|
TP Physique N° 04 Principe de l'Inertie. Correction |
|
|
|
|
II - Le référentiel barycentrique. |
|
Matériel :
mobile autoporteur, deux stylets, table plane et horizontale. |
1)-
Dispositif expérimental.
- À intervalles de temps égaux (τ = 20 ms),
- Les stylets indiquent leur position sur la feuille en la brûlant
ponctuellement.
2)-
Expérience.
- Le mobile est lancé sur la table horizontale
avec un effet de rotation.
|
Cliquer sur l'image pour l'agrandir |
3)-
Étude du système.
-
Système : S
= {mobile autoporteur}
-
Référentiel : la
table horizontale.
-
Comme elle est liée à
4)-
Exploitation de
l’enregistrement.
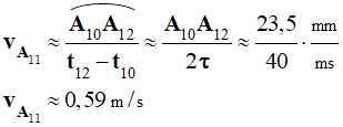
- Déterminer les valeurs des vitesses instantanées du point A
et du point B aux dates
- Vitesses moyennes :
- vitesse moyenne du point
A entre les
instants t1 et
t20.
-
- vitesse moyenne du point
G entre les
instants t1 et
t20.
-
- Vitesses instantanées :
- vitesse instantanée du point
mobile A à
la date t11.
-
- vitesse instantanée du point
mobile A à
la date t16.
-
- vitesse instantanée du point
mobile G à
la date t11.
-
- vitesse instantanée du point
mobile G à
la date t16.
-
- La valeur de la vitesse instantanée du
point mobile G
varie peu au cours du mouvement du mobile.
-
- alors que la valeur de la vitesse
instantanée du point mobile A
varie sensiblement au cours du mouvement.
- Elle diminue, puis augmente, et ainsi de suite.
- Pour le point mobile
G,
- ![]()
- Le point
A décrit une
cycloïde. Son mouvement est curviligne.
- Le point
G décrit
pratiquement une droite.
- Son mouvement est rectiligne.
- Le point mobile
G est animé d’un
mouvement rectiligne uniforme.
5)-
Conclusions.
- Le point
A est animé d’un
mouvement curviligne, varié et périodique.
- Le point
G est animé d’un
mouvement rectiligne uniforme.
II-
Le référentiel barycentrique.
1)-
Trajectoire du point A.
- Le point G
est le barycentre du système.
- On va étudier le mouvement du point
A dans le
référentiel barycentrique.
Méthode :
- Pour cela, il faut
pouvoir immobiliser le point G.
sur une feuille de papier calque.
- placer
au centre un point G
et représenter un repère orthonormé ayant G
pour origine.
-
Faire coïncider le
point G de
la feuille de papier calque avec le point
G0
de l’enregistrement et noter la position
du point A0
sur la feuille de papier calque.
- Faire glisser la
feuille de papier calque parallèlement afin de faire coïncider
G et
G1
et noter la position du point
A1
et ainsi de suite.
2)-
Exploitation du tracé.
|
Cliquer sur l'image pour l'agrandir |
- Déterminer les valeurs des vitesses instantanées du point A aux dates
- Le point
A décrit un cercle
par rapport au point G.
- Vitesses instantanées :
- vitesse instantanée du point
mobile A à
la date t2.
-
- vitesse instantanée du point
mobile A à
la date t11.
-
-
- Le point
A est animé d’un
mouvement circulaire uniforme dans le référentiel barycentrique.
- La vitesse du point A dépend du référentiel d’étude.
-
Elle n’est pas
la même dans le référentiel « table horizontale » que dans le référentiel
barycentrique.
III-
Le principe de l’inertie.
1)-
Bilan des forces qui
s’exercent sur le système.
- On travaille dans
le référentiel : table horizontale (référentiel terrestre) avec un système :
- S
= {mobile autoporteur} qui est soit immobile, soit en mouvement.
- Le mobile
autoporteur est soumis à son poids :
-
force verticale
orientée du haut vers le bas.
- À l’action de la
soufflerie :
force verticale orientée du bas vers le haut.
- Lorsque le mobile se déplace sur un plan horizontal
ou lorsqu’il est immobile, P
= R.
-
et
ont
même direction, même valeur et sont de sens contraires.
autre
représnetation

Construire
(
et
ayant même valeur, on les
représentera par des segments fléchés de même longueur).
- Remarque :

- Lorsque la somme vectorielle des forces qui s’exercent sur un système est égale au vecteur nul,
- on dit que ces forces se compensent.
2)-
Principe de l’inertie.
|
et quel que soit le mouvement de ce solide, son centre d'inertie G peut :
Dans un référentiel terrestre, lorsque les forces appliquées à un système se compensent, alors le centre d’inertie G du système est soit immobile, soit animé d’un mouvement rectiligne uniforme. |
3)-
Remarque.
- Si l’on supprime la
soufflerie, il y aura des forces de frottement en plus du poids et de la
réaction de la table.

![]()
- Les forces ne se
compensent pas.
- G
n’est pas animé d’un mouvement rectiligne uniforme.
- Sa vitesse diminuera au cours du temps jusqu’à ce que le mobile s’arrête.
IV - Animation de l'expérience :
Animation :
|
Mouvement d'un mobile sur une table horizontale Mouvement du point A et du point G par rapport à la table
|
|
|