres forces

Deux boules de pétanque, de masse m = 650 g, sont posées sur le sol l’une à côté de l’autre.

Leurs centres sont distants de d = 20 cm.

1. Calculer la valeur du poids P d’une boule.

2. Quelle est la valeur de la force F de gravitation exercée par une boule sur l’autre ?

3. Pourquoi, lorsqu’on étudie l’équilibre de l’une des boules, ne tient-on pas compte de la force de gravitation exercée par l’autre boule ?

 

Donnée : Constante de gravitation Universelle est G = 6,67 × 10 - 11 S.I.

  L’intensité de la pesanteur vaut : g = 9,8 N / kg.

 

 

 

1. Valeur du poids P de la boule :

- P = m . g

- P 0,650 x 9,8

- P 6,4 N

2. Valeur de la force F de gravitation :

-  F M/P = 7,0 E-10 N

3. La valeur de la force de gravitation exercée entre les boules est négligeable devant la valeur du poids des boules : P >> F.

-  rapport : 9,1 E9

5)- Exercice 9 page 117.haut

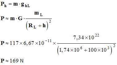
Déterminer des forces sur la Lune

La Lune est assimilable à un solide dont la masse est régulièrement répartie autour de son centre.

1. Écrire l’expression de la force de gravitation exercée par la Lune de masse mL sur un objet de masse m,

situé à la distance d du centre de la Lune.

2. En déduire l’expression littérale de l’intensité de la pesanteur g 0L à la surface de la Lune.

3. Des astronautes (Apollo XVII) ont rapporté mr = 117 kg de roches. Déterminer le poids de ces roches :

a. À la surface de la Lune  ;

b. Dans la capsule en orbite autour de la Lune , à l’altitude h = 100 km.

Données : mL = 7,34 × 10 22 kg ; RL = 1,74 × 10 3 km ;

G = 6,67 × 10 - 11 S.I.  

 

1. Expression de la force de gravitation exercée par la Lune sur un objet :

-  force de gravitation

2. Expression littérale de l’intensité de la pesanteur à la surface de la Lune  :

- On utilise le fait que le poids d’un objet sur la Lune est dû essentiellement à la force de gravitation exercée par la Lune sur l’objet.

On écrit : P F

-  relation

3. Poids des roches :

a. Poids au niveau du sol :

-  P = 189 N

b. Poids dans la capsule spatiale :

-  P = 169 N

 

6)- Exercice 17 page 118.haut

 

Modélisation d’un satellite

On dispose d’un mobile autoporteur (sur un coussin d’air) pouvant glisser sur une table horizontale.

Un éclateur permet de marquer, à intervalles de temps consécutifs égaux,

la position du centre du mobile sur la table.

mobile autoporteur

1.  Quel intérêt présente l’utilisation d’un mobile autoporteur ?

2.  Le mobile est lancé sur la table :

a.  Décrire la trace observée.

b. Caractériser le mouvement du centre du mobile.

c.  Représenter le mobile et les forces qui lui sont appliquées.

Ces forces se compensent-elles ? Justifier.

3.  Le mobile autoporteur est attaché par un fil à un plot fixe,

puis lancé avec une vitesse initiale perpendiculaire au fil tendu.

4.  à finir

 

1)- Exercice 12 page 253. haut

 

a)- Exprimer et calculer les valeurs des forces d’interaction gravitationnelle F et F’

exercées l’une sur l’autre par deux balles de tennis de masse m lorsque ces deux balles sont séparées

par une distance d’un mètre. On prendra m = 58 g.

b)- Représenter ces forces F et F’ sur un schéma :

c)- refaire le calcul de la question a)- lorsque la distance a diminué de moitié.

d)- Comparer la force exercée par une balle sur l’autre, à la force exercée par la Terre sur cette balle et conclure.

 

a)- Expression  et calcul des valeurs des forces d’interaction gravitationnelle F et F’ .

- Expression littérale : 

 

 

G 

m . m' 


 r 2

F = F' 

=

 

 

- Valeur :

 

 

m . m' 


 r 2

 

 

 

(58 × 10 - 3)2 

F = F' 

=

=>

F = F' =

6,67 × 10 - 11  


 

 

 

 

 

1,0 2

 

F = F' 2,24 × 10 - 13 N

b)- Schéma :

- Échelle : 1,0 × 10-13 N 1 cm

  schéma

c)- Calcul lorsque la distance a diminué de moitié.

-  Valeur :

 

 

m . m' 


 r 2

 

 

 

(58 × 10 - 3)2 

F = F' 

=

=>

F = F' =

6,67 × 10 - 11  


 

 

 

 

 

0,5 2

 

F = F' 8,97 × 10 - 13 N

d)- Comparaison de la force exercée par une balle sur l’autre, à la force exercée par la Terre sur cette balle :

-  Force exercée par la Terre sur une balle :

- P = m . g  =>   P = 58 x 10 - 3 × 9,81   =>   P 0,57 N  

- Conclusion :

-  >> F : La force d’interaction gravitationnelle est négligeable devant la force de pesanteur.

retour

 

 

 

2)- Exercice 15 page 253.haut

Lors de la mission Apollo, les astronautes étaient équipés, pour leur sortie sur la Lune, d’une combinaison spatiale de masse m = 60,0 kg.

a)- Calculer le poids PT (m)  de cet équipement sur Terre, puis le poids PL (m) sur la Lune.

b)- Quelle est la masse m’ d’un objet dont le poids PT (m’)  sur Terre est égal au poids de la combinaison spatiale sur la Lune ?

c)- La combinaison spatiale peut-elle être portée plus commodément sur la Terre ? Sur la Lune ? Justifier la réponse.

 

a)- Poids PT (m)  de cet équipement sur Terre, puis le poids PL (m) sur la Lune.

- Poids de l’équipement sur Terre :

- PT (m) = m . gT   =  PT (m) = 60,0 × 9,81   =  PT (m) 589 N

- Poids de l’équipement sur la Lune :

- PL (m) = m . gL   =  PL (m) = 60,0 × 1,60   =  PT (m) 96 N

b)- Masse m’ d’un objet dont le poids PT (m’)  sur Terre est égal au poids de la combinaison spatiale sur la Lune ?

- Valeur de la masse m'

 

 

m'

PT (m') 


 gT

 

m'

96 


9,81 

 

 

PT (m') = m' . gT  

=>

=>

=>

m' ≈ 9,8 kg

 

 

 

 

 

c)- La combinaison spatiale:

- La combinaison est portée plus commodément sur la Lune que sur la Terre. 

- Cela revient à porter une combinaison de 10 kg environ lorsque l’on est sur la Lune :

 

a)- Poids PT (m)  de cet équipement sur Terre, puis le poids PL (m) sur la Lune.

- Poids de l’équipement sur Terre :

- PT (m) = m . gT  =>   PT (m) = 60,0 × 9,81   =>   PT (m) 589 N

- Poids de l’équipement sur la Lune :

- PL (m) = m . gL   =>   PL (m) = 60,0 × 1,60   =>   PT (m) 96 N

b)- Masse m’ d’un objet dont le poids PT (m’)  sur Terre est égal au poids de la combinaison spatiale sur la Lune ?

- Valeur de la masse m'

 

 

m'

PT (m') 


 gT

 

m'

96 


9,81 

 

 

PT (m') = m' . gT  

=>

=>

=>

m' ≈ 9,8 kg

 

 

 

 

 

c)- La combinaison spatiale:

- La combinaison est portée plus commodément sur la Lune que sur la Terre. 

- C’est environ 6 fois plus léger sur la Lune que sur la Terre.

retour

3)- Exercice 18 page 254.haut

Une balle est lancée de trois façons différentes.

Le schéma ci-dessous représente les trois chronophotographies de la balle dans le référentiel terrestre.

Les flèches indiquent le sens des mouvements.

Situation 1 : la balle est lancée vers le haut.

Situation 2 : la balle est lâchée sans vitesse initiale.

Situation 3 : la balle est lancée avec une vitesse initiale de direction horizontale.

a)- Indiquer la nature de chacun de ces trois mouvements en utilisant les termes :

rectilignes, non rectiligne, uniforme et non uniforme.

b)- Pour chaque situation, quelle est la force exercée sur la balle au cours du mouvement.

c)- Représenter cette force dans chacun des cas lorsque la balle est à la hauteur du trait en pointillé.

d)- Pour chaque situation, comparer la direction de la force et celle du mouvement.

e)- Utiliser ces comparaisons pour justifier la nature des mouvements de la balle.

 

a)- Nature de chacun de ces trois mouvements :

- Situation 1 : la balle est animée d’un mouvement rectiligne non uniforme.

- Situation 2 : la balle est animée d’un mouvement rectiligne non uniforme.

- Situation 3 : la balle est animée d’un mouvement non rectiligne et  non uniforme.

b)- Force exercée sur la balle au cours du mouvement.

- On peut considérer que la balle est en chute libre : elle est soumise à son poids P.

c)- Représentation de cette force dans chacun des cas :

- La force est toujours la même :

  vecteur P 

Point d'application : 

centre d'inertie G

Direction : 

verticale du lieu passant par G

Sens : 

du haut vers le bas

Valeur :  

P = m . g exprimée en newton (N)

P poids en Newton N

m la masse en kg et 

g le facteur d’attraction terrestre : g = 9,81 N / kg

d)- Pour chaque situation, comparaison de la direction de la force et de celle du mouvement.

- Situation 1 : 

- Direction du mouvement : verticale et direction de la force verticale : même direction.

- Situation 2 : 

- Direction du mouvement : verticale et direction de la force verticale : même direction

- Situation 3 :

Le mouvement et la force n’ont pas la même direction.

e)- Nature des mouvements de la balle.

- Lorsque la direction de la force est la même que celle du mouvement, le mouvement est rectiligne. 

- Le mouvement se fait suivant la direction de la force.

- Lorsque la direction de la force est différente de celui du mouvement, le mouvement est curviligne. 

- La direction du mouvement tend à se rapprocher de celui de la force.

- Si la direction est la même, mais le sens du mouvement est opposé à celui de la force, le mouvement est rectiligne retardé.

- Si la direction est la même et le sens du mouvement est le même que celui de la force, le mouvement est rectiligne accéléré.

retour

 

4)- Exercice 20 page 254.haut

 

a)- En utilisant le quadrillage de la chronophotographie, dessiner le mouvement de la balle

vu par un observateur placé au-dessus de la trajectoire. 

chronophotographie du mouvement parabolique

Quelle est la nature d’un tel mouvement ?

Un tel mouvement est appelé mouvement projeté sur un axe horizontal.

b)- De la même façon, dessiner le mouvement projeté sur l’axe vertical.

Quel est la nature d’un tel mouvement ?

c)- Quelle est la force s’exerçant sur la balle ? Quelle est sa direction ?

d)- Le principe d’inertie est-il applicable pour chacun des mouvements projetés ?

e)- À quelles conditions la balle lancée depuis la dixième position aura-t-elle la même trajectoire

que la trajectoire étudiée ci-dessus considérée à partir de la septième position ?

 

a)- En utilisant le quadrillage de la chronophotographie, dessiner le mouvement de la balle

vu par un observateur placé au-dessus de la trajectoire. 

Quelle est la nature d’un tel mouvement ?

Un tel mouvement est appelé mouvement projeté sur un axe horizontal.

mouvement projeté sur un axe horizontal

- En projection horizontale, la bille parcourt des distances égales pendant des durées égales. 

- Son mouvement est rectiligne uniforme.

b)- De la même façon, dessiner le mouvement projeté sur l’axe vertical.

Quel est la nature d’un tel mouvement ?

mouvement projeté sur l’axe vertical

mouvement projeté sur l’axe vertical

- En projection sur l’axe vertical, le mouvement le la balle n’est pas uniforme. 

- Au cours d’une première phase, il est retardé (jusqu’au sommet de la trajectoire) puis il est accéléré.

c)- Quelle est la force s’exerçant sur la balle ? Quelle est sa direction ?

- La force est soumise à son poids : 

  vecteur P 

Point d'application : 

centre d'inertie G

Direction : 

verticale du lieu passant par G

Sens : 

du haut vers le bas

Valeur :  

P = m . g exprimée en newton (N)

P poids en Newton N

m la masse en kg et 

g le facteur d’attraction terrestre : g = 9,81 N / kg

d)- Le principe d’inertie est-il applicable pour chacun des mouvements projetés ?

- On travaille dans le référentiel terrestre. On applique le principe de l’inertie

- Suivant la direction horizontale, la balle n’est soumise à aucune force

puisque la force qu’elle subit est verticale. 

- Le mouvement est rectiligne uniforme suivant la direction horizontale.

- Suivant la direction verticale,  la balle est soumise à une force.

La valeur de la vitesse est modifiée dans la direction de la force.

e)- À quelles conditions la balle lancée depuis la dixième position aura-t-elle la même trajectoire

que la trajectoire étudiée ci-dessus considérée à partir de la septième position ?

- Il faut que la valeur de la vitesse et la direction de lancement correspondent

à la valeur de la vitesse et à la direction du mouvement pour la septième position.

- Il semble que la septième position corresponde au sommet de la trajectoire.

Dans ce cas, il faut lancer la balle horizontalement.

haut

retour