controle N°02 bis, correction, classe de Première S

Contrôle  N° 02 bis

Mouvement d'un mobile autoporteur.

Un détartrant.

Correction

Énoncé

 

  

 
logo

Rédiger correctement. L’usage de la calculatrice est autorisé.

I- Mouvement d’un mobile autoporteur.

Un mobile autoporteur, placé sur une table horizontale est attaché par un fil à un point fixe O.

Le mobile est lancé fil tendu et décrit un mouvement circulaire.

Un dispositif permetd’enregistrer les positions successives du centre d’inertie à intervalles de temps constants τ = 40 ms.

chronophotographie du mouvement

Faire apparaître la construction au crayon gris

1)- Montrer que le mouvement du point M est uniforme.

 correction des questions  1) à 6).

2)- Calculer la vitesse du point M aux temps t2 et t5 aux passages respectifs par les positions M2 et M5.

Indiquer la méthode utilisée pour calculer ces vitesses.

3)- Tracer les vecteurs vitesses correspondant vecteur v2 et vecteur v5.

échelle : 1 cm 0,20 m / s.

4)- Les deux vecteurs vitesses sont-ils égaux ? Justifier.

5)- Définir et calculer la vitesse angulaire ω du mobile.

6)- Donner la relation liant la vitesse angulaire ω et la vitesse v du mobile.

En déduire la valeur de la vitesse angulaire à partir de cette relation.

La masse du mobile autoporteur est m = 536 g .

7)- Faire le bilan des forces s’exerçant sur le mobile à  l’instant t 2.

Faire un schéma de profil du dispositif à cet instant.

- Le solide est soumis à son poids vecteur P , à la réaction du support vecteur R  et à la tension du fil vecteur T .

  schéma du bilan des forces

Échelle : 2 N  1 cm .

8)-  Le principe de l’Inertie est-il vérifié ? Justifier.

- Le principe de l’inertie n’est pas vérifié car : 

- Si l’on fait la somme vectorielle des vecteurs forces appliquées au système, celle-ci est différente du vecteur nul : somme vectorielle = vecteur nul .

- Le principe de l’inertie n’est pas respecté. Le système est en mouvement non rectiligne uniforme.

II- Un détartrant.

Un flacon de volume V = 1,00 L d’une solution commerciale de détartrant porte les indications suivantes :

- Solution de chlorure d’hydrogène :

- pourcentage massique :

- P = 15,4 % ; densité d = 1,18.

1)- Calculer la masse m de 1,00 L de solution commerciale.

- Masse m de 1,00 L de solution commerciale.

- m = µ . V = d . µ0 . V = 1,18 x 1,00 x 10 – 3 x 1,00

- m 1,18 x 10 3  g

2)- En déduire la masse m1 de chlorure d’hydrogène contenu dans 1,00 L de solution commerciale.

- Masse m1 de chlorure d’hydrogène contenu dans 1,00 L de solution commerciale.

-  m1 = 182 g

3)- Donner la définition du titre massique tm et en déduire la valeur du titre massique de la solution commerciale.

- Titre massique de la solution commerciale et définition :

- Définition :

- On parle aussi de teneur massique ou de concentration massique.

- Le titre massique d’une espèce moléculaire A d’une solution est définie par la relation suivante :

relations

(8)

Þ  m(A) : Masse de l’espèce moléculaire A dissoute en g

Þ  V : Volume de la solution en L

Þ  t (A)  : Titre massique ou concentration massique en g / L

- Valeur du titre massique :

- t m = 182 g / L

4)- Donner la définition de la concentration molaire volumique.

Calculer la concentration molaire C de la solution commerciale.

Le chlorure d’hydrogène est un gaz à θ = 22 ° C et à la pression de p = 1,013 x 10 5 Pa.

- Définition :

- La concentration molaire d’une espèce chimique en solution est la quantité de matière de soluté présente dans un litre de solution.

- Relation :

C = n / V

(6)

Þ  n  : la quantité de matière de soluté en mol.

Þ  V  : le volume de la solution en L

Þ  C  : la concentration molaire  en soluté de la solution aqueuse en mol / L

- Valeur de la concentration :

-  C = 4,99 mol / L

5)- Calculer le volume V1 de chlorure d’hydrogène, à la température θ et à la pression de p,

qu’il a fallu dissoudre dans l’eau pour préparer la solution commerciale.

- Volume V1 de chlorure d’hydrogène :

- On utilise la relation des gaz parfaits :

- V 1 = 121 L

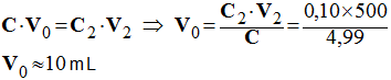
6)- On veut préparer un volume V2 = 500 mL de solution de chlorure d’hydrogène de concentration C2 = 0,100 mol / L.

a)-  Calculer le volume V0 de solution commerciale qu’il faut prélever.

- Volume nécessaire :

- Au cours d’une dilution, la quantité de matière de soluté se conserve.

- La solution de départ est appelée la solution mère et la solution diluée est appelée la solution fille.

dilution

- la quantité de matière de soluté présente dans la solution mère :

n0 = C.V0  (1)

- la quantité de matière de soluté présente dans la solution fille :

n2 = C2.V2  (2)

- Avec  n0 = n2.

- V0 = 10 mL

b)-  Indiquer le matériel et les solutions nécessaires à la préparation de la solution.

Faire un schéma légendé des différentes étapes de la manipulation.

- Matériel :  schémas détaillés  

- Fiole jaugée de 500 mL, pipette jaugée de 10 mL munie de sa propipette,

pissette d’eau distillée, bécher, gants et

lunettes (car la solution commerciale est très concentrée).

-  Solutions : solution commerciale et eau distillée.

- On verse un peu d’eau distillée dans la fiole jaugée (1/2)

- On verse un peu de solution commerciale dans un bécher.

- On prélève 10 mL de cette solution à l’aide de la pipette jaugée (10 mL) munie de sa propipette.

- On les verse dans la fiole jaugée de 500 mL.

- On ajoute de l’eau au ¾ et on homogénéise.

- On complète jusqu’au trait de jauge avec une pissette d’eau distillée et on mélange.

 La solution est prête.

Données :

Masses molaires atomiques en g / mol :

M (H) = 1,0 ; M (Cl) = 35,5  

R = 8,314 S.I  ;

masse volumique de l’eau : μ 0 = 1,00 x 10 3 kg / m3

g = 9,81 N / kg ;

haut