controle N° 06 ac, correction, classe de première S

Contrôle N° 06

The Wave.

Une bille en chute libre.

Nomenclature.

Formule brute d'un gaz inconnu.

Correction

Énoncé

   

  

 
logo

I- The Wave.

The wave est une attraction présente dans certains parcs aquatiques.

Elle est constituée d’une rampe dont le point de départ est situé à une hauteur h = 8,0 m au-dessus du sol.

Morgane assise sur une bouée, se laisse glisser le long de la rampe.

Une pellicule d’eau assure une descente sans frottement sur la partie AB.

La masse de l’ensemble S = {bouée + Morgane} est égale à m = 60 kg.

On admet que le système S est équivalent à un solide en translation.

The Wave

Donnée : g = 9,81 N / kg

 

1)- Faire le bilan des forces s’exerçant sur le système S sur la partie AB.

-  Système : S = {bouée + Morgane} :

le poids vecteur P  et la réaction vecteur R du support.

2)- Donner les caractéristiques des forces s’exerçant sur le système S sur la partie AB.

Faire un schéma.

Force

vecteur P

vecteur R

bilan des forces

Point

d’application

G

Centre C

de la surface

de contact

Direction

Verticale

passant

par G

Perpendiculaire

au support

(les frottements

sont négligeables)

Sens

Haut

vers bas

Du support

vers le haut

Valeur

P = m.g

P ≈ 5,9 x 10 2 N

R =

3)- Le principe de l’inertie est-il vérifié ? Justifier.

-  Le principe de l’inertie n’est pas vérifié car résultante des forces , les deux forces n’ont pas la même direction.

4)- Énoncer le théorème de l’énergie cinétique.

-  Dans un référentiel galiléen, la variation de l’énergie cinétique d’un solide en mouvement de translation

entre deux instants tI et tF est égale à la somme des travaux des forces extérieures qui lui sont appliquées entre ces deux instants.

-  On écrit :

-  variation de l’énergie cinétique

5)- Déterminer la valeur de la vitesse v du système S au point B.

-  On peut utiliser le théorème de l’énergie cinétique en prenant comme référentiel, le sol ou The wave.

Instant tA

{

Position du

 système :

point A

...

Instant tB

{

Position du

 système :

point B

Vitesse du

Système :  

vA = 0 m/s

Vitesse du

Système :  

vB =

 

-  expression de vB

-  A.N :

-  vB = 12,5 m / s

6)- À quelle hauteur maximale h max sur la rampe BC, Morgane pourrait-elle s’élever en admettant que les frottements soient nuls ? Justifier.

-  Si les frottements sont nuls, l‘énergie mécanique du système se conserve :

-  Em = cte

EC + EP = cte

-  À l’altitude maximale atteinte, la vitesse s’annule.

Le système ne possède que de l’énergie potentielle :

-   Ep = m . g . zA = m . g . hmax = m . g . h

-   hmax = h

7)- En réalité, elle remonte qu’au point D situé à la hauteur h’ = 6,0 m.

a)-   Faire le bilan des forces s’exerçant sur le système sur la partie BC. Donner les caractéristiques des différentes forces.

-      On peut utiliser la représentation suivante :

Force

vecteur P

vecteur R

vecteur f

Point

d’application

G

Centre C

de la surface

de contact

Centre C

de la surface

de contact

Direction

Verticale

passant par G

Perpendiculaire

au support

Direction

du support

Sens

Haut

vers bas

Du support

vers le haut

Opposé

au mouvement

Valeur

P = m.g

P ≈ 5,9 x 10 2  N

R =

f =

schéma du bilan des forces

 

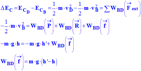
b)-   Calculer le travail des forces de frottements sur le trajet BC.

-  On peut utiliser le théorème de l’énergie cinétique en prenant comme référentiel, le sol ou The wave.

Instant tB

{

Position du

 système :

point B

...

Instant tD

{

Position du

 système :

point D

Vitesse du

Système :  

 expression de vB

Vitesse du

Système :  

vD = 0,0 m / s

 

-  expression du travail de f sur BD

-  A.N :

-  W BD (vecteur f) = - 1,18 E3 J

haut

II- Une bille en chute libre.

Une bille de masse m = 44 g,  est lancée verticalement vers le haut,

à une altitude h = 1,80 m, par rapport au sol, avec une vitesse v = 12 m / s.

Donnée : g = 10 N / kg

On considère que la bille est en chute libre (le poids est la seule force appliquée à la bille).

1)- Faire un schéma légendé de la situation.

-  Schéma :

schéma légendé de la situation

2)- Calculer la hauteur maximale hmax atteinte par la bille.

-  Hauteur maximale atteinte par la bille : une solution

-  Comme la bille est en chute libre, on va utiliser le fait que l’énergie mécanique du système S = {Bille, Terre} se conserve.

-  Position du problème :

point O origine des altitudes,

point A altitude de lancement de la bille et

point B altitude maximale atteinte.

-  Position du problème

-  En considérant les positions A et B et en utilisant le fait que l’énergie mécanique du système se conserve :

-  expression de h max

-  Altitude maximale atteinte :

-  

 

3)- Calculer l’énergie cinétique de la bille et l’énergie potentielle en prenant comme référence le sol lorsque la bille atteint sa hauteur maximale.

-  La bille se trouve au point B :

-  Son altitude est maximale : zB = hmax ≈ 9,14 m

-  Sa vitesse est nulle : vB = 0,0 m / s

Point B

{

Énergie Potentielle :

EPB = m . g . zB = 44 x 10–3 x 10 x 9,14

EPB ≈ 4,0 J

Énergie Cinétique :

 ECB = 0 J

 

4)- Calculer la valeur de la vitesse v de la bille lorsqu’elle retombe sur le sol.

-  On peut utiliser la loi de la chute libre :

-  v 0 = 13,4 m / s

III- Nomenclature :

Nommer les composés suivants :

1)- 2,2-diméthylbutane

2,2-diméthylbutane

2)- 2,2-diméthylpropane

2,2-diméthylpropane

3)- 2-méthylbutane

2-méthylbutane

4)- Écrire les différentes formules semi-développées de la molécule A dde formule brute : C5H12. Les nommer.

-  Les isomères du pentane :

Le pentane

Le pentane

2-méthylbutane

2-méthylbutane

ou isopentane

2,2-diméthylpropane

2,2-diméthylpropane

ou néopentane

 

5)- Écrire les formules semi-développées des composés suivants :

 

a)  2-méthylpropane.    

2-méthylpropane

b)  3-éthylpentane.

3-éthylpentane

c)  2,2-diméthylbutane.

  2,2-diméthylbutane


 d)  (Z) pent-2-ène.

(Z) pent-2-ène

 e)  (E) pent-2-ène.

  (E) pent-2-ène

 

haut

IV- Formule brute d’un gaz inconnu.

Un volume  VA  = 1,60 L de gaz renferme une masse mA = 3,712 g d’un gaz inconnu.

Dans les conditions de température et de pression,

le volume molaire du gaz est Vm  = 25, 0 L / mol.

1)- Déterminer la masse molaire MA  de ce gaz.

-  Masse molaire du gaz.

-  M A = 58,0 g / mol

2)- Ce gaz est un alcane non cyclique. Déterminer la formule brute de cet alcane.

-  La formule générale d’un alcane non cyclique est : CnH2n+2

-  On en déduit l’équation suivante :

-  14 n + 2 = M A

14 n + 2 =  58

n = 4

-  Formule brute : C4H10

3)- Recherche les formules semi-développées des différents isomères et les nommer.

-  Les formules semi-développées :

butane

Butane

2-méthylpropane

2-méthylpropane

-  On donne : M (C) = 12,0 g / mol et M (H) = 1,01 g / mol

haut