Controle Commun N° 01C, Correction, Première S

Contrôle Commun   N° 01

L'acide nitrique.

Traitement de l'hypokaliémie.

Il ne faut pas perdre l'équilibre.

Les aventures d'un mobile autoporteur.

Correction

Énoncé

   

  

 
logo
 Exercice 1 : L’acide nitrique.

Une solution S d’acide nitrique a une densité d = 1,42. Son pourcentage massique a pour valeur P = 69,0 %.

1)- Déterminer la valeur de la concentration C de cette solution S.

-  Valeur de la concentration C de cette solution S :

-    C = 15,6 mol / L

2)- L’acide nitrique est constitué de molécules polaires. 

Écrire l’équation de dissolution de l’acide nitrique dans l’eau.

-  Équation de dissolution de l’acide nitrique dans l’eau :

HNO3 (ℓ)        →     H + (aq)   +    NO3   (aq)

HNO3 (ℓ)    + H2O (ℓ)    →      H3O + (aq)   +    NO3  (aq)

 

3)- À partir de cette solution S, on prépare par dilution, une solution S’ de concentration C’ = 2,00 mol / L. 

Déterminer la concentration molaire des ions présents dans la solution S’.

-  D’après le bilan de quantité de matière de la réaction considérée :

 

Eau

 

HNO3 (ℓ)

H + (aq)   +    NO3   (aq)

  n (HNO3) = n (H + ) = n (NO3 ) = C’ = 2,00 mol / L

4)- On fait réagir à température et pression constante un volume V’ = 50,0 mL

de la solution S’ avec une masse m = 0,960 g de magnésium (métal de formule Mg).

Un dégagement de dihydrogène a lieu. L’équation de la réaction chimique est la suivante :

Mg (s)        +   2 H +(aq)    →      Mg 2+(aq) +    H2 (g)

a)-   Déterminer les quantités de matière des réactifs.

-  Quantité de matière de magnésium métal Mg (s) :

-  n (Mg) = 4,00 E-2 mol

-  Quantité de matière d’ions hydrogène H +(aq) :

-  n (H + ) = [ H + ] . C

n (H + ) = 2,00 x 50,0 x 10 – 3

-  n (H + ) 10,0 x 10 – 2 mol

b)-   Établir un tableau d’avancement, déterminer l’avancement maximal xmax et en déduire le réactif limitant de la réaction.

-  Tableau d’avancement :

 

Équation

Mg (s) 

+   2 H +(aq)

Mg 2+(aq)  

+    H2 (g)

État du

 système

Avancement

mol

mol

 

mol

mol

État initial

x = 0

ni (Mg) =

4,0 x 10 – 2 

ni (H +) =

10,0 x 10 – 2 

0

0

Au cours de la

transformation

x

4,0 x 10 – 2  –  x

10,0 x 10 – 2 2 x

 x

 x

État final  

x = xmax

4,0 x 10 – 2  –  xmax

10,0 x 10 – 2 2 xmax

 

 xmax

 xmax

xmax = 4,0 x 10 – 2 

0,0

2,0 x 10 – 2 

 

4,0 x 10 – 2 

4,0 x 10 – 2 

-  Détermination de la valeur de xmax :

-  Si Mg (s) est le réactif limitant : 

4,0 x 10 – 2  –  xmax1 = 0

xmax1 4,0 x 10 – 2  mol

-  Si H +(aq) est le réactif limitant :

10,0 x 10 – 2  2 xmax2 = 0

xmax2 5,0 x 10 – 2  mol

-  Des deux valeurs possibles xx , on prend la plus petite :

xmax  = xmax1 4,0 x 10 – 2  mol

c)- Déterminer le volume V (H2) de dihydrogène dégagé sous la pression

P = 1,105 x 10 5 Pa et à la température q = 24 ° C.

-  Volume V (H2) de dihydrogène dégagé :

-  On utilise l’équation des parfaits : P.V(H2) = n.R.T

-  V (H2) = 893 mL

d)- Faire un bilan de matière et déterminer la concentration des ions présents en fin de réaction.

-  Bilan de matière : voir tableau d’avancement :

Équation

Mg (s) 

+   2 H +(aq)

Mg 2+(aq)  

+    H 2 (g)

État final

(mol)

xmax = 4,0 x 10 – 2 

0,0

2,0 x 10 – 2 

 

4,0 x 10 – 2 

4,0 x 10 – 2 

-  Concentration des ions magnésium en fin de réaction :

-  C (Mg2+) f = 0,80 mol / L

-  Concentration des ions hydrogène en fin de réaction :

-  C (H+) f = 0,40 mol / L

haut

 Exercice 2 : Traitement de l’hypokaliémie.

L’hypokaliémie désigne une carence de l’organisme en élément potassium ; 

Pour compenser rapidement cette carence, on peut utiliser une solution de chlorure de potassium injectable par voie intraveineuse : 

Le chlorure de potassium Lavoisier ® par exemple, est proposé en ampoules de 20,0 mL contenant m gramme(s) de KCl.

Pour déterminer cette masse m, on dispose d’une solution étalon S de chlorure de potassium de concentration = 10,0 mmol / L et d’un montage conductimétrique.

L’expérience est réalisée à 25 ° C.

1)- Pour étalonner la cellule conductimétrique, on prépare, à partir de S, 5 solutions filles.

a)-   Décrire le protocole expérimental permettant de préparer un volume V 2 = 50,0 mL d’une solution de chlorure de potassium

de concentration C 2 = 2,00 mmol / L, à partir de la solution S.

-  Préparation de la solution :

-  Il faut diluer la solution mère.

dilution

-  Au cours de la dilution, il y a conservation de la quantité de matière de soluté.

-  V = 10,0 mL

-  Mode opératoire : On verse de la solution mère S dans un bécher.

-  On prélève 10,0 mL de cette solution S à l’aide d’une pipette jaugée (10 mL) munie de sa propipette.

-  On les verse dans une fiole jaugée de 50,0 mL.

-  On ajoute de l’eau distillée aux ¾. On bouche, on agite pour homogénéiser.

-  On ajuste au trait de jauge avec une pissette d’eau distillée.

-  On bouche, on homogénéise : la solution fille est prête.

b)- Le tableau suivant fournit la conductance des différentes solutions :

Solution

S1

S2

S3

S4

S5

S

C

(mmol / L)

1,00

2,00

4,00

6,00

8,00

10,0

G  (mS)

0,280

0,560

1,16

1,70

2,28

2,78

-  Tracer la courbe G = f (C). Conclure. Échelle :

1 cm 0,5 mmol / L et 1 cm 0,2 mS

-  Courbe : G = f (C)

Courbe : G = f (C)

-  Conclusion : la conductance G est proportionnelle à la concentration de la  solution C : G = k . C.

-  On est en présence d’une fonction linéaire. La droite moyenne passe par l’origine.

2)- Exploitation :

a)-   On mesure, avec ce montage, la conductance de la solution de l’ampoule. 

On obtient la valeur Ga = 0,293 S. Peut-on déterminer la concentration en chlorure de potassium de l’ampoule injectable grâce à cette courbe ? 

Justifier la réponse.

-  La valeur de cette conductance Ga = 0,293 S = 293 mS n’apparaît pas sur la courbe d’étalonnage Ga >> Gmax.

-  On ne peut pas déterminer la valeur de la concentration à l’aide de la courbe d’étalonnage.

-  La solution contenue dans l’ampoule injectable est trop concentrée.

b)- Compte tenu des valeurs de Ga et GS, quel est le facteur de dilution minimal à utiliser ?

-  Pour pouvoir travailler dans le domaine de la courbe d’étalonnage, il faut diluer :

-  Dilution minimale : d min = 105 et dilution maximale : d max = 1046

-  Il faut diluer entre 100 et 1000 fois.

-  rapport = 100

-  La conductance de la solution de l’ampoule injectable est environ 100 fois supérieure à la valeur maximale de la conductance de la courbe expérimentale.

-  Il faut au moins diluer 100 fois la solution injectable pour pouvoir utiliser la courbe d’étalonnage.

3)- Le contenu de l’ampoule a été dilué 200 fois. La mesure de sa conductance donne : Gd = 1,89 mS. 

En déduire la valeur de la concentration. Cd de la solution diluée puis celle Ca de la solution de l’ampoule. 

Calculer la valeur de la masse m de KCl. Masse molaire du KCl :

M (KCl) = 74,6 g / mol.

-  La lecture graphique permet de donner la valeur de la concentration de la solution diluée :

-  Cd 6,75 mmol / L par le calcul et Cd 6,60 mmol / L ou Cd 6,70 mmol / L avec le tracé.

-  Concentration de la solution Ca = 200 Cd 1,35 mol / L ou Ca 1,32 mol / L ou   1,34 mol / L

-  Masse de KCl : m (KCl) = n (KCl) . M (KCl) = Ca . Va . M (KCl)

-  m (KCl) = 1,32 x 20 x 10 – 3 x 74,6

m (KCl) 2,01 g ou 1,97 g ou 2,00 g

4)- La cellule conductimétrique a pour surface S = 2,00 cm2 et pour distance entre les électrodes = 1,00 cm .

a)-   Déterminer la valeur de la conductivité s4  de la solution S4.

-  Conductivité s4  de la solution S4 :

-  Conductivité : 8,50 S / m

b)-   En déduire la conductivité molaire ionique de l’ion chlorure Cl

Donnée : conductivité molaire ionique de l’ion potassium : K + : λ (K + ) = 73,5 x 10 –  4 S.m2.mol– 1.

-  Conductivité molaire ionique de l’ion chlorure Cl.

-  Conductivité molaire ionique de l’ion chlorure : 68,5 E-4 S . m² /mol 

 

 Exercice 3 : Il ne faut pas perdre l’équilibre.

On considère deux sphères métalliques quasi ponctuelles A et B de même masse m :

schéma de la situation

-   La sphère A est suspendue à un fil inextensible attaché à un support ; La sphère A porte la charge électrique q :

-   La sphère B est au bout d’une tige isolante fixée sur un support ; La sphère B porte la charge électrique q’ négative.

-   Les centres des sphères A et B sont alignés horizontalement.

-   Les deux sphères sont en équilibre.

1)- Faire le bilan des forces s’exerçant sur la sphère A. Représenter ces forces en respectant

leur direction, leur sens et leur point d’application (on néglige l’action de l’air)

Échelle : 0,10 N 1,0 cm

-   Bilan des forces :

-   Choix du système : {sphère A}

-   Référentiel d’étude :

le support, référentiel terrestre supposé galiléen

 

Poids

vecteiur P

Point

d’application

Centre d’inertie G 

de la sphère A

bilan des forces

Direction

Verticale du lieu

passant par G.

Sens

Du haut vers le bas

valeur

P = m . g 0,50 N

Tension

du fil  

vecteiur T

Point

d’application

Point d’attache

du fil

Direction

Celle que

matérialise le fil

Sens

De A vers le support

valeur

T

force

électrique

vecteiur F

Point

d’application

Centre d’inertie G 

de la sphère A

Direction

La droite (AB)

Sens

De A vers B

valeur

F

2)- Déterminer graphiquement : la valeur de la tension du fil et la valeur de la force d’interaction électrique.

-  Le système est en équilibre et on travaille dans un référentiel galiléen. 

-  D’après la réciproque de la première loi de Newton : la réciproque de la première loi de Newton

-  Détermination graphique : échelle : 0,10 N 1,0 cm

 schéma du bilan des forces

3)- En déduire la valeur de la charge q’ portée par la sphère B.

-  Valeur de la charge q’ portée par la sphère B :

-  q' = 7,8 E-7 C

Données : m = 50,0 g : g = 10 N / kg ; q = 0,60 μC ; AB = 10,0 cm ;

 constante électrique k = 9,0 x 10 9  S.I et α = 40,0 °.

 Exercice 4 : Les aventures d’un mobile autoporteur.

On réalise l’expérience suivante au lycée : un mobile autoporteur, attaché à un ressort dont une extrémité est fixe,

est lancé sur une table plane et horizontale.

L’enregistrement des positions successives prises par le centre d’inertie G du mobile est représenté sur le document joint, à l’échelle ½. 

L’intervalle de temps entre deux positions consécutives est τ = 60 ms. On suppose que les frottements sont négligeables.

1)- Faire un bilan détaillé des forces extérieures exercées sur le mobile (on négligera la poussée d’Archimède due à l’air devant les autres forces).

-  Bilan des forces extérieures :

-  Choix du système : S = {mobile autoporteur}

-  Référentiel d’étude : la table, référentiel terrestre supposé galiléen.

Poids

vecteur P

Point d’application

Centre d’inertie G  de la sphère A

Direction

Verticale du lieu passant par G.

Sens

Du haut vers le bas

valeur

P = m . g 6,3 N

Réaction

du support

vecteur R

Point d’application

Centre de la surface de contact

Direction

Perpendiculaire  à la table car

les frottements sont négligeables

Sens

Du bas vers le haut

valeur

R

Tension

du ressort

vecteur T

Point d’application

Point d’attache

Direction

Axe du ressort

Sens

Du système vers le point O.

valeur

T

2)- Montrer que la résultante des forces extérieures exercées sur le mobile est égale à la tension du ressort .

-  Les forces vecteur P et vecteur R ont même direction et ont des sens contraires.

-  Comme le mobile se déplace dans un plan horizontal (ni il ne s’élève, ni il ne descend) : les deux vecteurs ont la même valeur :

-  Il découle de ceci que : vecteur nul

-  En conséquence : résultante des forces

3)- Déterminer les valeurs du vecteur vitesse du point mobile G, aux instants où le point G passe par les positions M8 et M10

Tracer les vecteurs vitesses correspondants sur le document 1 (échelle : 1 cm 0,10 m / s).

-  Valeur le la vitesse à l’instant t8.

-  v 8 = 0,40 m / s

-  Valeur le la vitesse à l’instant t10.

-  v 10 = 0,52 m / s

-  Tracé : longueur des représentants :  v8 4,0 cm et v10 5,2 cm

-  Construction des vecteurs.

 Méthode 1 et méthode 2

schéma 01

  Cliquer sur l'image pour l'agrandir

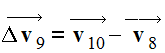
4)- Faire la construction nécessaire sur le document 2, pour déterminer la direction et le sens de la tension du ressort  lorsque G passe en M 9

Expliquer et justifier la construction et la réponse.

schéma 02

  Cliquer sur l'image pour l'agrandir

-  Construction de vecteur variation  du vecteur vitesse : vecteur variation  du vecteur vitesse

d’après la deuxième loi de Newton, à chaque instant, le vecteur vecteur variation  du vecteur vitesse a même direction et même sens que le vecteur résultant vecteur résultant.

-  La construction a partir des vecteurs vitesses vecteur v10  et vecteur v8 permet de trouver la direction et le sens de vecteur variation  du vecteur vitesse qui sont ceux de vecteut FR  et Vecteur tension du fil.

Donnée : g = 10 N / kg 

haut

Document à rendre avec la copie                                                                          Nom :

 

Document 1 :

document 01

  Cliquer sur l'image pour l'agrandir

Document 2 :

document 02

  Cliquer sur l'image pour l'agrandir

haut