| Chimie | Contrôle N° 04 1 h : correction | 
 | 
|  | 
| II - Réaction entre l'acide éthanoïque et l'eau . III - Réaction entre l'ammoniac et l'eau. IV - Évolution d'une mélange d'acide éthanoïque et d'ammoniac dans l'eau.. | 
| 
		  Données : -  Calculatrice autorisée et les mesures sont effectuées à 25
          °C. -  Acide éthanoïque / ion éthanoate : 
		  CH3COOH /
          
          CH3COO –
   :  
		  pKA1 
		  =
          4,7. -  Ion Ammonium / ammoniac : 
		   NH4 +
          / NH3  
		  :  
		  pKA2 
		  =
          9,2. -  Les couples de l’eau : 
		   
		  H3O +
          /  
		  H2O : 
		   
		  pKA3
          = 0 et  
		  H2O / 
		   OH –
          :  
		  pKA4
          = 14 -  Les questions 
		  I, 
		  II,
          
		  III
          sont indépendantes. | 
 
| 1)- Qu’appelle-t-on produit ionique de 
			  l’eau ? (0,25 pt) -  Produit ionique 
			  de l’eau -  La définition, le 
			  produit ionique de l’eau est donnée par la relation :   
			  -  Ke 
			  = [H3O +]eq  . 
			  [OH –]eq   -  Ceci est vrai 
			  pour toutes les solutions aqueuses.  -  Le produit 
			  ionique de l’eau est la constante d'équilibre de 
			  la réaction 
			  d’autoprotolyse de l’eau :  2
			  H2O  (ℓ) 
			  =    H3O + 
			  (aq)   +   
			  OH– (aq) 2)- Déterminer sa valeur à partir des données 
			  précédentes (0,25 pt) -  étude 
			  du couple : H2O / OH–
			   H2O
			  (ℓ) +    H2O (ℓ)  
			  =    H3O + 
			  (aq)   +   
			  OH– (aq)
   
			  -  KA4 
			  = Ke = [H3O +]eq  . [ OH 
			  –]eq    -  KA4 
			  = 1,0 
			  
			  × 10 -14   -  
			  pKA4 
			  = 14  | 
  II-
  Réaction de l’acide éthanoïque et de l’eau. 
  
  
| On introduit de l’acide éthanoïque pur dans de l’eau. On obtient une solution aqueuse S1 de volume V1 = 10 mL, de concentration C1 = 2,0 × 10– 2 mol / L. La mesure de la valeur du pH de la solution S1 donne pH = 3,2. 
 1)- Écrire l’équation de la réaction de l’acide éthanoïque avec l’eau. On note (1) cette équation. (0,25 pt) -  Équation de la réaction de l’acide éthanoïque avec l’eau. 
 2)- Tracer le diagramme de prédominance du couple acide éthanoïque / ion éthanoate en fonction du pH. En déduire l’espèce prédominante dans la solution S1. (0,5 pt) -  De la réaction précédente, on tire : -   -  Premier cas : si   
  - 
  
   -  Deuxième cas  : si   -   -  Troisième cas : si   -   - représentation sur un axe horizontal : couple CH3COOH / CH3COO– | 
  -  Dans le cas présent comme  
  pH = 3,2, 
  pH < 
  pKA1
  = 4,7, 
  
   -  
		  
  		c’est l’acide qui prédomine. 3)-
  Avancement de la réaction de l’acide éthanoïque avec l’eau. a)- Avancement final 
  x1f de la réaction de l’acide éthanoïque
  avec l’eau (0,5 pt) -  Avancement final :
	  
  
  
		   
  
   
	  
| 
		  Équation | AH (aq) + | H2O (ℓ) | = | A– (aq) | + H3O + (aq) | |
| 
		  état | 
		  Avancement 
		  x
          (mmol) | 
		  mol | 
		  mol |   | 
		  mol | mol | 
| 
		  État
          initial (mol) | 
		  0 | 
		  n1 = C1 . V1
           | excès |   | 0 | 
		  e | 
| 
		  Avancement 
		  final | 
		  x1f | 
		  n1 – x1f | 
		  excès | 
		  x1f | 
		  x1f | |
| 
		  Avancement 
		   maximal | 
		  x1max | 
		  n1 – x1max
          = 0 | 
		  excès |   | 
		  x1max | 
		  x1max | 
 
| -  x1f 
			  = [H3O +]eq . V1 
			  avec [H3O +]eq   
			  = 10 – pH mol / L   
			  -  x1f 
			  = 10 – pH . V1    
			  -  x1f 
			  ≈ 10– 3,2 × 10 
			  
			  × 10– 3    
			  -  x1f 
			  ≈ 6,3 
			  
			  × 10– 6 mol  b)- Comparer x1f et 
			  l’avancement maximal xmax (avancement qui serait atteint si la réaction 
			  était totale). (0,25 pt) -  L’avancement 
			  maximal est l’avancement qui serait atteint si la réaction entre
			  l’acide éthanoïque 
			  et l’eau était totale. 
			   -  L’acide 
			  éthanoïque qui est le réactif en défaut est alors complètement 
			  consommé.    -  x1max 
			  = n1 . V1    -  x1max 
			  ≈ 2,0 
			  
			  × 10– 2 × 
			  10 
			  
			  × 
			  10– 3    -  x1max 
			  ≈ 2,0 
			  
			  × 
			  10– 4 mol  c)- En déduire le taux d’avancement final 
			  τ1 de cette réaction. (0,25 pt) -  Taux d’avancement 
			  de la réaction :  - 
  
   d)- Le résultat est-il cohérent avec celui de 
			  la question 2)- ? Justifier. (0,25 pt) -  Il y a seulement 
			  environ 3,2 % de l’acide éthanoïque qui a réagi avec l’eau.  -  L’acide 
			  éthanoïque réagit peu avec l’eau.  -  L’espèce qui 
			  prédomine est bien l’acide éthanoïque.   -  Il reste 96,8 % 
			  d’acide éthanoïque. Il se forme 3,2 % d’ions éthanoate  -  La réaction entre 
			  l’acide éthanoïque et l’eau est une réaction limitée.  -  Il y a bien 
			  cohérence entre le taux d’avancement final et l’espèce 
			  prédominante.  | 
  III-
  Réaction entre l’ammoniac et l’eau. 
  
  
| 1)- Écrire l’équation de la réaction de l’ammoniac avec l’eau. On note (2) cette équation. (0,25 pt) 
 
 2)- Tracer le diagramme de prédominance du couple ion ammonium / ammoniac en fonction du pH. En déduire l’espèce prédominante dans la solution S 2. (0,5 pt) -  Pour étudier les domaines de prédominance, il faut travailler avec la
  réaction suivante : 
 -  De la réaction précédente, on tire : 
    -   -  Premier cas : si   - 
  
   -  Deuxième cas : si   -   -  Troisième cas : si   -   représentation sur un axe horizontal : couple NH4 + / NH3 | 
| -  Dans le cas présent comme  
  pH = 10,6, 
  pH > 
  pKA2 
  
  = 9,2, c’est l’ammoniac 
  		qui prédomine. 3)- Taux d’avancement final τ 2 de cette réaction. (0,5 pt) - Tableau d’avancement de la réaction : | 
| NH3 (aq) + H2O (ℓ) = HO– (aq) + NH4+ (aq) | (2) | 
| 
			  Équation | 
			  NH3
			  (aq)  + | 
			  H2O
			  (ℓ) | 
			  = | 
			  NH4+
			  (aq) | 
			  + HO– 
			  (aq) | |
| 
			  
			  état | 
			Avancement 
		  x (mmol) | 
			mol | 
			  mol | 
			  mol | 
			  mol | |
| État initial 
			  (mol) | 
			0 | 
			n2 
			= C2 . V2 | 
			  
			  
			  excès | 
			  0 | e | |
| 
			  Avancement 
			final | 
			x2f | 
			n2 
			– x2f | 
			
			excès | 
			x2f | 
			x2f | |
| 
			 Avancement 
		   maximal | 
		   x2max | 
		   n2 
		   – x2max 
		   = 0 | 
			 
			 excès | 
			 x2max | x2max | |
| -   -   - Seulement 4 % de l’ammoniac a réagi avec l’eau. - L’espèce chimique qui prédomine est bien l’ammoniac. - Il reste 96 % d’ammoniac dans l’eau. - Il se forme seulement 4 % d’ions ammonium. -  Ceci est en accord avec le taux d’avancement de la réaction. | 
 
  IV-
  Évolution d’un mélange d’acide éthanoïque et d’ammoniac dans
  l’eau. 
  
  
| On réalise une solution S de volume V = 20 mL en introduisant dans l’eau nA = 2,0 × 10– 4 mol d’acide éthanoïque et nB = 1,0 × 10– 4 mol d’ammoniac. On modélise la transformation qui a lieu par la réaction suivante : 
 1)- Calculer le quotient de réaction du système dans l’état initial : Qr, i. (0,5 pt) -  Quotient de réaction initial : -   - comme : [NH4+]i = [CH3COO –]i = 0 - Q r, i = 0 2)- Comparer Q r, i au quotient de réaction dans l’état d’équilibre Qr, éq. Que peut-on en déduire ? -  Valeur du quotient de réaction à l’équilibre : - 
  
   -  Comme  
  Q 
  r, i <
  
   K, la réaction s’effectue
  dans le sens direct. 3)- Exprimer Q r, éq en fonction de l’avancement final x3f de la réaction (on pourra s’aider d’un tableau). En déduire la valeur de l’avancement final x3f. La comparer à la valeur de l’avancement maximal x3max.(1 pt) | 
Tableau :  
| 
		  Équation | CH3COOH (aq) + | NH3 (aq) | = | CH3COO – (aq) | + NH4+ (aq) | |
| 
		  état | 
		  Avancement 
		  x 
		  (mol) |   |   |   |   |   | 
| État initial 
		  (mol) | 
		  0 | 
		  n1  = 
		   2,0 
		  
		  × 10 – 4
		  
           | 
		  n2  = 
		  
		  1,0 
		  
		  × 10 – 4  |   | 0 | 0 | 
| 
		  Avancement 
		  final | 
		  x3f | 
		  n1 – x3f | 
		  
		  n2 – x3f | 
		  
		  x3f | 
		  
		  x3f | |
| 
		  Avancement 
		   maximal | 
		  x3max | 
		  n1 – x3max
		   = 
		   
		  0 | 
		  
		  n2 – 
		  x3max
		   = 0 |   | 
		  
		  x3max | 
		  
		  x3max | 
  -  
  
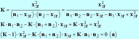
   -  On développe l’expression précédente : - 
  
   -  Il faut résoudre une équation du deuxième degré en 
   
   x3f. -  Remarque comme 
  
  K
  >> 1, 
  K
  – 1 ≈  
  K -   -  On calcule les différentes constantes : -   -  La résolution de cette équation donne deux solutions : 
		  { 
		  x1 = 
		  x3max 
		  ≈ 
          
          1,0
          
		  
		  ×
          10 – 4
		  mol 
		  x2 = 
		  x3max 
		  ≈ 
          2,0 
		  
		  
		  × 10 – 4
		  
          mol   -  La bonne solution est  
  x1 = 
  x3f 
  ≈ 
  1,0 
  
  
  × 10– 4
  
  mol
  car l’avancement final 
  d’une réaction ne peut pas être supérieur à
  l’avancement maximal.   -  Ici  l’ammoniac est le réactif limitant : 
    
  -  n2 
  – x3max 
  =
  0 -   n2 = 
		  
  x3max
   -  n2 = 
  x3max 
  ≈ 
  
  1,0 
  
  
  
  × 10 – 4
  mol 4)-
  La transformation du système peut-elle être considéré comme totale ?   
  à
  l’aide du bilan de matière dans l’état final, citer les espèces prédominantes
  		dans la solution 
  
  S.  
  Expliquer pourquoi la valeur du 
  pH
  de la solution 
  S
  est égale à 4,7. (0,75) -  La transformation peut être considérée comme totale car d’une part
  : 
   -  
  K
  > 10 
		  4
  et d’autre par car 
  -  x1 = 
  x3f 
  ≈ 
  
  1,0 
  
  × 10 – 4
  mol    
  ≈ x3max
  
   Tableau final 
   
	  
  
  
		   
  
   
	   
  
   
  
   
  
   
  
  
      
    
         
      
           
        
           
      
         
    
           
      
| 
		  Équation | CH3COOH (aq) + | NH3 (aq) | = | CH3COO– (aq) | + NH4 + (aq) | |
| 
		  état | 
		  Avancement 
		  x (mol) |   |   |   |   |   | 
| État initial 
		  
		  (mol) | 
		  0 | 
		  n1  = 
		  
		  2,0 
  		
		  × 10– 4  | 
		  n2  = 
		  
		  1,0 
		  
		  × 10– 4  |   | 
		  0 | 
		  0 | 
| 
		  État final | 
		  xf | 1,0 × 10– 4 | 
		  0 | 1,0 × 10– 4 | 1,0 × 10– 4 | |
| -  On remarque que : - n (CH3COO –) = n (CH3COOH) ≈ 1,0 × 10– 4 mol -  En conséquence : 
    -   |