|
Chim. N° 05 |
Réactions acido-basiques. Cours. |
|
Programme 2011 :
Physique et
Chimie
Programme 2020 :
Physique et
chimie
|
1)- Notion d'acide selon Bronsted. 2)- Notion de base selon Brsonsted. |
|
2)- Equation de la réaction chimique.
|
|
Exercices énoncé et correction 1)- Exercice 10 page 109. 2)- Exercice 11 page 109. 3)- Exercice 18 page 110. 4)- Exercice 19 page 110. 5)- Exercice 30 page 113. |
Pour aller plus loin :
|
Mots clés : Réactions acido-basiques ; couples acide-base ; indicateurs colorés ; espèces amphotères ; ampholytes ; espèces conjuguées ; acide ; base ; Bronsted ; Lewis ; ... |
|
|
Leçon en relation avec le TP Chimie N° 07
1)- Notion d’acide selon Bronsted.
- Un acide est une espèce chimique capable de céder au moins un proton H+.
- On écrit : AH = H + + A– écriture formelle.
- Exemples : CH3COOH,
NH4+,
HIn, C6H5COOH,
H3O+,
H2O.
- Remarque : un acide peut être une molécule ou un ion.
- Remarque : les protons H+ n’existent pas en solution aqueuse, ils sont solvatés.
2)- Notion de base selon Bronsted.
- Une base est une espèce chimique capable de capter au moins un proton
- On
écrit : H + +
A
– = AH
- Exemples : CH3COO
– ,
NH3,
In
–,
C6H5COO
–,
HO –,
H2O.
- L’espèce chimique A – donne l’acide AH en captant un proton H+.
- On dit que
A
–
est la base conjuguée de l’acide
AH.
- On parle du couple acide / base : AH / A –
- Exemples : AH = H + + A – Couple : AH / A –
- B + H + = BH + Couple : BH + / B
- Les deux espèces acide-base obtenues en passant de l’une à l’autre par perte ou gain d’un proton s’appellent des espèces conjuguées.
- Elles forment un couple acide-base noté : acide / base.
- Exemples de couples : CH3COOH / CH3COO – (acide éthanoïque / ion éthanoate) ; NH4+ / NH3 (ion ammonium / ammoniac);
- C6H5COOH
/ C6H5COO
–
(acide benzoïque / ion benzoate).
- HIn / In – ; H3O+ / H2O ( ion oxonium / eau) ; H2O / HO – (eau / ion hydroxyde).
4)- Cas des indicateurs colorés acido-basiques.
- Un indicateur coloré est constitué d’un couple acide / base dont les deux formes conjuguées n’ont pas la même couleur :
- Notation symbolique :
HIn / In
–.
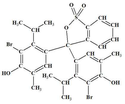
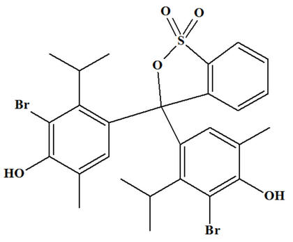
- Exemple : le bleu de bromothymol (B.B.T) :
- Formule du B.B.T :
- formule brute :
C27H28Br2O5S

B.B.T (formule semi-développée)

B.B.T (Formule topologique)

B.B.T 3D sans les hydrogènes

B.B.T 3D avec les hydrogènes
- Exemples : couples acide / base ou intervient l’eau :
- H3O+
/ H2O ; H2O /
HO
–.
|
Couples
Acide / base |
|
|
Acide |
Base |
|
H3O+ |
H2O |
|
H2O |
HO – |
- Une espèce chimique qui peut se comporter comme un acide dans un couple et une base dans un autre couple est un ampholyte ou une espèce amphotère.
- Une réaction chimique qui met en jeu un transfert de proton entre ses réactifs est appelée réaction acido-basique.
- Elle fait agir l’acide d’un couple acide / base avec la base d’un autre couple acide / base.
- Exemple :
- Réaction vue lors du TP Chimie N° 07 :
|
In
–
+ CH3COOH
→
HIn
+ CH3COO
– |
- Couples mises en jeu :
|
Couple
1 |
CH3COOH / CH3COO – |
|
Couple
2 |
HIn / In – |
2)- Équation de la réaction acido-basique :
- Pour retrouver l’équation de cette réaction acido-basique, on réalise une combinaison des demi-équations acido-basiques des deux couples de façon que :
- Les protons transférés n’apparaissent pas dans le bilan de la réaction.
- L’acide éthanoïque CH3COOH et la base In – soient les réactifs.
- Écriture formelle :
|
Couple 1 |
CH3COOH
=
H+
+
CH3COO
– |
|
Couple 2 |
In
–
+
H+
=
HIn |
|
Bilan |
In
–
+
CH3COOH
→
HIn
+
CH3COO
– |
|
Enoncé et Correction |