Controle N° 05C bis, correction, Terminale S,

 Contrôle N° 04

 Oscillateur idéal

 Oscillateur réel.

Correction

Énoncé

 

 
logo

I- Oscillateur idéal.

On étudie un oscillateur électrique idéal représenté figure ci-après :

circuit électrique

Il est constitué par :

Un condensateur de capacité C = 0,50 µF

Une bobine d’inductance L = 0.50 H

La résistance R du circuit est négligeable.

On charge le condensateur, la tension à ses bornes vaut :

uAB (t = 0) = U0 = 6,0 V.

Puis, à la date t = 0, on ferme l’interrupteur K.

 

1)- Soit q la charge de l’armature A du condensateur à l’instant t quelconque (t > 0).

a)- Écrire l’expression de la tension aux bornes du condensateur en fonction de q et C. (0.25 pt)

- Tension aux bornes du condensateur :

- tension aux bornes du condensateur

b)- Écrire l’expression de la tension aux bornes de la bobine en fonction de q, L et t. (0.25 pt)

Tension aux bornes de la bobine :

tension aux bornes de la bobine avec  intensité instantanée 

uAB

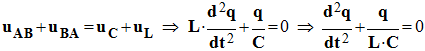
2)- Déduire de la question 1)- l’équation différentielle qui régit les variations de la charge q. (0.5 pt)

- Équation différentielle : on utilise l’additivité des tensions :

- équation différentielle

3)- L’équation différentielle admet une solution de la forme : solution

a)-  Que représentent les grandeurs Qm et T0 ? (0.5 pt)

- Les grandeurs Qm et T0 : ce sont des constantes.

- La grandeur Qm représente l’amplitude de la charge du condensateur (C).

- La grandeur T0 représente la période propre des oscillations.

b)- Le symbole φ représente la phase à l’origine des dates.

Vérifier que la valeur φ = 0 est en accord avec les conditions de l’étude. (0.25 pt)

- La phase à l’origine :

au temps t = 0 s, le condensateur est chargé la charge portée par l’armature A est positive et l’intensité du courant dans le circuit est nulle :

- Si φ = 0, alors : q (0) = Qm cos φ = Qm > 0 ; de plus :

- détermination des conditions initiales

- Cette valeur est bien en accord avec les conditions initiales.

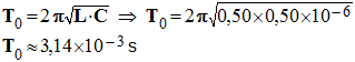
4)- Calculer la période propre des oscillations. (0.25 pt)

- Période propre des oscillations :

- T0 = 3,14 E-3 s

 haut

II- Oscillateur réel. Document

On réalise l’expérience expérimentale d’un oscillateur électrique constitué par un condensateur

de capacité C = 0,50 µF et une bobine d’inductance L = 0.50 H.

Soit R la résistance totale du circuit.

À l’aide d’une carte d’acquisition reliée à un ordinateur et d’un logiciel de traitement de données, on obtient le document suivant représentant :

- D’une part les variations de la tension uC aux bornes du condensateur en fonction du temps : ordonnée uC axe gradué à gauche.

- D’autre part les variations de l’énergie Emag emmagasinée dans la bobine en fonction du temps t : ordonnée Emag axe gradué à droite.

Dans la suite, on notera Eelec l’énergie emmagasinée dans le condensateur.

1)- Déterminer graphiquement la valeur de la pseudo-période T des oscillations. (0.25 pt)

- Valeur de la pseudo-période :

- T = x . b = 3,1 × 1

T ≈ 3,1 ms

 

2)- Déduire du graphique la valeur de la charge portée par l’armature A du condensateur au temps t = 0. (0.25 pt)

- Charge portée par l’armature A du condensateur :

- q = CuC

q (0) = CuC(0)

q (0) = Qm = 0,50 × 10 – 6 × 6,0

q (0) ≈ 3,0 × 10 – 6 C

3)- Pour l’instant  t1 = 2,4 ms indiqué sur le document, déterminer à partir du graphique :

a)- La valeur de l’énergie E1mag emmagasinée dans la bobine à l’instant t1 ; (0.25 pt)

- Énergie E1mag au temps  t1

-  Lecture graphique :

E1mag ≈ 7,2 × 10 – 6 J

 

b)- La valeur de l’énergie E1elec emmagasinée dans le condensateur à l’instant t1  (justifier) ; (0.25 pt)

- Énergie E1elec au temps  t1

-  Lecture graphique :

uC (t1) = 0 V

E1elec = 0 J

c)- La valeur de l’énergie électromagnétique E1 du circuit à l’instant t1  (justifier) ; (0.25 pt)

- Énergie électromagnétique au temps t1 :

E1 = E 1mag + E1elec

E1 ≈ 7,2 × 10 – 6 J

 

4)- Pour l’instant  t2 = 9,5 ms indiqué sur le document, déterminer à partir du graphique :

a)-  La valeur de l’énergie E2mag emmagasinée dans la bobine à l’instant t2 ; (0.25 pt)

- Énergie E2mag au temps  t2

-  Lecture graphique :

E2mag ≈ 0,0 J

 

b)-  La valeur de l’énergie E2elec emmagasinée dans le condensateur à l’instant t2 (justifier) ; (0.25 pt)

- Énergie E2elec au temps  t2

-  Lecture graphique : uC (t2) = 5,0 V :

-  valeur de E 2elec = 6,25 E-6 J

 

c)-  La valeur de l’énergie électromagnétique E2 du circuit à l’instant t2  (justifier) ; (0.25 pt)

- Énergie électromagnétique au temps t2 :

E2 = E2mag + E2elec ≈ 6,25 × 10 – 6 J

E2 ≈ 6, 3 × 10 – 6 J

5)- À partir du graphe, justifier la conservation ou la non-conservation de l’énergie électromagnétique du circuit.

Quel phénomène physique explique ces résultats ? (0.5 pt)

- Au cours du temps, l’amplitude de la tension aux bornes du condensateur diminue, de même, l’énergie diminue aux bornes de la bobine.

-  L’énergie électromagnétique diminue au cours du temps.

-  L’énergie est dissipée dans le circuit à cause de sa résistance R :

c’est l’effet joule.

 

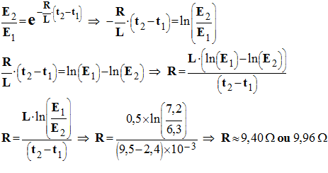
6)- On admettra la relation Relation (relation valable pour les amortissements faibles).

- Déterminer une valeur approchée de la valeur de la résistance R du circuit.(0.5 pt)

- Valeur de la résistance :

-  valeur de la résistance : 9,40 ohm

 

haut 

Document :

oscillogramme

Cliquer sur l'image pour l'agrandir

haut