controle N° 05 ac, correction, , classe de première S,

Contrôle N° 05

Les acides et les bases.

L'expérience du jet d'eau.

Les aventures d'une valise.

Correction

   

 

 
logo
 

I- Les acides et les bases.

1)- Définir un acide et une base selon Brönsted.

-  Définitions :

-  Acide : entité chimique capable de céder un ou plusieurs protons.

-  Base : espèce chimique capable de capter un ou plusieurs protons.

 

2)- Donner la définition d’une réaction acido-basique.

-  Définition d’une réaction acido-basique :

-  Une réaction acido-basique est un transfert de protons entre :

-  un acide d’un couple acide / base

-  et une base d’un autre couple acide / base

 

3)- Les entités H3O+ et HO constituent-elles un couple acide / base ? Justifier votre réponse.

-  Les entités H3O+ et HO ne constituent pas un couple acide / base conjuguée.

-  L’ion H3O+ est l’acide du couple H3O+ / H2O et HO est la base du couple H2O /  HO.

 

4)- Identifier les formes acides et bases conjuguées parmi les entités chimiques ci-dessous.

 Préciser, pour chacun des couples, la forme acide et la forme basique :

HClO (aq)

HClO2  (aq)

H2PO3 (aq)

H3PO4 (aq)

ClO (aq)

H2PO4 (aq)

ClO2 (aq)

H3PO3 (aq)

HPO42– (aq)

 

5)- Quelle particularité possède l’ion H2PO4(aq) ? Comment nomme-t-on les entités chimiques qui possèdent cette particularité ?

-  Particularité de l’ion H2PO4(aq)

HClO (aq) /ClO(aq)

HClO2 (aq) /ClO2(aq)

H3PO3(aq) /H2PO3(aq)

H3PO4(aq) /H2PO4(aq)

H2PO4(aq) /HPO42 (aq)

-  L’ion H2PO4(aq) est l’acide d’un couple et la base d’un autre couple.

-  C’est une espèce amphotère ; c’est un ampholyte.

 

haut

II- L’expérience du jet d’eau.

On dispose d’un ballon de volume V = 500 mL rempli de chlorure d’hydrogène gazeux.

On introduit de l’eau dans le ballon et on obtient finalement une solution d’acide chlorhydrique de volume V1 = 300 mL.

1)- Donner la formule du chlorure d’hydrogène. De quel couple acide / base fait-il partie ?

-  Formule du chlorure d’hydrogène : HCl (g)

-  C’est l’acide du couple acide / base : HCl (ag) / Cl  (aq)

 

2)- Quel est le rôle de l’eau ? Quel est le couple de l’eau impliqué dans cette réaction ?

-  L’eau joue le rôle d’une base, elle capte un proton à la molécule de chlorure d’hydrogène.

-  Couple impliqué : H3O+ (aq) / H2O (ℓ)

 

3)- Écrire les demi-équations correspondant à ces deux couples acide / base. En déduire l’équation de la réaction.

Couple 1

                             HCl (g)   =     H+     +     Cl  (aq)

Couple 2

  H2O (ℓ)     +     H+            =     H3O+ (aq)     

Bilan

HCl (g)   +     H2O (ℓ)        →     H3O+ (aq)     +     Cl  (aq)

 

4)- Calculer la quantité de matière n de chlorure d’hydrogène gazeux présent dans le ballon au début de l’expérience.

-  Quantité de matière n de chlorure d’hydrogène gazeux :

-  quantité de matière de chlorure d'hydrogène

 

5)- Le réactif limitant est le chlorure d’hydrogène gazeux.

-  À l’aide d’un tableau d’avancement :

-  Faire un bilan de matière à l’état initial,

-  Déterminer la valeur de l’avancement maximal xmax de la réaction, et

-  Effectuer le bilan de matière à l’état final.

Tableau d’avancement et bilan de matière :

Équation

HCl (g)

+ H2O (ℓ)

H3O+ (aq)

Cl (aq)

État du

système

Avancement

État initial (mol)

x = 0

n ≈ 2,08 x 10 – 2

Excès

n’ ≈ 16,7

0

0

Au cours

de la

transformation

x

nx

Excès

x

x

État final

(mol)

x = xmax

nxmax = 0

Excès

xmax

xmax

(mol)

xmax

2,08 x 10– 2

0

Excès

2,08 x 10– 2

2,08 x 10– 2

 

-  Valeur de l’avancement maximal :

il est dit dans l’énoncé que le chlorure d’hydrogène est le réactif limitant.

En fin de réaction, il a totalement disparu.

-  On peut écrire :

n xmax = 0

n = xmax 2,08 x 10– 2 mol

6)- Calculer les concentrations molaires en ions oxonium [H3O+] et en ions chlorure [Cl ] dans l’acide chlorhydrique.

-  Concentrations molaires.

-  D’après le tableau d’avancement, on déduit que : [H3O+] = [Cl]

-   C (H3O+) = 6,93 E-2 mol / L

-  [H3O+] = [Cl] ≈ 6,93 x 10– 2  mol / L

-  Donnée : Dans les conditions de l’expérience, le volume molaire des gaz est :

Vm = 24,0 L / mol.

haut

III- Les aventures d’une valise.

Au service de tri des bagages d’un aéroport,

une valise de masse= 12 kg est posée au sommet d’un toboggan rectiligne incliné d’un angle α = 30 ° par rapport à l’horizontale.

La valise glisse vers le bas à vitesse constante.

On donne : g = 9,8 N / kg

1)- Faire le bilan des forces extérieures exercées sur la valise.

-  Référentiel d’étude : le toboggan référentiel terrestre supposé galiléen

-  Bilan des forces :

-  On peut considérer que la valise est soumise à trois forces :

le poids Vecteur Poids,

la réaction perpendiculaire au support Vecteur réaction du support et

la force de frottement force de frottement.

-  Caractéristiques des différentes forces :

Force

Vecteur Poids
Vecteur réaction du support force de frottement

Point

d’application

G

Centre C de la

surface de contact

Centre C de la

surface de contact

Direction

Verticale passant

par G

Perpendiculaire

au support

Direction

du support

Sens

Haut vers bas

Du support

vers le haut

Opposé

au mouvement

Valeur

P = m.g

R =

f =

  

2)- Faire un schéma de la situation à l’instant t.

-  Schéma à l’instant t :

schéma du bilan des forces

3)- Exprimer et calculer les travaux effectués (lorsque cela est possible) par les différentes forces

au cours du déplacement AB de longueur d = 6,0 m de la valise sur le toboggan.

-  Travaux effectués par les différentes forces au cours du déplacement AB :

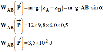
-  Travail du poids sur le chemin AB :

-   travail du poids sur le chemin AB

-  Travail de la réaction du support sur le chemin AB :

-   Travail de la réaction du support

-  Travail de la force de frottement sur le chemin AB.

-   Travail de la force de frottement

 

4)- Indiquer si le travail de chacune des forces est moteur ou résistant.

-  Le travail du poids Vecteur Poidsest moteur, le travail de la réaction Vecteur réaction du support est nul et le travail de la force  de frottement force de frottement est résistant.

5)- Quelle relation existe-t-il entre les forces extérieures exercées sur la valise. Justifier.

-  Relation entre les forces extérieures exercées sur la valise

-  résultante des forces FR

-  La valise est animée d’un mouvement rectiligne uniforme.

D’après la réciproque du principe de l’inertie, la somme vectorielle des forces extérieures appliquées à la valise est égale au vecteur nul.

-  En conséquence, le travail de la résultante des forces extérieures est nul.

 

6)- Quel est le travail de la résultante des forces extérieures exercées sur la valise ?

-  Or vecteur résultante FR

-  En conséquence, le travail de la résultante des forces extérieures est nul.

 

7)- Calculer la valeur de la force de frottement f supposée constante exercée sur la valise.

-  Travail de la force de frottement :

-   expression du travail de la force de frottement

-  Valeur de la force de frottement :

-  force de frottement f = 59 N

haut