|
Phys
N° 11 :
|
|
|
|
I- Oscillateur élastique libre peu amorti.
1)- Caractéristiques des oscillations.
- Écarté de sa position d’équilibre et abandonné à lui-même, le solide S, en translation effectue des oscillations libres.
- Le mobile S se déplace sur coussin d’air et on peut considérer que les frottements sont négligeables.
- Le système {support - ressort - solide } constitue un oscillateur libre.
- L’étude de la variation de l’élongation x en fonction du temps t, x = f (t), montre que les oscillations sont sinusoïdales :
-
x =
xm cos (ω0
. t +
φ)
- xm : amplitude des oscillations ( mètre m)
- φ : phase à l’origine des dates ( radian rad)
- ω0 . t + φ : phase à l’instant t ( radian rad)
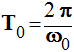
- ω0 : pulsation propre.
-
Remarque
:
la période propre est indépendante de l’amplitude
xm.
- L’amplitude xm et la phase φ à l’origine des dates sont liées aux conditions initiales.
2)- Raideur et tension d’un ressort.
- Un ressort à spires non jointives exerce une force proportionnelle à la longueur du déplacement de l’extrémité libre du ressort.

- O représente la position de l’extrémité du ressort à l’équilibre et M représente la position de l’extrémité du ressort lorsqu’il est excité.
- Tension exercée par le ressort sur le solide S :
- Expression vectorielle :
-
![]()
- Valeur de la tension : T = k . x
- k représente la raideur du ressort à spires non jointives en N / m,
- x représente l’allongement du ressort par rapport à sa position d’équilibre, en m,
- T représente la valeur de la tension en N.
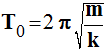
3)- Expression de la période de la période propre de l’oscillateur élastique.
a)- Période de l’oscillateur et masse du solide S.
- On conserve le même ressort et on fait varier la masse m du solide.
- On peut prendre m = 50 g et m = 100 g.
- On remarque que la période T0 augmente lorsque la valeur de la masse augmente.
- L’étude de la courbe T02 = f (m) montre que le carré de la période propre est proportionnel T0 à la valeur de la masse m.
-
.![]()
4)- Période et raideur du ressort.
- On conserve la même masse m mais on change le ressort.
- On prend des ressorts de différentes raideurs.
- La période T0 diminue lorsque la valeur de la raideur du ressort augmente.
-
L’étude de la courbe :
montre que le carré de la
période propre T0 est inversement proportionnel à la raideur
k du ressort .
-

b)- Analyse dimensionnelle.
- Conclusion :
-
- Montrer que cette relation a bien la dimension d’un temps.
-
a)- L’énergie mécanique du système S = { Terre – objet – ressort – support} :
-
EM = EP + EC
b)- L’énergie potentielle :
- Elle comporte deux termes,
- L’énergie potentielle de pesanteur : EPP = m . g . h + cte.
- Comme le pendule élastique effectue des oscillations horizontales, l’altitude du solide ne varie pas.
- En conséquence : EPP = cte.
- En prenant cette horizontale comme référence, on peut adopter : EPP = cte = 0.
- L’énergie potentielle élastique liée à la déformation du ressort.
- L’énergie potentielle élastique d’un ressort de raideur k est proportionnelle au carré de son allongement x.
-

c)- L’énergie cinétique.
- Dans le référentiel Terrestre, le système possède l’énergie cinétique suivante (on néglige la masse du ressort devant celle du solide) :
-
.
d)- Conservation de l’énergie.
- On néglige les frottements solides et les frottements fluides (résistance de l’air).
- L’énergie mécanique d’un oscillateur non amorti se conserve :
-

- Cette constante dépend des conditions initiales de lancement (vitesse et amplitude).
- Au cours des oscillations, il y a transformation mutuelle d’énergie cinétique en énergie potentielle (et inversement).
- Remarque le système étudié : S = { Terre – objet – ressort – support} est isolé (énergétiquement).
II- Le pendule simple peu amorti.
- Un pendule simple est constitué d’un objet sphérique de masse m suspendu à un fil inextensible de longueur ℓ.
- Remarque : la masse du fil est négligeable devant celle de l’objet.
- La longueur ℓ est grande devant celle de l’objet.
- Dans le cas contraire, on dit que le pendule est pesant.

a)- Étude à l’équilibre : exprimer la valeur de la tension T exercée par le fil sur l’objet de masse m.
- À l’équilibre, le solide de masse m est soumis à des forces dont les effets se compensent.
- Le centre d’inertie du solide est immobile, la réciproque du principe de l’inertie permet d’écrire que :
-
b)- étude lorsque le solide est en mouvement.
- On écarte le solide de sa position d’équilibre d’un angle θ0 < 10°.
- On laisse le pendule osciller librement et on fait une représentation à un temps t quelconque.

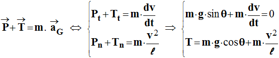
- Expression de la valeur de la tension T en fonction de θ, v, m et g à l’instant t.
- On travail dans le repère de Frenet :
-

- On donne les coordonnées de chaque vecteur force dans ce repère :
-
- Le théorème du centre d’inertie permet d’écrire :
3)- Période propre et paramètres spécifiques.
- La période propre des oscillations de faibles amplitudes dépend :
- De la longueur ℓ du pendule simple
- De la valeur g du champ de gravitation.
- Les grandeurs ℓ et g sont des paramètres spécifiques.
- Remarque : la période propre T0 ne dépend pas de la masse m du solide.
-

- Considérons le système : S = { Terre – objet – fil – support} .
- Si l’on néglige la résistance de l’air, ce système est isolé du point de vue énergétique (il n’échange pas de travail, ni de chaleur avec le milieu extérieur).
- Son énergie mécanique se conserve, elle reste constante.
-
EM = EP + EC = cte
- énergie cinétique : dans le référentiel terrestre le mobile se déplace à la vitesse v :
-

- Energie potentielle : l’altitude du centre d’inertie de l’objet varie au cours du temps.
- L’énergie potentielle du système S varie au cours du temps : EP = m . g . h + cte.
- En adoptant comme niveau de référence, le plan horizontal contenant la position d’équilibre du point G de l’objet.
-

- Durant les oscillations, il y a transformation mutuelle d’énergie cinétique en énergie potentielle.
III- Oscillations libres amorties.
- Les oscillations d’un pendule élastique ou d’un pendule simple s’amortissent et finissent toujours par disparaître.
- Il y a toujours des frottements.
- Les frottements dus à l’air (à un gaz ou à un fluide) sont des frottements fluides qui produisent un amortissement fluide.
- Lorsque l’amortissement n’est pas trop important, le mouvement est dit pseudo-périodique : T ≈ T0 mais T > T0.
|
oscillations libres non amorties. Régime périodique
|
oscillations libres peu amorties : R < RC Régime pseudo-périodique : ω <
ω0
et
ω ≈ ω0
|
|
oscillations libres amorties : R < RC. Régime ‘’pseudo-périodique’’, mais :
ω < ω0
|
Régime critique : R = RC
|
|
Régime apériodique : R > RC
|
Régime apériodique : R >> RC
|
Simulation avec le tableur Excel

Oscillations libres (compressé)
- La durée au bout de laquelle les oscillations ont pratiquement disparus est donnée par la relation : Δt = Q . T0.
- Q représente le coefficient de qualité caractéristique de l’oscillateur.
- L’amplitude des oscillations décroît linéairement au cours du temps.
- Si l’amortissement est trop grand, on n’observe plus d’oscillations.
- Le mouvement n’est plus oscillatoire.
|
|
|
|