contrôle N° 06 ter, correction, classe de Seconde,

Contrôle N° 06 ter

Gravitation.

De la Terre à la Lune.

Masse molaire, quantité de matière et volume.

Correction

Énoncé

 
 
logo

I- Gravitation.

Deux boules de pétanques, l’une de centre A et de masse mA = 650 g, l’autre de centre B et de masse mB = 810 g, sont posées sur le sol.

La distance entre leurs centres est d = 2,5 m.

On donne : G = 6,67 x 10 – 11 m 3 . kg – 1 . s – 2 et g = 9,8 N / kg.

 

1)- Faire un schéma légendé de la situation

- Schéma légendé de la situation :

schéma

Cliquer sur l'image pour l'agrandir 

2)- Donner l’expression de la force F de gravitation exercée par la boule A sur la boule B.

- Expression de la force F de gravitation exercée par la boule A sur la boule B :

-   force F de gravitation

3)- Calculer la valeur de la force F.

-  Valeur de la force F :

-  F = 5,6 E-12 N

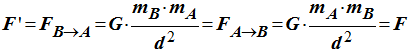
4)- La boule B exerce-t-elle une force de gravitation sur la boule A ? Si oui, donner la valeur F’ de cette force.

-  Expression de la force F' de gravitation exercée par la boule B sur la boule A :

-  Réciproquement, la boule B exerce une force sur la boule A :

-   expressions

II- De la Terre à la Lune.

1)- Donner l’expression de la valeur de la force de gravitation F exercée par la Terre sur un objet de masse m posé sur le sol.

On note : Masse de la Terre MT et rayon de la Terre RT.

- Expression de la valeur de la force de gravitation F exercée par la Terre sur un objet de masse m posé sur le sol :

- Schéma de la situation :

schéma

-  Force de gravitation F

2)- Donner l’expression du poids P de cet objet en fonction de sa masse m et de l’intensité gT  de la pesanteur terrestre.

- P = m . g T

3)- Sachant que F = P, donner l’expression de gT en fonction de G, RT  et MT.

-  Expression de gT :

-   expeession de g T

4)- Par analogie, en déduire l’expression de gL de l’intensité de la pesanteur à la surface de la Lune en fonction de G, RL  et ML.

- Expression de gL :

-   expression de g L

 

5)- L’intensité de la pesanteur à la surface de la Lune est six fois plus faible que l’intensité de la pesanteur à la surface de la Terre.

 Calculer la masse de la Lune.

- Masse de la Lune :

-   M L = 7,4 E22 kg

 

 

On donne : G = 6,67 x 10 – 11  m 3. kg – 1 . s– 2  ,

RT = 6380 km et MT = 5,98 x 10 24  kg , RL = 1740 km.

haut

III- Masse molaire, quantité de matière et volume.

Données :

Masses molaires atomiques :

M (C) = 12,0 g / mol ; M (H) = 1,01 g / mol ; M (O) = 16,0 g / mol ;

M (N) = 14,0 g / mol ; M (S) = 32,0 g / mol 

Nombre d’AVOGADRO : NA = 6,02 x 10 23 mol – 1.

Volume molaire dans les CNTP : Vm = 22,4 L / mol.

 

1)- Calculer la masse molaire des corps purs suivants : 

a)-  L’acide ascorbique (vitamine C) (C6H8O6).

- Masse molaire de la molécule d’acide ascorbique :

- M (C6H8O6) = 6 M (C) + 8 M (H) + 6 M (O)

- M (C6H8O6) ≈ 176 g / mol

b)-  La caféine : (C4H10O2N4).

-  Masse molaire de la molécule de caféine :

-  M (C4H10O2N4)  =  4 M (C) + 10 M (H) + 2 M (O) +  4 M (N)

-  M (C4H10O2N 4) ≈ 146 g / mol

c)-  Calculer la quantité de matière contenue dans m = 1,00 g de chacune de ces substances.

-  Quantité de matière d’acide ascorbique :

-  n (C6H8O6) = m (C6H8O6) / M (C6H8O6)

-  n (C6H8O6) = 1,00 / 176

-  n (C6H8O6) ≈ 5,68 x 10 – 3  mol

-  Quantité de matière de caféine :

-  n (C4H10O2N4)  = m (C4H10 O2N4/ M (C4H10O2N4)

-  n (C4H10O2N4)  = 1,00 / 146

-  n (C4H10O2N4)  ≈  6,85 x 10 – 3  mol

d)-  Calculer le nombre de molécules correspondant pour chaque substance.

-  Nombre de molécules d’acide ascorbique :

-  N (C6H8O6) = n (C6H8O6) . N A  

-  N (C6H8O6) = 5,68 x 10 – 3  x 6,02 x 10 23

-  N(C6H8O6) ≈ 3,42 x 10 21 molécules

-  Nombre de molécules de caféine :

-  N (C4H10O2N4) = n (C4H10O2N4) .NA  

-  N (C4H10O2N4)  = 6,85 x 10 – 3 x 6,02 x 10 23

-  N (C4H10O2N4) ≈ 4,12 x 10 21 molécules

2)- On remplit un flacon de volume V = 2,00 L de gaz diazote dans les conditions normales de température et de pression (CNTP).

a)-  Calculer la quantité de matière n (N 2) de diazote contenu dans le flacon dans les CNTP.

- Quantité de matière n (N 2) de diazote contenu dans le flacon dans les CNTP :

- n (N2) = V / V m

- n (N2) = 2,00 / 22,4

- n (N2) 8,93 x 10 – 2 mol

b)-  Calculer la masse m (N2) de diazote contenu dans le flacon dans les CNTP.

- Masse m (N2) de diazote contenu dans le flacon dans les CNTP :

- m (N2) = n (N2) . M (N2)

- m (N2) = 8,93 x 10 – 2  x 28,0

- m (N2) 2,50 g

c)-  Calculer le volume occupé par cette quantité de matière à 20 ° C et sous la pression de 1013 hPa.

Le volume molaire des gaz dans ces conditions est Vm = 24,4 L / mol.

- Volume occupé par cette quantité de matière à 20 ° C et sous la pression de 1013 hPa

- Vocc = n (N2) . V m

- Vocc = 8,93 x 10 – 2  x 24,4

- Vocc = 2,18 L

3)- L’éthanol est un liquide de formule (C2H6O) et de masse volumique ρ = 0,79 g / cm 3.

a)-  Calculer la masse molaire de l’éthanol.

-  Masse molaire de l’éthanol :

-  M (C2H6O) = 2 M (C) + 6 M (H) +  M (O)

-  M (C2H6O) 46,1 g / mol

b)-  Calculer la quantité de matière n d’éthanol contenue dans un volume V = 0,60 L d’éthanol.

-  Quantité de matière d’éthanol :

-   n = 10 mol

haut