| 
		Chim N° 05 :   
 
		 | 
 | 
|  | 
I- Classification cinétique des réactions naturelles.
- Une réaction est rapide si sa durée est très inférieure à la seconde.
- Exemples : les réactions de précipitations sont généralement rapides, de même des réactions acido-basiques sont des réactions rapides.
		Ag
		
		+ (aq) 
		+  Cl 
		– (aq) 
		→  AgCl 
		(s)
- Le précipité blanc apparaît immédiatement : la réaction est instantanée.
- Une réaction est lente si sa durée est de l'ordre de quelques secondes à plusieurs minutes.
- On peut observer l'évolution de la réaction.
- Exemples : réaction entre l'eau oxygénée et les ions iodure.
- Expérience : cette expérience sera étudiée lors d'une séance de travaux pratique. La réaction est lente à température ambiante.
- Le milieu réactionnel se teinte en jaune brun au cours du temps.
3)- Réaction infiniment lente.
- Une réaction est infiniment lente si sa durée est de l'ordre de plusieurs jours à plusieurs semaines.
- Exemple : solution aqueuse de permanganate de potassium pour un peu réviser.
- Étude de la réaction :
| 
					
					 Mn O4 –
					(aq) / Mn O2 
					(aq) | 
					
					 E01 = 1,69 V | 
| 
					
					 O2 (aq) / H2
					O (l)  | 
					
					 E02 = 1,23 V | 
- écrire les demi-équations électroniques et écrire l'équation bilan de la réaction naturelle.
- On utilise la méthode suivante :
- On équilibre l'oxygène avec de l'eau, l'hydrogène avec H+ et les charges avec les électrons.
| (MnO4
					– (aq)  
					+  4 
					H
					+(aq) 
					+  3 
					e
					
					–
					 = 
					MnO2 (aq)  
					+  2 H2O
					(l)  
					) x 
					4 | 
|   
					 (H2O (ℓ)  
					 =  O2
					(aq)  +  
					4 H 
					+(aq)   
					+ 4 e
					–
					 ) 
					x
					
					3 | 
|  
					MnO4
					– (aq)  
					+   2  H2O
					(ℓ) 
					→  4 MnO2 (aq)  
					+  3 O2 (aq)
					   +  
					4 HO
					
					– (aq)  | 
		  
- L'apparente stabilité de la solution provient de la grande lenteur de la réaction naturelle.
II- Étude expérimentale de la cinétique d'une réaction chimique. (TP chimie N° 7).
1)- Les techniques du suivi de l'évolution de la réaction.
a)- Introduction :
- Le suivi de la réaction peut se faire de deux façons :
- Par dosage (dosage acido-basique ou dosage d'oxydoréduction).
- Par spectrophotométrie.
b)- Le dosage :
- il faut arrêter la réaction à un instant quelconque t.
- Pour ce faire, on réalise la trempe du mélange réactionnel, c'est-à-dire que l'on refroidit brutalement le mélange réactionnel pour bloquer la réaction.
- On réalise le dosage d'un des réactifs ou d'un des produits à l'aide d'une solution titrée.
- Ainsi, on peut connaître la quantité de matière d'un des réactifs ou d'un des produits à un instant donné.
c)- La spectrophotométrie :
		- 
		On utilise cette méthode en cinétique 
		chaque fois qu'un réactif ou un produit absorbe sélectivement la lumière.
		
		
		- 
		Lorsqu'il se forme du diiode au cours de 
		la réaction entre les ions iodure et l'eau oxygénée, le mélange 
		réactionnel change de couleur au cours du temps.
		
		
		- 
		On peut suivre l'avancement de la 
		réaction grâce à la variation 
		absorbance du mélange réactionnel et à la loi de 
		BEER-LAMBERT :
- Pour une lumière monochromatique de longueur d'onde λ qui traverse une substance S sur une longueur L, on utilise la relation suivante :
| A = ε . L . [S] | 
					A : absorbance | 
| 
					ε : coefficient 
					d'extinction en  
					mol
					–1.L.cm
					–1 | |
| 
					L : longueur de 
					la cuve en cm | |
| 
					[S] 
					concentration  
					en mol / L | 
- Exemple : Dans le cas du diiode :
- λ = 410 nm
- 
		ε = 
		1,8 x 104 mol 
		–1.L. 
		cm –1.
		
- Remarque : ε dépend de la longueur d'onde et de la température et de la substance).
- On peut écrire :
		- 
		
- L'absorbance est proportionnelle à la concentration.
III- Vitesse d'évolution d'une espèce chimique.
- Considérons la réaction naturelle suivante :
		
		α . A 
		+  
		β . B 
		→  γ . C 
		
		+  δ . D
- A et B sont les réactifs, C et D sont les produits et α, β, γ et δ sont les coefficients stœchiométriques.
- Pour connaître l'évolution d'une réaction chimique, il suffit de connaître à chaque instant la quantité de matière présente de l'une des espèces chimiques.
- Exemple : considérons la réaction chimique suivante.
- Au temps t = 0 s, on mélange 100 mL d'une solution de peroxodisulfate de potassium de concentration C1 = 0,05 mol / L et 100 mL d'une solution d'iodure de potassium de concentration C2 = 0,5 mol / L.
- Il se produit la réaction suivante :
| (S2O82
					
					– 
					(aq)  
					+  2 I– 
					(aq)  
					→   2  SO42
					– 
					
					(aq)     
					+   I2 (aq) | 
| Équation | 
					S2O82
					– 
					(aq) | 
					+ 2 I – 
					(aq) | → | 2
					SO4 
					2 -
					(aq) | +  
					 I2 (aq) | |
| État du système | Avancement | |||||
| État initial 
					(mol) | x = 0 | n1 | n2 | 0,0 | 0 ,0 | |
| Au cours de la transformation | x | n1 
					– x | n2 
					– 2 x | 2 x | x | |
| État final 
					(mol) | x = xmax | n1 
					– x max | n2 
					– 2 xmax | 2 xmax | xmax | |
		
- x est lié à « l’avancement de la réaction » : x ≤ n1 et 2 x ≤ n2
- Si par dosage, on détermine la concentration en diiode au temps t, on peut en déduire la quantité de matière x en diiode,
- puis les quantités de matière des espèces présentes dans le milieu réactionnel.
2)- Vitesse moyenne de formation d'un produit P.
| - On suit l'évolution de la quantité de matière d'un produit au cours du temps : -  np = 
					f (t). -  Par définition, la 
					vitesse moyenne de formation du produit P : -  
					 -  Cette vitesse est 
					un nombre positif et l'unité S.I : mol / s. - Elle est numériquement égale au coefficient directeur de la droite passant par les points M1 
					et M2 d'abscisses t1 et
					t2. 
					
					   | 
					
					   | 
3)- Vitesse moyenne de disparition d'un réactif R.
| -  On suit l'évolution 
					de la quantité de matière d'un réactif au cours du temps :  -  nR 
					= g (t). -  Par définition, la 
					vitesse moyenne de disparition du réactif R : - 
					 -  Cette vitesse est 
					un nombre positif et l'unité S.I : mol / s. -  Elle est 
					numériquement égale à l'opposé du coefficient  directeur de la droite passant par les 
					points M1 et M2 
					d'abscisses t1 et t2. | 
					
					   | 
4)- Vitesse instantanée de formation d'un produit P.
| - La vitesse instantanée v1(P) de formation du produit P à la date t1 est, par définition, la limite de la vitesse moyenne de formation de ce même produit 
					entre t1 et t2 quand 
					t2 tend vers t1. -  
					On écrit :  - Cette limite est égale à la valeur prise par la dérivée de la fonction np = f 
					(t) au temps t1.  -  
					On écrit :  - Graphiquement : cette vitesse est numériquement égale à la valeur du coefficient directeur de la tangente T à la courbe np = f (t) au point 
					M1 d'abscisse t1. | 
 | 
5)- Vitesse instantanée de disparition d'un réactif R.
| -  
					La vitesse instantanée v1(R) de 
					disparition du réactif R à  la date
					t1 est, par définition, la limite de la 
					vitesse moyenne  de 
					disparition de ce même réactif entre t1 et
					t2  quand 
					t2 tend vers t1. -  
					On écrit :  -  
					Cette limite est égale à l'opposée de la valeur prise par la  dérivée 
					de la fonction nR = g(t) au temps
					t1.  -  
					On écrit :  -  
					Graphiquement : cette vitesse est numériquement égale à  l'opposée 
					de la valeur du coefficient directeur de la tangente T 
					à  la courbe 
					nR = g(t) au point M1 
					d'abscisse t1. | 
 | 
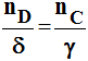
6)- Relation entre les vitesses.
- Équation bilan générale :
		
		α . A 
		+  
		β . B 
		→  γ . C 
		
		+  δ . D
		- 
		D'après le bilan molaire de la réaction :
		
		
- δ et g sont des constantes indépendantes du temps.
		- 
		
		
- On peut généraliser : ceci est valable aussi pour les réactifs :
		- 
		 
 
- Étude d'un exemple :
		- 
		 
7)- Cas particulier important. Vitesse volumique.
- Si le mélange réactionnel a un volume constant V au cours de la réaction, on peut dans ce cas suivre l'évolution de la réaction en travaillant avec les concentrations :
- nA = [A] . V avec V =cte.
		- 
		
- On parle alors de vitesse volumique de formation pour un produit et de disparition pour un réactif.
- On écrit :
- Vitesse moyenne :
		- 
		
- Vitesse instantanée :
		- 
		
-  
		Unités : dans le S.I : mol. 
		L–1. 
		S –1  
- 
		on utilise souvent : mol. 
		L–1.min
		–1
| -  
					Le temps de demi-réaction noté t ½ est défini par rapport à  l'un des 
					réactifs, en général celui qui est introduit par défaut. - 
					à la date t 
					= 0, la concentration initiale du réactif A est [A0].
   - Le temps de demi-réaction t ½ est la date pour laquelle : 
					 -  
					Détermination graphique : -  
					Remarque :
   - 
					t ½ dépend en général de la concentration initiale du 
					réactif A.  -  
					Le temps de demi-réaction n'est pas caractéristique de la substance
					A. -  
					Le temps de demi-réaction permet d’évaluer la durée  
					nécessaire à l’achèvement de la transformation chimique 
					étudiée. | 
 | 
		
		IV- 
		Applications : ex 5 page 33 ; ex 6 
		page33 ; ex 15 page 35.

		
		

		
| 
 | 
| 
 |