Controle N° 02 ter , classe de seconde, correction

Contrôle N° 02 ter

Notre Galaxie.

Mesure d'une distance par visée.

La chimie autour de nous.

Caractéristiques physiques.

Correction

énoncé

   

 

 
logo

I- Notre Galaxie.

Notre Galaxie, la Voie Lactée peut être modélisée par un disque dont le diamètre D = 1,0 x 10 5 a .l. 

Le Soleil se situe à 2,5 x 10 4  a.l du centre de la Galaxie. ( 1 a .l = 9,46 x10 15 m )

1)- Donner la définition de l’année de lumière.

-  L’année de lumière : distance parcourue par la lumière en une année.

2)- Calculer, en km, le diamètre galactique D  ainsi que la distance dS du Soleil au centre de la Galaxie.

-  Diamètre galactique :  

-  D = 9,46 E17 km

-  Distance dS du Soleil au centre de la Galaxie  :  

-  d S = 2,37 E17 km

3)- Combien de temps met la lumière émise par le Soleil pour parvenir à chaque extrémité de la Galaxie  ?

-  Temps mis par la lumière pour parvenir aux extrémités :

-  Schéma :

schéma 01

Galaxie

Galaxie

 

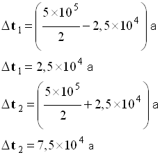
-  Distance d1 :

-  d1 = R - RS

-   d1 = 5,0 x 10 4   2,5 x 10 4

-   d1 2,5 x10 4  a.l 

-   En conséquence la durée pour parcourir cette distance est 

Δ t1 2,5 x 10 4  a.l

-  Distance d2 :

-  d2 = R + RS

-   d2 = 5,0 x 10 4  + 2,5 x 10 4

-   d2 7,5 x 10 4  a.l 

-   En conséquence la durée pour parcourir cette distance est 

Δt2 7,5 x 10 4  a.l

-  On peut utiliser la solution suivante :

-  Dt 2 = 7,5 E4 s

II- Mesure d’une distance par visée.

À l’aide d’un double décimètre, tenu verticalement à bout de bras, on vise avec un œil une porte-fenêtre d’un immeuble. 

À la distance d = 72 cm de l’œil, la hauteur visée est occultée par une portion de règle de dimension h = 4,1 cm. 

La hauteur de la porte-fenêtre mesure H = 2,10 m .

1)- Faire un schéma légendé de la situation décrite et indiquer les valeurs des différentes mesures. 

Tracer les rayons lumineux qui proviennent des extrémités de la porte-fenêtre.

-    Schéma :

schéma de la situation

Cliquer sur l'image pour l'agrandir

2)- Déterminer la distance D de l’œil à la porte-fenêtre. Justifier votre réponse.

-   Les droites (PM) et (P’M’) sont parallèles.

-   On peut appliquer le théorème de Thalès à la figure géométrique :

-    Thalès

-     D = 37 m

III- La chimie autour de nous.

1)- Donner la définition de l’expression suivante : espèce chimique. Citer trois espèces chimiques.

-    Un ensemble d’entités moléculaires, ioniques ou atomiques identiques constitue une espèce chimique.

-    Exemple : l’eau, le glucose, l’heptane (voir dans le sujet).

2)- Décrire un test permettant de mettre en évidence la présence de l’eau dans une solution.

-    Le sulfate de cuivre anhydre est une poudre blanche qui bleuit en présence d’eau. 

-   Ce test est spécifique de la présence d’eau.

-    Mode opératoire :

À l’aide d’une spatule, déposer un peu de sulfate de cuivre II anhydre dans une coupelle. 

-   Laisser tomber une à deux gouttes de produit à tester.

-    Résultat du test : le test est positif si la poudre blanche bleuit. 

-   Le test est négatif si la poudre blanche ne bleuit pas.

3)- Décrire un test permettant de mettre en évidence la présence de

sucre (glucose) dans une solution.

-    La liqueur de Fehling est un liquide bleu qui par chauffage en présence de certains sucres donne un précipité rouge brique. 

-   Ce test est spécifique de la présence de certains sucres (comme le glucose).

4)- On parle d’espèces chimiques : naturelles, synthétiques et artificielles. Pourquoi ?

-    Les espèces chimiques naturelles sont celles qui existent dans la nature.

-    Les espèces chimiques synthétiques sont préparées par l’Homme à l’aide de transformations chimiques.

Ces espèces existent dans la nature.

-    Les espèces chimiques artificielles sont des espèces chimiques synthétiques qui n’existent pas dans la nature.

5)- Faire un schéma annoté d’un montage d’entraînement à la vapeur (hydrodistillation).

Schéma :

entraînement à la vapeur (hydrodistillation)

Cliquer sur l'image pour l'agrandir

(1) Chauffe-ballon

(2) ballon

(3) Thermomètre

(4) réfrigérant à eau

(5) Arrivée et sortie d’eau

(6) Éprouvette graduée

(7) Mélange eau et fleur de lavande

(8) distillat

(essence de lavande qui surnage sur l’eau)

b)-   Indiquer le rôle de la vapeur d’eau produite au cours de l’ébullition.

-    La vapeur d’eau, entraîne les huiles essentielles contenues dans la fleur de lavande.

c)-   Indiquer le rôle du réfrigérant.

-    Le réfrigérant permet de refroidir et de condenser les vapeurs des gaz produits.

6)- Première étape : dans une ampoule à décanter, on introduit une solution aqueuse de diiode (jaune orangé)

puis délicatement une solution d’heptane (incolore).

a)-   Faire le schéma de l’ampoule lors de la première étape.

-    Schéma de l’ampoule :

ampoule à décanter

Deuxième étape : on agite et on laisse reposer.

b)-     Faire le schéma de l’ampoule à décanter.

ampoule à décanter

c)-   interpréter le phénomène observé.

-    Le diiode est plus soluble dans l’heptane que dans l’eau.

-   Il se retrouve principalement dans l’heptane.

d)-   Quelle technique d’extraction a-t-on utilisé ?

-    Au cours de cette opération, on a réalisé une extraction par un solvant.

haut

II- Caractéristiques physiques.

La masse, d’un volume V = 50 mL d’eau, est  m = 50 g .

Celle d’un volume V = 50 mL d’heptane vaut m1 34 g .

1)- Calculer les masses volumiques ρ0 et ρ1 des deux liquides.

Les exprimer en kg / m3.

-    Masse volumique de l’eau :

-    masse volumique de l'eau : 1,0 g / mL

-    Masse volumique de l’heptane :

-     masse volumique de l'heptane : 680 kg / m3

2)- Définir la densité d et calculer la densité d 1 de l’heptane.

-    La densité est le rapport entre la masse m’ d’un volume V d'une substance liquide ou solide

sur la masse m du même volume V d’eau.

-          d = 0,68

3)- La densité par rapport à l’eau du tétrachlorure de carbone est d = 1,59. 

Ce solvant est insoluble dans l’eau. La caféine du café est très soluble dans le tétrachlorure de carbone. 

Indiquer une méthode et le matériel nécessaire pour extraire la caféine du café. 

Faire un schéma légendé du matériel utilisé en indiquant la position de chaque phase.

-    On peut réaliser une extraction par un solvant, ici le tétrachlorure de carbone. 

-    On utilise une ampoule à décanter, un bécher et les solutions nécessaires :

-   la solution de café, le tétrachlorure de carbone.

-     Schéma :

schéma de l'ampoule à décanter

haut