| Phys. N° 13 | Oscillateurs mécaniques. Cours. | 
 | 
|  | 
  
| Programme 2012 : Physique et Chimie Programme 2020 : Physique et Chimie | 
	  Pour
aller plus loin : 
 Mots clés : Système oscillant ; pendule simple ; pendule élastique ; résonance ; 
		...
  
  
     
		 
  
  
  I- Notion de système oscillant. 
  
- Une balançoire, une masse accrochée à un ressort, une masse accrochée à un fil sont des systèmes oscillants mécaniques.
 
          
 
          
2)- Particularité d’un système oscillant.
- Un système oscillant possède une énergie potentielle minimale.
- Lorsqu’on écarte le système de son état d’équilibre et qu’on l’abandonne à lui-même, il effectue des oscillations libres autour de son état d’équilibre.
- On appelle oscillation la variation cyclique autour d’une valeur moyenne d’une grandeur caractérisant l’état du système.
- En physique, l’amplitude désigne la moitié de l’écart entre la valeur maximale et la valeur minimale de la fonction.
-  C’est une grandeur positive : 
 
 
a)- Définition.
- Un pendule pesant est un système oscillant en rotation autour d’un axe horizontal.
- Écarté de sa position d’équilibre, il oscille autour de cette position sous la seule action de son poids.
- Une balançoire constitue un pendule pesant.
- Exemple de pendule pesant : pendule constitué d’un disque de masse m surmonté d’une tige de masse négligeable devant celle du disque.
- L’ensemble peut pivoter librement autour d’un axe horizontal.
b)- Action des forces.
-  
  Le pendule est soumis à deux forces : son poids 
 et la force
 et la force 
 exercée par l’axe de rotation.
 exercée par l’axe de rotation. 
 
- Cette dernière n’a aucun effet sur le mouvement du pendule (sa ligne d’action passe par l’axe de rotation).
- Lorsque le pendule est en équilibre, la ligne d’action du poids passe par l’axe de rotation.
- Pour cette position particulière, le poids n’a aucune action sur la rotation du pendule.
- Si l’on écarte le pendule de cette position, la ligne d’action du poids ne passe plus par l’axe de rotation et
- le poids a une action sur la rotation du pendule, le pendule tend à revenir vers sa position d’équilibre.
- Un pendule est en équilibre stable lorsque le centre d’inertie est sur la verticale passant par l’axe de rotation et est situé en dessous de l’axe de rotation.
  
Animation : CABRIJAVA.
c)- Grandeurs caractéristiques.
- On peut repérer à chaque instant l’abscisse angulaire θ (t) :
- c’est l’angle formé par le pendule à la date t et le pendule à l’équilibre.
- C’est une grandeur algébrique.
- L’amplitude θm
est la valeur absolue de l’abscisse angulaire maximale.- C’est une grandeur positive.
- La période est la durée d’une oscillation complète : un aller-retour.
d)- Isochronisme des petites oscillations.
- La période d’un pendule pesant ne dépend pas de l’amplitude θm des oscillations si celle-ci reste inférieure à 20 ° ;
- c’est l’isochronisme des petites oscillations.
e)- Amortissement des oscillations.
- Les forces de frottement qui s’exercent sur le pendule provoquent une diminution de l’amplitude des oscillations.
- Le mouvement est amorti et le phénomène n’est pas rigoureusement périodique.
- Quand l’amortissement est faible, le régime est pseudo-périodique est possède une pseudo-période qui est voisine de la période propre du pendule.
- Quand on augmente l’amortissement, le pendule passe d’un régime pseudo-périodique à un régime apériodique ( il n’oscille plus).
1)- Le modèle du pendule simple.
- Un pendule simple est constitué d’un objet de petites dimensions suspendu à un fil de masse négligeable.
- La masse du fil est négligeable devant la masse m de l’objet et la longueur du fil ℓfil > 10 R.
-  R représente le rayon d’un objet sphérique.
2)- Étude expérimentale du pendule simple : TP Physique N° 13.
- La période propre d’un pendule simple est indépendante de la masse m.
- Elle varie dans le même sens que la longueur du fil et en sens inverse de la valeur du champ de pesanteur.
- La période propre des oscillations de faibles amplitudes dépend :
- De la longueur ℓ du pendule simple
- De la valeur g du champ de gravitation.
- Les grandeurs ℓ et g sont des paramètres spécifiques.
- Remarque : la période propre T0 ne dépend pas de la masse m du solide.
- Expression de la période :
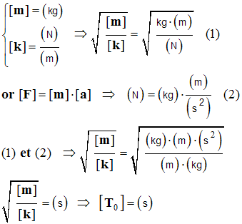
-   
  
- analyse dimensionnelle :
-  
1)- Force de rappel exercée par un ressort.
- Un ressort à spires non jointives exerce une force proportionnelle à la longueur du déplacement de l’extrémité libre du ressort.
      
  
  
Animation : CABRIJAVA.
- O représente la position de l’extrémité du ressort à l’équilibre ( origine de l’axe) et M représente la position de l’extrémité du ressort lorsqu’il est excité.
-  Force de rappel 
 
 exercée par le ressort sur le solide 
  S :
  exercée par le ressort sur le solide 
  S :  
 
   
-  expression vectorielle : 
   
   
 
 
- Valeur de la tension : F = k . | x |
- k représente la raideur du ressort à spires non jointives en N / m,
- x représente l’abscisse de l’allongement du ressort par rapport à sa position d’équilibre,
- F représente la valeur de la tension en N.
2)- Expression de la période de la période propre de l’oscillateur élastique.
a)- Période de l’oscillateur et masse du solide S.
- On remarque que la période T0 augmente lorsque la valeur de la masse augmente.
- La période T0 diminue lorsque la valeur de la raideur du ressort augmente.
-  Expression de la période propre du pendule élastique : 
 
 
 
b)- Analyse dimensionnelle.
- Montrer que cette relation a bien la dimension d’un temps.
-  
  
 
 
3)- étude dynamique du système solide-ressort.
- Écarté de sa position d’équilibre et abandonné à lui-même, le solide S, en translation effectue des oscillations libres.
- Le mobile S se déplace sur coussin d’air et on peut considérer que les frottements sont négligeables.
- Le système {support - ressort - solide } constitue un oscillateur libre.
- L’étude de la variation de l’élongation x en fonction du temps t, x = f (t), montre que les oscillations sont sinusoïdales.
- Le mobile effectue des oscillations périodiques autour de la position d’équilibre.
- Étude du système à l’instant t.
  
Animation : CABRIJAVA.
-  Le repère choisi : 
 
 O 
  représente la projection de G à l’équilibre sur 
  l’axe x’Ox 
  et M 
  représente la projection de G à l’instant t.
O 
  représente la projection de G à l’équilibre sur 
  l’axe x’Ox 
  et M 
  représente la projection de G à l’instant t.
- Bilan des forces :
- On se place dans le cas où les forces de frottement sont négligeables devant les autres forces.
| Le mobile est soumis : | 
 | 
| 
 | |
| 
 | 
- Dans le référentiel terrestre supposé galiléen, on peut appliquer le théorème du centre d’inertie :
-   
  
- Projetons la relation sur l’axe x’Ox :
-   
 
 
- Le mouvement de l’oscillateur élastique libre non amorti vérifie cette équation différentielle.
- On parle d’oscillateur harmonique.
- Remarque : l’équation différentielle se présente comme une relation du premier degré entre la fonction de x (t) et certaines de ses dérivées.
- Cette équation différentielle est qualifiée de linéaire car elle présente cette propriété (oscillateur linéaire).
-  La solution générale de l’équation est du type : 
 
 
 
 
- La grandeur x
m représente l’amplitude des oscillations, T0 représente la période propre des oscillations et φ la phase à l’origine des dates.- La période propre est liée aux caractéristiques du système mécanique.
-  La solution vérifie l’équation (1) si 
 
 
 
 
 
   
Étude expérimentale du pendule élastique : TP Physique N° 13.
IV- Phénomène de résonance.
1)- Les oscillations forcées. Définition.
| Définition des oscillations forcées : -Un système oscillant de fréquence propre f0 que l’on appelle le résonateur, subit des oscillations forcées, s’il oscille à la fréquence f imposée par l’excitateur. | 
- Le haut-parleur est un exemple d’oscillations forcées.
  
- On accroche un pendule élastique à la membrane du H.P.
- On règle le G.B.F sur 10 x mHz et on affiche 500.
- Puis on détermine la valeur de la fréquence de vibration du dispositif.
- Schéma du montage.
 
  
- Le pendule élastique effectue des oscillations forcées à la fréquence f imposée par le G.B.F.
  
   on augmente
  lentement la fréquence de l’excitateur et on observe le comportement du
  pendule élastique (le résonateur).
on augmente
  lentement la fréquence de l’excitateur et on observe le comportement du
  pendule élastique (le résonateur).
- L’amplitude des oscillations du pendule élastique (résonateur) dépend de la fréquence f de l’excitateur.
- Cette amplitude est maximale lorsque f0 ≈ f.
- On dit que le résonateur entre en résonance.
-  Un 
système oscillant entre en résonance lorsqu’il est excité à une fréquence 
voisine de sa fréquence propre f0. 
-  à 
la résonance, l’amplitude des oscillations est maximale.
-  La résonance se manifeste 
de manière importante lorsque le système est peu amorti.
- Courbe de résonance.
- Exemple :
-  Remarque : 
si l’amortissement est faible, la résonance est aiguë,
-  Si l’amortissement est 
fort, la résonance est floue.
-  Si 
l’amortissement est faible fR
≈
f0 avec
fR
< f0.
Animation : résonnance d'un pendule élastique.
V- Applications.