|
Contrôle N° 04 Sciences physiques Classe de seconde énoncé et correction |
|
|
|
équilibrer les réactions suivantes :
H2O
+ Al → Al2O3
+ H2
Fe3O4
+ CO → FeO
+ CO2
NO2
+ H2O →
HNO3 + NO
Fe
+ H2O →
Fe3O4 +
H2
Al
+ MnO2 → Al2O3
+ Mn
3
H2O +
2 Al →
Al2O3 +
3 H2
Fe3O4
+ CO →
3 FeO +
CO2
3
NO2 + H2O
→ 2 HNO3
+ NO
3
Fe + 4
H2O → Fe3O4
+ 4 H2
4
Al + 3
MnO2 → 2
Al2O3 +
3 Mn
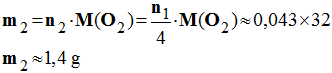
On veut faire brûler m1 = 4,0 g de sodium Na dans du dioxygène gazeux O2.
Il se forme de l'oxyde de sodium de formule : Na2O.
équation bilan de la réaction :
4 Na +
O2 → 2 Na2O
|
|
4 Na |
+ |
O2 |
→ |
2 Na2O |
|
État initial |
n1 ≈ 0,17 mol |
|
n2 ≈ ? |
|
0 |
|
État Intermédiaire |
n1 – 4 x |
|
n2 – x |
|
2 x |
|
État final |
n1 – 4
xmax = 0 |
|
n2 –
xmax = 0 |
|
2 xmax |



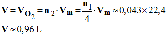
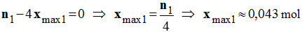
On fait brûler une masse m1 = 4,0 g de sodium dans un volume V2 = 2,0 L de dioxygène.
|
|
4 Na |
+ |
O2 |
→ |
2 Na2O |
|
État initial |
n1 ≈ 0,17 mol |
|
n2
≈ 0,089 mol |
|
0 |
|
État Intermédiaire |
n1 – 4 x |
|
n2 – x |
|
2 x |
|
État final |
|
|
|
|
|
|
|
4 Na |
+ |
O2 |
→ |
2 Na2O |
|
État initial |
n1 ≈ 0,17 mol |
|
n2
≈ 0,089 mol |
|
0 |
|
État Intermédiaire |
n1 – 4 x |
|
n2 –
x |
|
2 x |
|
État final |
n1 – 4 xmax1 = 0 |
|
n2 –
xmax1 |
|
2 xmax1 |
|
État final (mol) |
0 |
|
0,089 – 0,043 ≈ 0,046 |
|
2 x 0,043 ≈ 0,086 |
Données : volume molaire : Vm = 22,4 L / mol dans les conditions de l'expérience.
Masses molaires : M (C)
= 12 g / mol ; M (O) = 16 g / mol ; M (H) =
1,0 g / mol ; M (Na) = 23 g / mol
Atome de sodium Na : Z = 11 ; atome d'oxygène O : Z = 8.
données : 1 année = 365,25 jours et c = 3,0 × 108 m / s