|
Anabac Sciences Physiques Pondichéry 2011 Exercice 2 énoncé et correction |
|
|
|
I-
EXERCICE 2 : Le saut à l'élastique (5 points) Pondichéry 2011
1)- Première phase du saut à l'élastique. Un peu d'adrénaline… |
I-
EXERCICE 2 : Le saut à l'élastique
(5
points) Pondichéry 2011
«
Rite initiatique ancestral pratiqué sur
l’île de la Pentecôte, dans l'archipel de
Vanuatu
au cœur
du Pacifique, le saut dans le vide avec les chevilles attachées est
devenu un sport extrême. »
D'après
https://www.saut-elastique.com
À l'origine, les jeunes gens sautaient du haut
d'une tour seulement retenus par une liane. De nos jours, les amateurs
de sensations fortes plongent, souvent du haut d'un pont, équipés d'un
«élastique» en latex ; un «élastique» est en réalité constitué d'un
assemblage de 1000 à 2000 fils ronds en latex extrudé.
L'observation d'un saut peut conduire à se poser
quelques questions : Quelle est la vitesse du sauteur quand l'élastique
le rappelle la première fois ? Pendant combien de temps, le sauteur
oscille-t-il ? etc…
Des mesures expérimentales peuvent, certes, y
répondre mais l'utilisation d'un modèle peut aussi permettre de prévoir
les réponses. C'est modestement ce que propose cet exercice...
1)- Première phase du saut à l'élastique. Un peu d'adrénaline…
Considérons la première phase d'un saut à
l'élastique, lorsque un sauteur et son équipement, de masse
m =
84,0 kg, se laisse tomber sans vitesse initiale d’un pont dont le
plateau se trouve à une hauteur
h = 270 m du sol.
On peut considérer que le volume du sauteur et de son équipement est : V = 0,25 m3.
Par ailleurs l'ensemble des
actions exercées par l'air, outre la poussée d'Archimède, sur le sauteur
peut être modélisé par une force de frottement dont la valeur
f
est proportionnelle au carré de la vitesse
acquise :
f =
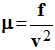
μ.v2
où μ = 0,78 unité SI.
Données:
Masse volumique de l'air : ρ = 1,3 kg . m-3
Accélération de la pesanteur : g = 9,8 m . s-2
a)- Montrer qu'il est légitime de ne pas prendre en compte la poussée d'Archimède, en comparant sa valeur à celle du poids du système S, constitué par le sauteur et son équipement.
On négligera donc cette poussée dans tout ce qui suit.
- Valeur de la Poussée d’Archimède :
- La Poussée d’Archimède est égale au poids de fluide déplacé : ici le fluide est l’air.
-
π =
ρ
. g .
V
- π ≈ 1,3 × 9,8 × 0,25
- π ≈ 3,2 N
- Valeur du poids du système :
- P = m . g
- P ≈ 84,0 × 9,8
- P ≈ 8,2 × 102 N
- Comparaison :
-

- En conséquence P >> π, On peut négliger la Poussée d’Archimède devant le poids du système.
b)- À partir d'une analyse dimensionnelle, déterminer l'unité avec laquelle s'exprime la constante μ, dans le Système International.
- Unité de la constante μ dans le Système International :
- On donne la relation : f = μ.v2
-

- [f] = (N) = (kg) . (m) . (s–2) et [v2] = (m2 /s2)
-
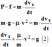
c)- Écrire, dans le référentiel terrestre supposé galiléen, la seconde loi de Newton appliquée au système S.
- Système étudié : S = {Sauteur et son équipement}
- La seconde loi de Newton :
- Dans un référentiel Galiléen, la somme vectorielle des forces extérieures appliquées à un solide est égale au produit de la masse du solide par le vecteur accélération de son centre d’inertie.
- On écrit :
-
(2)
-
si on pose
: alors :
![]()
-
Bilan des forces : Le poids
,
la force de frottement
et la
Poussée d’Archimède
(négligeable)
et

-
![]()
d)- Que devient cette relation vectorielle projetée sur un axe vertical Ox orienté vers le bas ?
- Projection sur l’axe Ox au temps t :

-
Coordonnées dans le repère :

-
Px =
P et
fx = -
f
- Deuxième loi de Newton : P – f = m . ax (1)
e)-
En déduire l'équation différentielle vérifiée par la vitesse
vx
(t) au cours de cette première chute et vérifier qu'elle
est de la forme :
où
A et
B sont deux constantes.
- Équation différentielle vérifiée par la vitesse vx (t) :
-

f)- Avec quelles unités s'expriment A et B ? Déterminer A et B en fonction des données et vérifier que B = 9,3.10-3 unité SI.
- En comparant les relations suivantes :
-
et 
- On tire :
-
, l’unité
de B est (m–1)
- A = g = 9,8 m . s–2 , l’unité de A est (m . s–2)
- Vérification de la valeur de B :
-

g)- En déduire l'expression de la vitesse limite vlim (en fonction de m, g et μ) puis calculer sa valeur.
- Expression de la vitesse limite vlim :
- Lorsque la vitesse limite est atteinte, la vitesse du système ne varie plus, sa valeur reste constante :
- En conséquence :
-
- Valeur de la vitesse limite :
-
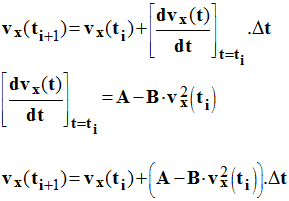
h)- La résolution de l'équation différentielle établie précédemment est obtenue par la méthode numérique itérative d'Euler. Un extrait de la feuille de calcul est représenté ci-dessous.
|
Date t (s) |
0,00 |
0,20 |
0,40 |
0,60 |
0,80 |
1,00 |
1,20 |
… |
|
Vitesse vx (m . s-1) |
0,00 |
1,96 |
3,92 |
5,85 |
|
9,60 |
11,4 |
... |
i)- Quel est le pas Δt utilisé pour effectuer les calculs de vx (t) ?
- Valeur du pas utilisé :
- Δt = ti+1 – ti = 0,20 s
j)- La méthode d'Euler permet de prévoir, par le calcul, l'évolution de la composante vx de la vitesse du système S au cours du temps.
La détermination de
vx
(ti+l)
est possible si celle de vx
(ti))
est connue en appliquant la relation
.
Déterminer par le calcul, la vitesse vx (t = 0,80 s) absente du tableau.
- Valeur de la vitesse vx (t = 0,80 s) absente du tableau :
-

- Appliquons la formule au temps t = 0,80 s
-

|
Date t (s) |
0,00 |
0,20 |
0,40 |
0,60 |
0,80 |
1,00 |
1,20 |
… |
|
Vitesse vx (m . s-1) |
0,00 |
1,96 |
3,92 |
5,85 |
7,75 |
9,60 |
11,4 |
... |
2)- Deuxième phase du saut à l'élastique.
À partir de la date t = 5,0 s, le sauteur remonte sous l'action de l'élastique puis oscille verticalement pendant 40 s, effectuant 4 allers et retours.
a)- Comment qualifie-t-on de telles oscillations ? Justifier. Calculer le temps caractéristique T associé aux oscillations et le nommer.
- Types d’oscillations : Oscillations mécaniques libres amorties.
- Temps caractéristique : pseudo-période T :
- Il fait 4 allers-retours en 40 s. Comme une pseudo-période correspond à un aller-retour.
- 4 T = 40 s
- T ≈ 10 s
b)- Si on assimile l'élastique à un ressort de raideur k relié à une masse m, quelle est l'expression de la période propre T0 des oscillations libres ?
- Expression de la période T0 des oscillations libres :
-

c)- Calculer la valeur de T0 et interpréter la différence observée entre les valeurs de T et T0.
-

-

- Les forces de frottements ne sont pas négligeables devant les autres forces : Poids et tension de l’élastique.
- L’amortissement est important.
Donnée: k = 38,0 N . m-1.
|
|
|
|