| Relativité du mouvement dans le sport. Cours. | 
 | 
| Mots clés : Cours de physique seconde Relativité du mouvement, Mouvement dans le sport, chronométrage, Statistique, moyenne arithmétique, écart, écart-type, chronométrage manuel, chronométrage électronique, référentiel, nature du mouvement, vitesse, trajectoire, , ... | 
|  | 
| 
	   a)- 
	  Exercice 5 page 242. Question de référentiel. b)- 
	  Exercice 6 page 242. La poursuite par équipe. c)- 
	  Exercice 7 page 244. Championnats du monde d’athlétisme. d)- 
	  Exercice 12 page 244. La photofinish. e)- 
	  Exercice 13 page 244. Prendre un bon départ. | 
En relation avec Phys. N° 04 La Relativité du Mouvement (à faire sous forme de TP)
- On choisi dans un premier temps, l’objet ou un ensemble d’objets dont on veut étudier le mouvement.
- On peut indiquer, la masse m de l’objet,
- Exemples : un cycliste, un bobsleigh, le ballon d’une gymnaste, un sprinteur,
2)- Choix du référentiel d’étude.
- Le référentiel Terrestre que l’on utilise pour les mouvements à la surface de la Terre.
- Avant toute étude, il faut préciser le référentiel d’étude.
- On associe un repère d’Espace lié à ce référentiel Terrestre.
- Le plus souvent on choisit le repère d’Espace qui permet de simplifier l’étude du mouvement du système choisi.
3)- La relativité du mouvement.
- Exemple : Course cycliste : le Tour de France.
- Un photographe a réalisé deux photographies d’une course avec le même appareil et les mêmes réglages.
- Dans un cas, il suit les coureurs dans une voiture avec la même vitesse v.
- Dans l’autre cas, il et immobile sur le trottoir.
  
 
				
- À quelle situation correspond chacune des photos ?
- La photo 1 correspond au cas où le photographe est immobile sur le trottoir.
- Le référentiel d’étude est le photographe, il est immobile par rapport à la Terre.
- Le référentiel dans ce cas est un référentiel terrestre.
- Les coureurs se déplacent à la vitesse v.
- Avec les réglages de l’appareil photo, ils apparaissent flous.
- Il faut dans ce cas raccourcir la durée de prise de vue.
- On peut remarquer que les autres spectateurs qui sont sur le trottoir et qui sont immobiles par rapport au photographe ne sont pas flous.
- La photo 2 correspond au cas où le photographe est dans une voiture ou sur une moto.
- Le référentiel d’étude dans ce cas est la voiture ou la moto.
- Avec les réglages de l’appareil, les cyclistes ne sont pas flous car ils sont immobiles par rapport à la voiture.
- Alors que les spectateurs qui sont sur le trottoir sont flous car ils se déplacent à la vitesse v par rapport à la voiture.
- Dans la première situation, l’appareil photo correspond à un référentiel terrestre.
- Suivant le référentiel d’étude, un objet dont on étudie le mouvement peut être immobile ou en mouvement.
► 1862 : chronographe à aiguilles, précision : 1/5e de seconde.
► 1912 : chronographe à aiguilles, précision : 1/10e de seconde.
- L’œil humain ne peut distinguer séparément deux évènements que s’ils sont séparés d’au moins 1/10e de seconde.
- C’est donc la meilleure précision que l’on peut obtenir avec un chronométrage manuel.
► 1902 : premiers enregistrements électriques précis au 1/100e de seconde.
- Ils sont utilisés aux Jeux de Los Angeles en 1932.
- Les performances restent affichées au 1/10e de seconde.
- La précision de l’enregistreur au 1/100e ne sert qu’à départager les coureurs qui arrivent dans le même dixième.
► 1952 : affichage au 1/100e de seconde au Jeux d’Helsinki.
- Les trois athlètes qui montent sur le podium ne sont séparés que de 4/100e de seconde.
► 1967 : Chronométrage au 1/1000e de seconde.
- En natation, la mise en place des plaquettes de touche à l’arrivée, couplées à une vidéo permet d’améliorer grandement la précision.
► 1968 : La photofinish :
- Le système deviendra officiel en 1968.
- Depuis 1973, on sait mesurer les records sportifs au 1/10000e de seconde
► 2000 : à Sydney, les caméras étaient capables de fournir en moins de 15 s :
- La photofinish du vainqueur,
- Son temps personnel,
- La vitesse du vent,
- Le temps de réaction au starter.
- Photofinish de la finale du 100 m des Jeux de 2008
Cliquer sur l'image pour l'agrandir
► Comment chronométrer le plus précisément possible la durée d’un parcours ?
- Pour simuler une descente en bobsleigh, on utilise une balle qui descend sur un plan incliné.
- La balle a été lâchée d’un point O sans vitesse initiale.
- On a tracé deux repères A et B sur le parcours.
				 Première méthode :
 
				Première méthode :  
				
On dispose d’un chronomètre manuel.
- On déclenche le chronomètre lors du passage de la bille devant le repère A et on arrête le chronomètre lorsque la bille passe devant le repère B.
- On réalise 10 fois la même expérience dans les mêmes conditions.
- On obtient les résultats suivants :
| N° | t (en s) | 
| 1 | 0,75 | 
| 2 | 0,69 | 
| 3 | 0,73 | 
| 4 | 0,78 | 
| 5 | 0,77 | 
| 6 | 0,76 | 
| 7 | 0,76 | 
| 8 | 0,73 | 
| 9 | 0,72 | 
| 10 | 0,82 | 
- Déterminer la valeur de la moyenne de ces mesures.
- Quel est l’écart maximal par rapport à la valeur de la moyenne.
- Déterminer la valeur de l’écart-type de cette série de mesures.
- Conclusions.
- Valeur de la moyenne arithmétique : tm ≈ 0,75 s et écart-type : σ ≈ 0,036 s
- 
				Moyenne arithmétique :
				
				
- 
				La moyenne arithmétique est le quotient de la 
				somme des valeurs x
				i par le nombre total de valeurs de la liste 
				est n.
- On écrit :
- Écart à la moyenne de chacune des valeurs :
- 
				Notation : l’écart à la moyenne de chacune des valeurs 
				est noté :  
				
| 
							x
							i | 
							0,75 | 
							0,69 | 
							0,73 | 
							0,78 | 
							0,77 | 
							0,76 | 
							0,76 | 
							0,73 | 
							0,72 | 
							0,82 | 
| 
							 | 0,751 | |||||||||
| 
							 | 
							0,0 | 
							-0,06 | 
							-0,02 | 
							0.03 | 
							0,02 | 
							0,01 | 
							0,01 | 
							-0,02 | 
							-0,03 | 
							0,07 | 
| 
							 | 
							 =SUM(b3:k3) 
							= 0,0 | |||||||||
| Qu’y a-t-il de particulier ? | L’écart à la moyenne est un nombre relatif. Cette grandeur est positive, négative ou nulle. | |||||||||
| Était-ce prévisible ? Pourquoi ? | La somme des écarts à la moyenne est égale à zéro. | |||||||||
| Les écarts à la moyenne sont des nombres relatifs. On pourrait utiliser les valeurs absolues. On préfère calculer les carrés des écarts à la moyenne. | ||||||||||
| 
 | 0 | 0,0036 | 0,0004 | 0,0009 | 0,0004 | 0,0001 | 0,0001 | 0,0004 | 0,0009 | 0,0049 | 
- On remarque que l’écart maximal est de 0,07 s par rapport à la moyenne.
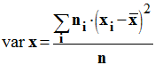
- La variance var est le quotient de la somme des carrés des écarts à la moyenne par le nombre n de l’effectif total.
- 
				
- Calculer la variance de l’échantillon.
- var ≈ 0,001169 s²
- var ≈ 0,0012 s²
- L’écart type σ :
- L’écart-type σ est égal à la racine carrée de la variance.
- L’écart-type caractérise la dispersion des valeurs.
- Affirmation :
-  En mathématique, on constate que 
				l’intervalle  
				 contient plus 
				de la moitié des valeurs de la liste.
 contient plus 
				de la moitié des valeurs de la liste.
- Valeur de l’écart-type :
- 
				
- L’expérience est réalisée plusieurs fois dans les mêmes conditions pour vérifier la reproductibilité et éviter les erreurs grossières.
- On remarque que les valeurs sont assez dispersées.
- On ne peut pas espérer atteindre une grande précision avec cette méthode.
- On peut l’améliorer en plaçant des repères pour mieux apprécier le passage devant A et B.
- Ici, on n’est plus limité par la précision du chronométreur que par la précision du chronomètre.
				 Deuxième méthode :
 
				Deuxième méthode :  
				
On dispose d’un chronomètre et de capteurs électroniques pour déclencher et arrêter automatiquement le chronomètre au passage de la balle en A et B.
- On réalise 10 fois la même expérience dans les mêmes conditions. On obtient les résultats suivants :
| N° | t (en s) | 
| 1 | 0,7555 | 
| 2 | 0,7553 | 
| 3 | 0,7555 | 
| 4 | 0,7556 | 
| 5 | 0,7553 | 
| 6 | 0,7556 | 
| 7 | 0,7555 | 
| 8 | 0,7557 | 
| 9 | 0,7555 | 
| 10 | 0,7553 | 
- Déterminer la valeur de la moyenne de ces mesures.
- Quel est l’écart maximal par rapport à la valeur de la moyenne.
- Déterminer la valeur de l’écart-type de cette série de mesures.
- Conclusions.
- La valeur moyenne tm ≈ 0,755 s.
- Avec un écart maximal de 0,0002s par rapport à la moyenne.
- Les valeurs sont beaucoup moins dispersées.
- L’écart-type σ ≈ 0,00013 s.
- La moyenne des valeurs, tm ≈ 0,755 s, peut être donnée avec davantage de chiffres significatifs.
- La mesure est plus précise.
- L’utilisation de capteurs électroniques permet de réduire l’erreur au déclenchement et à l’arrêt du chronomètre.
				III-  La description du mouvement.
- Dans un référentiel donné, la trajectoire d’un point du système étudié est l’ensemble des positions successivement occupées par ce point au cours du mouvement.
- La trajectoire d’un point du système étudié dépend du référentiel d’étude.
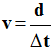
- Dans un référentiel donné, la valeur de la vitesse v d’un point du système étudié est définie par le rapport de la distance parcourue d par la durée Δt du parcours :
| 
 | d : représente la distance parcourue en mètres (m) | 
| Δt : représente la durée du parcours en secondes (s) | |
| v : représente la vitesse moyenne exprimée en m / s ou m.s –1 | 
- Dans un référentiel donné, les caractéristiques du mouvement d’un point du système étudié dépendent de la forme de la trajectoire et de l’évolution de la valeur de sa vitesse.
| Valeur de la vitesse Trajectoires | Augmente | Diminue | Reste constante | 
| Portion de droite | 
 Mouvement rectiligne accéléré | 
 Mouvement rectiligne retardé ou décéléré | 
 Mouvement rectiligne uniforme | 
| Portion de courbe | 
 | 
 | 
 | 
1)- QCM : Pour chaque question, indiquer la (ou les) bonne(s) réponse(s).
a)- Exercice 5 page 242. Question de référentiel.
b)- Exercice 6 page 242. La poursuite par équipe.
c)- Exercice 7 page 244. Championnats du monde d’athlétisme.
d)- Exercice 12 page 244. La photofinish.
e)- Exercice 13 page 244. Prendre un bon départ.
| 
 |