Phys. N° 03C Action mécanique et vecteur force. Exercices

Phys. N° 03

Action mécanique

et vecteur force .

Exercices

   

 

 
logo

I- Exercice : connaissances essentielles.

II- Exercice 12 page 65. Représentation d’une force localisée

III- Exercice 17 page 66. Portance et traînée d’une aile d’avion

IV- Exercice 19 page 67. Coordonnées d'un vecteur force

V- Exercice 22 page 67. Coordonnées du vecteur poids

VI- Exercice 27 page 68. Corps flottant

 

I- Exercice : connaissances essentielles.

Connaissances essentielles.

1)- Quels peuvent être les effets d’une action mécanique exercée sur un corps ?

2)- Trouver l’origine de la modification du mouvement :

a)-  D’une balle qui rebondit sur le sol :

b)-  D’un parachute qui ne tombe pas verticalement :

c)-  D’une boule sur un billard :

3)- Trouver l’origine de la déformation :

a)-  D’une voile de bateau :

b)-  De la corde d’un arc :

c)-  D’un ballon que l’on gonfle :

4)- Classer par actions réparties et actions localisées.

a)-  Action du vent sur la voile :

b)-  Action de l’eau sur un barrage :

c)-  Action d’un filin sur un bateau :

d)-  Action de la pointe d’un stylo sur une feuille :

e)-  Coup de pied sur un ballon :

5)- Énoncer les caractéristiques d’une force.

6)- Choisir la bonne réponse :

La valeur d’une force est mesurée :

a)-  Par un manomètre :

b)-  Un dynamomètre :

c)-  Un baromètre :

d)-  Un newtonmètre :

L’unité de force est :

e)-  Le pascal :

f)-   Le kilogramme :

g)-  Le bar :

h)-  Le newton : VRAI.

7)- Énoncer la condition d’équilibre d’un solide soumis à deux forces :

8)- Quelle est la relation entre l’intensité (ou valeur) F de la force pressante  

qui s’exerce sur une surface S perpendiculaire à , et la valeur p de la pression.

Préciser l’unité de chaque grandeur.

9)- Définir le poids d’un corps soumis à des forces de pesanteur :

 

Connaissances essentielles.

1)- Quels peuvent être les effets d’une action mécanique exercée sur un corps ?

-  Une action mécanique ou force est capable de :

-  Déformer un corps ou

-  De le mettre en mouvement ou de modifier son mouvement.

2)- Trouver l’origine de la modification du mouvement :

a)-  D’une balle qui rebondit sur le sol :

-   Réaction du sol au moment de l’impact.

b)-  D’un parachute qui ne tombe pas verticalement :

-  Action du vent sur le parachute.

c)-  D’une boule sur un billard :

-  Choc entre la boule et une paroi du billard ou choc de la boule avec une autre boule.

3)- Trouver l’origine de la déformation :

a)-  D’une voile de bateau :

-  La force pressante exercée par le vent sur la voile.

b)-  De la corde d’un arc :

-  Main de l’archer sur la corde.

c)-  D’un ballon que l’on gonfle :

-  Force pressante exercée par l’air sur la paroi du ballon.

4)- Classer par actions réparties et actions localisées.

a)-  Action du vent sur la voile :

-  Action répartie sur la surface de la voile.

b)-  Action de l’eau sur un barrage :

-  Action répartie sur la surface du barrage.

c)-  Action d’un filin sur un bateau :

-  Action localisée.

d)-  Action de la pointe d’un stylo sur une feuille :

-   Action localisée.

e)-  Coup de pied sur un ballon :

-  Action répartie sur la surface de la chaussure.

5)- Énoncer les caractéristiques d’une force.

 vecteur F L/R

Le point

d’application :

 L’action mécanique est localisée au point A.

La direction ;

droite ( AB). 

C’est la droite que matérialise la ficelle.

C’est la droite d’action de la force.

Le sens

Comme on tire le sens de la force est de A vers B.

L’intensité

 C’est la valeur de la force.

On peut tirer plus ou moins fort sur le ressort.

On peut déformer plus ou moins le ressort.

 

 schéma

6)- Choisir la bonne réponse :

La valeur d’une force est mesurée :

a)-  Par un manomètre : (FAUX : un manomètre mesure une pression)

b)-  Un dynamomètre : VRAI

c)-  Un baromètre : (FAUX : un baromètre mesure une pression)

d)-  Un newtonmètre : FAUX

L’unité de force est :

e)-  Le pascal : FAUX c’est une unité de pression du système international

f)-   Le kilogramme : FAUX c’est l’unité de masse.

g)-  Le bar : FAUX c’est une unité de pression

h)-  Le newton : VRAI.

7)- Énoncer la condition d’équilibre d’un solide soumis à deux forces :

-     équilibre

-    Les deux forces sont égales et opposées et elles ont la même ligne d’action.

schéma 

8)- Quelle est la relation entre l’intensité (ou valeur) F de la force pressante vecteur F 

qui s’exerce sur une surface S perpendiculaire à vecteur F, et la valeur p de la pression.

Préciser l’unité de chaque grandeur.

 p = F / S

Pression: pascal Pa

Force F newton N

Surface S : mètre carré m2

9)- Définir le poids d’un corps soumis à des forces de pesanteur :

 vecteur P

Le point

d’application :

G  Centre d’inertie de l’objet considéré

La direction ;

Verticale du lieu passant par le point G

ici la droite (GC)

Le sens

Du haut vers le bas

c’est-à-dire de G vers C.

L’intensité ou valeur

P = m.g

schéma : bilan des forces

Haut

II- Exercice 12 page 65. Représentation d’une force localisée

Représentation d’une force localisée

1)- Reproduire le schéma ci-dessous et représenter :

-  la force exercée par A sur le solide;

-  la force exercée par B sur le solide S ;

-  Échelle : 1 cm ↔ 10 N.

2)- le solide S peut-il être en équilibre dans ces conditions ?

On négligera le poids du solide S par rapport à l’intensité

Des autres forces.

schéma

 

Représentation d’une force localisée

schéma

1)- Représentation des forces.

Chaque force est représentée par un segment fléché de 5 cm de longueur.

 schéma

2)- Conditions d'équilibre.

-    Le solide S est en équilibre car il est soumis à deux forces :

-    Dont la somme vectorielle est égal au vecteur nul :

-     équilibre

-    Et dont les droites d'action sont confondues.

Haut

III- Exercice 17 page 66. Portance et traînée d’une aile d’avion

Portance et traînée d'une aile d'avion.

Lorsqu’une aile d’avion est en mouvement avec une vitesse vecteur v

Voir le schéma ci-dessous.

 aile avion

On appelle portance vecteur F, la composante verticale de vecteur T sa composante horizontale.

1)- Représenter graphiquement la portance vecteur F et la trainée vecteur T.

2)- Exprimer F et T en fonction de R et α, sachant que lorsque α est petit,

On peut écrire sin αα et cos α ≈ 1 avec α en radian.

3)- Calculer F et T avec R = 3000 N et α = 8°.

4)- Calculer la finesse f de l’aile définie par le rapport F / T.

Portance et traînée d'une aile d'avion.

Voir le schéma ci-dessous.

 schéma

1)- Représentation graphique.

 schéma

2)-  relations :

-    F = R . cos α R si l'angle α est petit en radians

-    T = R . sin α R.α  si α est petit en radians

3)- Valeurs :

-  T = 419 N   

4)-  Finesse de l'aile d'avion :

-  f = 7,2  

 

Haut

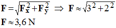
IV- Exercice 19 page 67. Coordonnées d'un vecteur force

Coordonnées d'un vecteur force

1)- Dans un repère dont les axes repère sont gradués en N,

On a représenté un vecteur force  (schéma ci-dessous)

 

On peut écrire : vecteur F.

Déterminer Fx et Fy.

2)- Exprimer l’intensité F de la force vecteur F en fonction de Fx et Fy.

Donner la valeur numérique de F.

3)- Exprimer le sinus de l’angle angle alpha en fonction de Fy et F.

4)- Exprimer la tangente de l’angle α en fonction de Fx et Fy.

 

Coordonnées d'un vecteur force 

schéma

1)- Schéma :

 schéma

2)- Fx ≈ 3,0 N et Fy ≈ 2,0 N

-   F = 3,6 N  

3)-  et 4)- Relations :

-   alpha : 33,7 °   

 

Haut

V- Exercice 22 page 67. Coordonnées du vecteur poids.

Coordonnées du vecteur poids.

Une luge descend une pente enneigée inclinée d’un angle α

Par rapport au plan horizontal.

Déterminer dans le repère repère représenté ci-dessous,

Les coordonnées du poids .

On prendra α = 20 ° et P = 600 N.

luge

 

Coordonnées du vecteur poids.

On prendra α = 20 ° et P = 600 N.

luge

Coordonnées du vecteur poids :

 schéma

-  Px = 205 N et Py = 564 N

 

Haut

VI- Exercice 27 page 68. Corps flottant

 Corps flottant

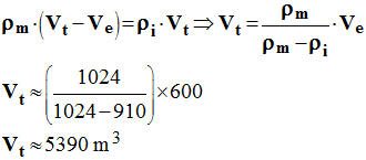
Un iceberg a un volume émergé Ve = 600 m3.

Sa masse volumique est ρ1 = 910 kg.m – 3,

celle de l’eau de mer est ρm = 1024 kg.m – 3.

1)- Schématiser l’iceberg flottant et préciser les forces

auxquelles il est soumis lorsqu’il est en équilibre.

2)- Écrire la condition d’équilibre. Trouver une relation

Entre le volume émergé Ve, le volume total Vt et les

Masses volumiques ρ1 et ρm.

3)- Calculer le volume Vt et la masse de l’iceberg.

 Corps flottant

1)- Schéma :

 schéma

2)- Condition d’équilibre :

-    Poussée d'Archimède :

  Elle est égale au poids du volume d'eau de mer déplacée :

-    F = mm . g = ρm . Vi . g

-    F = mm . g = ρm . (Vt - Ve). g  (1)

-    Poids de l'Iceberg :

-    P = m . g

-    P = ρi . Vt . g   (2)

3)- Volume total de l'Iceberg :

-    En combinant (1) et (2) :

-    V t = 5390 m3 

 

 

Haut