Le chrome sous différentes formes : Correction : Pondichéry 2011 Exercice 1

Anabac

Sciences Physiques

Pondichéry 2011

Exercice 1

Énoncé et Correction

 

 
logo

I- EXERCICE 1 : Le chrome sous différentes formes (7 points) Pondichéry 2011

1)- Préparation d’une solution contenant des ions chromate.

2)- Détermination de la concentration molaire en ions chromate dans la solution préparée.

3)- Suivi cinétique de la formation d’un ion complexe de chrome III

Annexes

 

 

Les parties 1, 2 et 3 sont indépendantes

I- EXERCICE 1 : Le chrome sous différentes formes (7 points) Pondichéry 2011

L’élément chrome peut présenter divers états d’oxydation, les principaux étant Cr(0), Cr(III) et Cr(VI).

Le chrome métallique (0) est utilisé en métallurgie pour améliorer la résistance à la corrosion et à l’usure des métaux et alliages.

Le chrome (III) est un oligo-élément participant à la métabolisation du glucose.

Le chrome (VI), hautement toxique et cancérigène, est un pigment pour les peintures.

Selon l’état du chrome, il existe différents procédés pour produire, étudier et utiliser celui-ci.

Données :

Couples oxydant/réducteur mis en jeu : H+ (aq) / H2 (g) et CrO42– (aq) / Cr (s)

Charge d’une mole d’électrons (Faraday) : F = 96500 C . mol-1

Masse molaire atomique du chrome : M (Cr) = 52 g . mol –1

pKA à 25 °C des couples acido-basiques mis en jeu :

pKA1 (HCrO4/ CrO42–) = 6, 4                    

pKA2 (H3O+ / H2O) = 0

pKA3 (H2O / HO ) = 14

1)- Préparation d’une solution contenant des ions chromate.

L’ion chromate CrO42 – est toxique, mais nécessaire pour le tannage industriel des cuirs par exemple,

notamment pour la fabrication des gants de protection.

Il peut être synthétisé par la voie électrolytique décrite ci-dessous.

L’une des électrodes utilisées est constituée de chrome métallique, celui-ci est transformé en ion chromate lorsqu’un courant électrique circule dans

l’électrolyseur (le bain électrolytique se colore en jaune). L’autre électrode est inerte.

Dans son proche voisinage, on observe un dégagement gazeux de dihydrogène obtenu par réduction des ions H+ contenus dans le bain électrolytique.

a)-  Écrire les équations des réactions aux électrodes. Indiquer sur quelle électrode a lieu l’oxydation.

-    Électrode constituée de chrome métallique :

-    Équation de la réaction :

-     Cr (s) = CrO42 – (aq)

-    Première étape : on équilibre l’oxygène avec L’eau H2O :

-    Cr (s) 4 H2O (ℓ) =   CrO42 – (aq)

-    Deuxième étape : on équilibre l’hydrogène avec H+ (aq) :

-    Cr (s) 4 H2O (ℓ) =   CrO42 – (aq) + 8 H+ (aq) 

-    Troisième étape : on équilibre les charges avec les électrons :

-    Cr (s) 4 H2O (ℓ) =   CrO42 – (aq) + 8 H+ (aq) + 6 e

-    Cette réaction produit des électrons,

-   C’est une oxydation, elle se produit à l’anode

-    L’autre électrode est donc la cathode,

-   il s’y produit une réduction :

-   réaction qui consomme des électrons.

-    L’électrode est inerte :

-    On observe un dégagement gazeux de dihydrogène obtenu par réduction des ions H+ contenus dans le bain électrolytique

-    Équation bilan :

-     2 H+ (aq) +  2 e =  H2 (g)

b)-  Faire un schéma légendé du circuit électrique comportant l’électrolyseur et indiquer sur celui-ci :

anode, cathode, sens de déplacement des électrons, sens du courant électrique, générateur idéal de tension, voltmètre, ampèremètre et chrome métallique.

 -    Schéma légendé du circuit électrique comportant l’électrolyseur :

électrolyseur

c)-  Montrer que l’équation de la réaction modélisant l’électrolyse, s’écrit :

Cr (s) +  4 H2O (ℓ) = CrO42 – (aq)   +  2 H + (aq)  +  3 H2 (g)

-    Équation de la réaction modélisant l’électrolyse :

Cr (s)

+

4 H2O (ℓ)

=

CrO42 – (aq)

+

8 H+ (aq)

+ 6 e

3 (

2 H+ (aq)

+

2 e

=

H2 (g)

)

Cr (s)

+

4 H2O (ℓ)

=

CrO42 – (aq)

+

2 H+ (aq)

+ 3 H2 (g)

d)-  Comment identifier expérimentalement le dihydrogène qui se dégage ?

-    Identification expérimentalement le dihydrogène :

-    Gaz qui produit une légère détonation (aboiement) en présence d’une flamme.

e)-  Un courant électrique d’intensité I = 4,0 A circule à travers le circuit, pendant une durée Δt = 2,5 heures.

Calculer la concentration molaire en ions chromate de la solution S1 ainsi obtenue dans la cellule d’électrolyse sachant que celle-ci a un volume V = 500 mL.

-    Concentration molaire en ions chromate de la solution S1 :

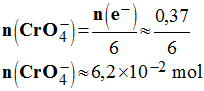
-    Au cours de la réaction il se forme des ions chromate :

    Cr (s) 4 H2O (ℓ)  =  CrO42– (aq)  +  8 H+ (aq)   +  6 e

-    Quantité de matière d’électrons qui participe à la réaction :

-    Q = n (e) . F = I . Δt

-    On tire l’expression suivante :

-    n (e-) = 0,37 mol

Équation

Cr (s)

+

4 H2O (ℓ)

=

CrO42– (aq)

+ 8 H+ (aq)

6 e

état

Avancement

x (mol)

mol

 

mol

 

mol

mol

mol

État initial

(mol)

0

n1

 

excès

 

0

 

0

Au bout

de la

durée Δt

x

n1 - x

 

 

x

 

6 x

-    En conséquence : n (e) = 6 x et n (CrO42–) = x

-    On en déduit la quantité de matière d’ions chromate formés :

-     6,2 E-2 mol

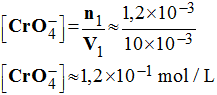
-    Concentration molaire volumique de la solution de chromate obtenue :

-     1,2 E-1 mol / L

 

Haut

2)- Détermination de la concentration molaire en ions chromate dans la solution préparée.

 

À un volume V1 = 10,0 mL de la solution S1 préparée par électrolyse, on ajoute un volume Va = 15,0 mL

d’une solution aqueuse Sa d’acide chlorhydrique de concentration molaire volumique C= 1,0 × 10 –1 mol . L –1.

a)-  Calculer la quantité de matière na d’ions H3O+ introduits.

 -    Quantité de matière na d’ions H3O+ introduits :

-    na = Ca . Va

-    na ≈ 1,0 × 10 –1  × 15,0 × 10 – 3

-    na ≈ 1,5 x 10 –3  mol

b)-  Quelle est la nature de la transformation chimique mise en jeu lors du mélange des solutions S1 et Sa ?

Écrire l’équation de la réaction et calculer la valeur de sa constante d’équilibre à 25 °C. Conclure.

 -    Nature de la transformation chimique mise en jeu lors du mélange des solutions S1 et Sa :

-    La solution obtenue après électrolyse contient des ions chromate, des ions H+ (aq) et d'autres cations

dont on ne connait pas la nature (on peut supposer que ce sont des ions sodium ou potassium)

-    Il se produit une réaction acido-basique entre les ions chromate et les ions oxonium :

CrO42– (aq) + H3O+ (aq) = HCrO4 (aq) +H2O (ℓ)

-    Valeur de la constante d’équilibre à 25 °C :

gamma

-     K = 2,5 E6

-    Remarque :

-    Donnée : pKA1 (HCrO4/ CrO42–) = 6, 4

-    Réaction chimique correspondante :

HCrO4 (aq) + H2O (ℓ)CrO42– (aq) +  H3O+ (aq)  

 -    La réaction entre les ions chromate et les ions oxonium est une réaction quasi-totale car K > 104.

-    On peut écrire :

CrO42 (aq) + H3O+ (aq) →  HCrO4 (aq)  + H2O (ℓ)

c)-   Les ions H3O+ sont introduits en excès par rapport aux ions chromate.

La quantité de matière en excès, notée nexa, est dosée par une solution aqueuse d’hydroxyde de sodium de concentration

Cb = 4,0 × 10 –2 mol . L –1. .

Écrire l’équation de la réaction support du dosage.

 -    Équation de la réaction support du dosage :

-    Espèce présentes dans la solution au cours du dosage :

 gamma

-    La réaction prépondérante est la réaction 1 :

-    K1 = 1014

-    Lorsque la réaction 1 est finie, les ions hydroxyde réagissent avec les ions hydrogénochromate pour donner les ions chromate.

-    Il se produit la réaction 2.

-    La constante de réaction a pour valeur :

-    K2 = 1014 – 6,4 ≈ 4,0 × 107

-    C’est pour cette raison que le pH à

l’équivalence est inférieur à 7.

d)-   La courbe de 1’annexe n° 1 représente le suivi pH–métrique du titrage.

Déterminer le volume de solution aqueuse d’hydroxyde de sodium versé pour atteindre l’équivalence, en faisant apparaître la construction nécessaire.

L’annexe n°1 Question 2)- d)-  est à rendre avec votre copie.

En déduire la valeur de nexa.

-    Construction :

-    On utilise la méthode des tangentes.

 courbe pH tangentes

Cliquer sur l'image pour l'agrandir

-    Volume de solution aqueuse d’hydroxyde de sodium versé pour atteindre l’équivalence :

-   V beq = 8,8 mL

-    Valeur de nexa :

-    nexa = Cb . Vbeq

-    nexa ≈ 4,0 × 10 –2 × 8,8 × 10 – 3

-    nexa ≈ 3,5 x 10 – 4 mol

e)- Si on note n1 la quantité de matière en ions chromate contenue dans le volume V1 de la solution S1, alors n1 = na - nexa.

Calculer n1 et en déduire la concentration molaire [CrO42 –] de la solution S1 préparée par électrolyse.

-    Calcul de n1 :

-    n1 = na nexa  

-    n1 ≈ 1,5 × 10 –3 – 3,5 × 10 – 4

-    n1 ≈ 1,2 × 10 –3 mol

-    Concentration molaire [CrO42 –] de la solution S1 :

-   1,2 E-2 mol / L

f)-   Confronter les valeurs des concentrations molaires en chromate [CrO42 – ] obtenues par le titrage et par le bilan d’électrolyse effectué à la question 1)- e)-.

Conclure.

-    Par titrage, comme par le bilan de l’électrolyse, on obtient sensiblement la même valeur

(Ne pas oublier que l’on a arrondit la valeur des résultats).

Les résultats sont cohérents.

 

Haut

3)- Suivi cinétique de la formation d’un ion complexe de chrome III

L’ion chrome III réagit, en milieu acide, avec l’E.D.T.A (noté dans la suite, pour simplifier l’écriture, Y4-,

Y représentant un groupe d’atomes) pour former un ion complexe coloré.

L’évolution temporelle de cette transformation, nommée complexation, peut donc être réalisée par spectrophotométrie.

L’équation de la réaction associée à cette complexation s’écrit :

Cr3+ (aq)   +   Y4 – (aq)    =   {CrY} (aq)

Pour réaliser cette transformation, on mélange un volume V1 = 76,0 mL d’une solution aqueuse d’ions Y4 – de concentration molaire

C1 = 1,0 x 10 –1 mol. L –1 avec un volume V2 = 4,0 mL d’une solution aqueuse d’ions Cr3+ de concentration molaire C2 = 6,0 x 10 –2 mol . L –1.

On mesure, à différentes dates t, l’absorbance A d’un échantillon de la solution préparée.

L’absorbance de la solution est mesurée à une longueur d’onde λ = 540 nm.

Les résultats obtenus sont consignés dans le tableau suivant :

t en min

0

15

20

25

30

35

40

A

0,033

0,100

0,120

0,140

0,160

0,175

0,190

0,620

a)-   Calculer à la date t = 0 min, la quantité de matière n01 d’ions Y4 – et

la quantité de matière n02 d’ions Cr3+, introduites dans le mélange.

-    Quantité de matière n01 d’ions Y4 – :

-    n01 = C1 . V1

-    n01 ≈ 1,0 × 10 –1 × 76,0 × 10 – 3

-    n01 ≈ 7,6 × 10 – 2 mol

-    Quantité de matière n02 d’ions Cr 3+

-    n02 = C2 . V2

-    n02 ≈ 6,0 × 10 –2 × 4,0 × 10 – 3

-    n02 ≈ 2,4 × 10 – 4 mol

b)-   Montrer que la quantité de matière n2 d’ions Cr3+ et l’avancement x de la réaction sont liés par la relation n2 = n02 x.

-    Tableau d’avancement de la réaction :

Équation chimique

Cr 3+(aq)

+

Y4 –(aq)

=

{CrY} (aq)

État du

système

Avancement

(mol)

mol

mol

mol

État initial

x = 0

n2 = n02

n1 = n01

0

En cours de

transformation

x

n2 = n02 x

n1 = n01 x

x

c)-  Calculer numériquement l’avancement maximal xmax de la complexation.

-    Avancement maximal xmax de la réaction de complexation :

-    On peut calculer les deux valeurs de xmax en résolvant les deux équations suivantes

n02 - xmax1 = 0

=>

xmax2 = n02

n01 - xmax2 = 0

xmax1 = n01

xmax22,4 × 10 – 4 mol

xmax1 7,6 × 10 – 2 mol

-    La valeur retenue pour xmax est la plus faible des deux valeurs.

-    xmax = xmax22,4 × 10 – 4 mol

-    Les ions chrome III, Cr3+, sont en défaut, ils limitent la réaction.

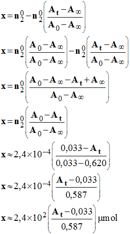
d)-  On peut montrer et on admet que relation où A0, At et A sont respectivement les absorbances de la solution à la date t = 0 min,

à la date t et à la date t = ∞.

Exprimer l’avancement x en fonction de n02, A0, At et A, puis compléter le tableau fourni en annexe n° 2, à rendre avec votre copie.

-    Expression de l’avancement x de la réaction

en fonction de n02, A0, At et A :

-    n2 = n02 x   =>   x = n02n2

-     résolution

-    Tableau :

 t

min

0

15

20

25

30

35

40

At

0,033

0,100

0,120

0,140

0,160

0,175

0,190

0,620

x

μmol

0

27,4

35,6

43,7

51,9

58,1

64,2

240

e)-  Tracer le graphique x = f (t) pour t £ 40 min sur une feuille de papier millimétré, à rendre avec votre copie.

Échelle des abscisses : 1 cm représente 5 min

Échelle des ordonnées : 1 cm représente 10 μmol.

graphe

Cliquer sur l'image pour l'agrandir

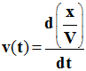
f)-   Rappeler la définition de la vitesse volumique de réaction. Comment évolue-t-elle dans l’intervalle 0 min ≤  t  ≤ 30 min ?

-    Définition de la vitesse volumique de réaction :

-    La vitesse volumique de réaction v(t) à la date t, est la dérivée par rapport au temps,

-    Du rapport entre l’avancement x de la réaction et le volume V du milieu réactionnel.

-   v (t)  

-    Lorsque l’on travaille à volume constant, on obtient la relation suivante :

-    Relation : v (t)

-    avancement de la réaction : x : mol

-    volume du milieu réactionnel : V : L

-    Vitesse volumique de réaction : v(t) : mol / L / s

-    Évolution dans l’intervalle 0 min < t < 30 min :

-    La vitesse volumique de la réaction à la date t1 est égale au coefficient directeur de la tangente à la courbe C

au point M1 d’abscisse t1.

-    Pour l’intervalle 0 min ≤  t  ≤ 30 min, la courbe est pratiquement une droite passant par l’origine

modélisée par une fonction linéaire :

x (t) (μmol) = 1,7 t (min)

a = 1,7 est le coefficient directeur de la droite.

 graphe

Cliquer sur l'image pour l'agrandir

-    On peut considérer que la vitesse volumique de réaction est pratiquement constante pour cet intervalle de temps.

 

ANNEXES

Annexe n°1 : Question 2)- d)-

 courbe pH

Cliquer sur l'image pour l'agrandir

Annexe n°2 : Question 3)- d)-. et Question 3)- e)-

 

t en min

0

15

20

25

30

35

40

¥

x en μmol

 

 

 

 

 

 

 

 

 

 

Haut