Phys. N° 02C Vecteur vitesse. Vitesse angulaire. Exercices

Phys. N° 02

Vecteur vitesse. Vitesse angulaire.

Exercices

Cours

 

 
 
logo

I- Exercice 6 Page 51 : Mouvement d’un solide.

II- Connaissances essentielles.

III- Exercice 8 page 51. Le Circuit automobile

IV- Exercice 11 : Vecteur vitesse instantanée.

V- Exercice 23 : Mouvement circulaire uniforme.

VI- Exercice 16 : Vitesse d'un foret

VII- Exercice 18 : Vitesse de la lumière – Vitesse du son.

 

 

 

I- Exercice 6 Page 51 : Mouvement d’un solide.

Choisir la proposition exacte :

1)- Au même instant, les différents points du solide animé d’un mouvement de translation circulaire ont tous :

a)-  Le même vecteur vitesse :

b)-  Des vitesses différentes :

2)- Au même instant, les différents points du solide mobile autour d’un axe fixe ont tous :

a)-  Le même vecteur vitesse :

b)-  La même vitesse :

c)-  La même vitesse angulaire :

3)- Au cours du temps, un point d’un solide en translation uniforme conserve :

a)-  Le même vecteur vitesse :

b)-  La même vitesse :

 

Choisir la proposition exacte :

1)- Au même instant, les différents points du solide animé d’un mouvement de translation circulaire ont tous :

a)-  Le même vecteur vitesse : VRAI

b)-  Des vitesses différentes : FAUX

2)- Au même instant, les différents points du solide mobile autour d’un axe fixe ont tous :

a)-  Le même vecteur vitesse : FAUX

b)-  La même vitesse : FAUX

c)-  La même vitesse angulaire : VRAI

3)- Au cours du temps, un point d’un solide en translation uniforme conserve :

a)-  Le même vecteur vitesse : FAUX

b)-  La même vitesse : VRAI.

Haut

 

II- Connaissances essentielles.

1)- Vitesse moyenne :

Donner la définition de la vitesse moyenne d’un point d’un mobile.

Préciser l’unité de vitesse dans le système international d’unité.

2)- Vitesse instantanée :

a)-  Donner la définition de la vitesse instantanée d’un point d’un mobile à la date t dans un référentiel donné.

b)-  Préciser les caractéristiques du vecteur vitesse d’un point mobile à la date t.

3)- Le mouvement circulaire uniforme :

a)-  Définir le mouvement circulaire uniforme d’un point mobile :

b)-  Donner ses caractéristiques dans un référentiel : vitesse angulaire et instantanée, période et fréquence.

4)- Mouvement de translation d’un solide.

  Un solide est animé d’un mouvement de translation curviligne uniforme dans le référentiel terrestre.

  Parmi les propositions suivantes, indiquer celles qui sont fausses et proposer une solution.

a)-  Tous les points du solide ont la même vitesse :

b)-  Tous les points du solide ont le même vecteur vitesse :

c)-  La vitesse du solide ne varie pas au cours du temps :

d)-  Le vecteur vitesse du solide ne varie pas au cours du temps. :

5)- Mouvement de rotation autour d’un axe fixe.

Dans un référentiel, un solide est animé d’un mouvement de rotation autour d’un axe fixe.

Parmi les propositions suivantes, indiquer celles qui sont vraies et corriger celles qui sont fausses.

a)-  Tous les points du solide ont la même vitesse :

b)-  Plus un point est éloigné de l’axe est plus sa vitesse est grande :

c)-  Un point sur l’axe a une vitesse non nulle :

d)-  Tous les points du solide ont la même vitesse angulaire :

e)-  Le vecteur vitesse est le même pour tous les points du solide à chaque instant :

f)-  La vitesse v d’un point du solide est liée à la vitesse angulaire du solide par la relation :

 

1)- Vitesse moyenne :

Donner la définition de la vitesse moyenne d’un point d’un mobile.

Préciser l’unité de vitesse dans le système international d’unité.

Définition :

La vitesse moyenne d'un point mobile est égale au quotient de la distance parcourue par la durée du parcours.

-  Relation : vm = d / Dt

-  Vitesse moyenne vm en m / s

-  Distance parcourue : d en m

-  Durée du parcours : Δt en s

-  Dans le S.I, l'unité de vitesse est le mètre par seconde.

2)- Vitesse instantanée :

a)-  Donner la définition de la vitesse instantanée d’un point d’un mobile à la date t dans un référentiel donné.

-  Vitesse instantanée : C'est la vitesse à un instant donné.

-  C'est la vitesse donnée par le tachymètre à l'instant ou on le regarde.

-  On définit cette vitesse afin de mieux décrire le mouvement d'un point mobile.

-  On ne sait calculer qu'une vitesse moyenne.

   On va considérer que pendant un intervalle de temps très court, la vitesse ne varie pratiquement pas, qu'elle reste pratiquement constante.

-  On peut en conséquence utiliser la relation précédente.

-  La vitesse instantanée v (t) d’un point mobile, à la date t, est pratiquement égale à sa vitesse moyenne calculée pendant

un intervalle de temps très court encadrant l’instant t considéré.

 

 schéma

-  Remarque 1 : la valeur donnée par cette relation est d'autant plus proche de la vraie valeur que la durée Δt = t" - t'est petite.

-  Remarque 2 :

-  Il faut toujours préciser le référentiel étude pour déterminer la valeur de la vitesse.

- La vitesse est relative au référentiel d'étude.

b)-  Préciser les caractéristiques du vecteur vitesse d’un point mobile à la date t.

-  Le vecteur vitesse instantanée a les caractéristiques suivantes :

-  Origine : position occupée par le point mobile à l'instant considéré t.

-  Direction : tangente à la trajectoire au point considéré.

-  Sens : celui du mouvement à cet instant

-  Valeur : celle de la vitesse instantanée à cet instant.

 schéma vecteur vitesse

-  On représente le vecteur vitesse par un segment fléché :

-  Vecteur vitesse du point mobile M à l'instant t3 , vecteur vM (t) que l'on note plus simplement vecteur v3.

-  Pour tracer ce vecteur vitesse :

-  Origine : position occupée par le point mobile à l'instant considéré t, c'est-à-dire le point M3 .

-  Direction : tangente à la trajectoire au point considéré :

-  droite parallèle à (M2M4) issue de M3.

-  Sens : celui du mouvement à cet instant

-  Valeur : celle de la vitesse instantanée à cet instant :

-   v3

-  C'est-à-dire :v3.

-  Longueur du représentant ℓv :

-  Une échelle de représentation est indispensable.

-  Elle associe la longueur du segment fléché à la valeur de la vitesse instantanée.

-  Exemple : 1 cm ↔ 0,1 m / s.

-  En conséquence si v3 ≈ 0,40 m / s,

-  le segment fléché aura une longueur : v 3 = 4,0 cm.

3)- Le mouvement circulaire uniforme :

a)-  Définir le mouvement circulaire uniforme d’un point mobile :

-  Un point mobile est animé d'un mouvement circulaire uniforme

-  si sa trajectoire est circulaire et

-  si sa vitesse instantanée garde la même valeur au cours du mouvement.

 

 schéma

b)-  Donner ses caractéristiques dans un référentiel : vitesse angulaire et instantanée, période et fréquence.

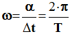
-  Vitesse angulaire :

-  La vitesse angulaire est égale à l'angle en radians décrit par le mobile en une seconde.

- On la note par la lettre grecque ω.

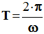
-  Relation : Vitesse angulaire = 2 pi / T

 

-  Angle balayé par le rayon : α en radians rad.

-  Durée correspondante Δt en seconde s.

-  Vitesse angulaire en radians par seconde rad / s.

-  Vitesse linéaire instantanée :

-  Relation entre la vitesse angulaire ω et la vitesse linéaire v :

-  v = ω.R.

-  Période T :

-  Durée mise pour parcourir un tour : unité seconde s.

-  Relation : période T

-  La fréquence f : Nombre de tours par seconde :

-   

-  Unité : hertz : Hz.

-  Relation : v = 2 pi . R . f

4)- Mouvement de translation d’un solide.

  Un solide est animé d’un mouvement de translation curviligne uniforme dans le référentiel terrestre.

  Parmi les propositions suivantes, indiquer celles qui sont fausses et proposer une solution.

a)-  Tous les points du solide ont la même vitesse : VRAI.

b)-  Tous les points du solide ont le même vecteur vitesse : VRAI.

c)-  La vitesse du solide ne varie pas au cours du temps : VRAI.

d)-  Le vecteur vitesse du solide ne varie pas au cours du temps. : FAUX.

-  Dans un mouvement de translation, tous les points du solide ont, à chaque instant, le même vecteur vitesse .

-  Mais le vecteur vitesse change de direction à chaque instant lorsque la translation est curviligne.

5)- Mouvement de rotation autour d’un axe fixe.

Dans un référentiel, un solide est animé d’un mouvement de rotation autour d’un axe fixe.

Parmi les propositions suivantes, indiquer celles qui sont vraies et corriger celles qui sont fausses.

a)-  Tous les points du solide ont la même vitesse : FAUX.

-  Tous les points du solide n'ont pas la même vitesse linéaire.

-  Si on prend deux points A et B du solide tels que :

-   relation

 schéma

-  remarque :

- si la vitesse angulaire est constante au cours du temps, le solide est animé d'un mouvement de rotation uniforme.

b)-  Plus un point est éloigné de l’axe est plus sa vitesse est grande : VRAI.

 

-   relation

c)-  Un point sur l’axe a une vitesse non nulle : FAUX.

-  v = ω . R.

-  Si R =0, alors v = 0

d)-  Tous les points du solide ont la même vitesse angulaire : VRAI.

e)-  Le vecteur vitesse est le même pour tous les points du solide à chaque instant : FAUX.

-  Le vecteur vitesse change de direction à chaque instant.

- Le vecteur vitesse est tangent à la trajectoire à l’instant considéré.

f)-  La vitesse v d’un point du solide est liée à la vitesse angulaire du solide par la relation :

-  FAUX : v = ω . R.

Haut

 

III- Exercice 8 page 51. Le circuit automobile

Le circuit automobile  

Un circuit automobile a une longueur de 4,410 km.

Calculer la vitesse moyenne d’une formule 1 dans les deux cas suivants :

a)-  La route est mouillée :

La durée d’un tour est de 1 min 35,065 s ;

b)-  La route est sèche :

La durée d’un tour est de 1 min 21,793 s.

On exprimera la vitesse en m.s–1, puis en km.h–1.

Le résultat sera donné avec deux chiffres après la virgule.

Le circuit automobile  

a)- Vitesse moyenne sur route mouillée :

vmoy = 46,36 m/s = 167 km/h

  b)-Vitesse moyenne sur route sèche :

 vmoy = 53,92 m/s = 194,4 km/h

Haut

IV- Exercice 11 : Vecteur vitesse instantanée.

Vecteur vitesse instantanée.

L’enregistrement de la trajectoire d’un point P d’un palet sur la table à coussin d’air est représenté sur le schéma ci-dessous.

Le temps entre deux pointés est : τ = 40 ms.

Enregistrement :

enregistrement

1)- Calculer les valeurs des vitesses instantanées aux dates t2 et t4.

2)- Représenter les vecteurs vitesses instantanées à ces dates,

Échelle : 1 cm  ↔ 25 cm . s–1.

 

Correction de l'exercice 11 page 52 :

1)- Vitesses instantanées :

tracé

-  v2 = 0,21 m / s

tracé

-  v4 = 0,29 m / s 

2)- Représentation des vecteurs :

-  Échelle : 1 cm ↔ 0,25 m / s

-  Longueur des représentants :

-  v2 = 0,84 cm et v3 = 1,16 cm

 tracé

Haut

V- Exercice 23 : Mouvement circulaire uniforme.

Mouvement circulaire uniforme.

Un point mobile décrit une trajectoire circulaire de rayon r = 5,0 cm ;

Sa vitesse angulaire est constante et égale à 4,7 rad. s–1,

1)- Représenter la trajectoire.

2)- Calculer la fréquence de rotation en tour par minute.

3)- Calculer la vitesse du point mobile en un point de sa trajectoire.

4)- Représenter le vecteur vitesse instantanée en deux points de la trajectoire.

Échelle : 1 cm ↔ 10 cm. s–1.

Mouvement circulaire uniforme.

Un point mobile décrit une trajectoire circulaire de rayon r = 5,0 cm ;

Sa vitesse angulaire est constante et égale à 4,7 rad. s–1,

1)- Représenter la trajectoire.

2)- Calculer la fréquence de rotation en tour par minute.

3)- Calculer la vitesse du point mobile en un point de sa trajectoire.

4)- Représenter le vecteur vitesse instantanée en deux points de la trajectoire.

Échelle : 1 cm ↔ 10 cm. s–1.

Correction de l'exercice 13 page 52 :

1)- Trajectoire.

schéma

2)- "Fréquence" de rotation en tr / min :

-  la fréquence de rotation représente le nombre de tours par seconde :

- pulsation et fréquence

- f = 0,748 Hz  

- Nombre de tours par minute : N = 60 f

-  N ≈ 44,9 tr / s

3)- vitesse linéaire du point mobile de la trajectoire.

-  v = ω . R

-  v ≈ 4,7 ×  5,0 × 10 – 3

-  v ≈ 0,24 m / s

4)- représentation : v = 2,4 cm.

 schéma

Haut

VI- Exercice 16 : Vitesse d'un foret

Vitesse d'un foret

Un foret de 50 mm de diamètre tourne à la vitesse de 200 tr.min–1.

1)- Quelle est sa vitesse angulaire en 4,7 rad. s–1.

2)- Déterminer la période T et la fréquence f de ce mouvement.

3)- Calculer la vitesse circonférentielle, c’est-à-dire la vitesse d’un point de la périphérie du foret.

Vitesse d'un foret

1)- Vitesse angulaire.

-  On peut considérer que N = 200 tr / min représente la vitesse de rotation.

- Vitesse angulaire : 20,9 rad / s

2)- Période et fréquence :

- T = 0,30 s et f = 3,3 Hz 

3)- Vitesse circonférentielle, vitesse d'un point de la périphérie du foret.

- v = ω . R

- v ≈ 20,9 × 25 × 10 – 3

- v ≈ 0,52 m / s

Haut

VII- Exercice 18 : Vitesse de la lumière – Vitesse du son.

 

Vitesse de la lumière - Vitesse du son.

Au cours d’un orage, la foudre s’abat sur un arbre situé à 900 m d’un observateur.

Entre sa vision de l’éclair et sa perception du tonnerre, s’écoule une durée Δt.

1)- Parmi les valeurs suivantes, quelle est la vitesse de la lumière et celle du son :

3. 106 m.s–1 ; 3400 m.s–1 ; 3. 108 m.s–1 ; 340 m.s–1 

2)-

a)- en comparant les vitesses respectives de la lumière et du son,

proposer une hypothèse simplificatrice permettant de déterminer la valeur de Δt.

b)- Calculer la valeur de Δt.

 

 

Vitesse de la lumière - Vitesse du son.

1)- Vitesse de la lumière :

-  c = 3 × 108 m / s et vitesse du son : v = 340 m / s.

2)- On remarque que la vitesse de la lumière est très grande devant celle du son.

- Durée mise par l'éclair pour parvenir à l'observateur :

Δte

- Durée mise par le son pour parvenir à l'observateur :

Δts

- Durée entre la perception de l'éclair et celle du tonnerre  :  

Δt = ΔtsΔte

- Relation :

-  or Δte  << Δts 

- En conséquence :

-  Dt = 2,65 s


 
 

Haut