Contrôle N° 01, Correction, Première S,

Contrôle  N° 01

Réaction chimique

Le déboucheur

Un gaz presque parfait

Au niveau microscopique

Un homme de poids.

Un peu d'électrostatique

Correction

Énoncé

 

 
logo

Rédiger correctement. L’usage de la calculatrice est autorisé.

I- Réaction chimique.

Equilibrer les réactions suivantes :

1)-  3 NO2  +  H2O    2 HNO3  +  NO

2)-  4 Al  +  3 MnO2    2 Al2O3  +  3 Mn

haut

II- Le déboucheur.

On dispose d’une solution commerciale d’hydroxyde de sodium appelée soude.

Données : densité de la solution commerciale : d = 1,216 ;

masse volumique de l’eau µ 0 = 1,00 kg / L

Pourcentage massique d’hydroxyde de sodium (NaOH) : P(NaOHl) = 20 %.

1)- Calculer la masse m d’un volume V = 1,00 L de solution commerciale.

-  Masse de un litre de solution commerciale.

-  On note m la masse volumique de la solution commerciale :

-  Relation 1 : m = µ . V  et relation 2 : expression de la densité d

-  En combinant 1 et 2 :

-  m = µ0 . d . V

-  m = 1,00 x 10 3 x 1,216 x 1,00  

-  m = 1,22 x 10 3  g  ou m = 1,22 kg  

 2)- En déduire la masse m1 d’hydroxyde de sodium, dissoute dans le volume V de solution commerciale.

-  Masse d’hydroxyde de sodium :

-  Explication : On donne le pourcentage massique :

-  Il indique que 100 g de solution commerciale contient 20 g d’hydroxyde de sodium (NaOH). 

-  m 1 = 0,244 kg

3)- En déduire le titre massique tm et la concentration molaire C de la solution commerciale.

-  Titre massique de la solution de soude :

-  t m = 2,44 E2 g / L

-  Concentration molaire volumique :

- C = 6,1 mol / L 

  haut

III- Un gaz presque parfait.

Sous la pression p = 780 hPa et une température θ = 18,0 ° C, une masse m = 0,240 g de gaz occupe un volume V = 162 mL. 

On donne : R = 8,31 S.I.

1)- Calculer la quantité de matière n de ce gaz.

-  Equation d’état des gaz parfaits :

-   p . V = n  . R . T 

-  Quantité de matière de ce gaz :

-  n = 5,23 E-3 mol 

2)- En déduire la masse molaire M de ce gaz.

-  Masse molaire du gaz :

-  M = 45,9 g / mol

haut

IV- Au niveau microscopique.

On considère un atome d’azote dont le noyau a pour formule : N (14, 7).

1)- Donner la structure du noyau de cet atome.

-  Le noyau de cet atome est constitué de 7 protons  ( Z = 7) et de AZ = 8 neutrons

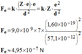
2)- Déterminer les valeurs des interactions gravitationnelle et électrique entre le noyau et

un électron de l’atome d’azote, sachant que la distance entre le noyau etl’électron considéré vaut d = 57,1 pm.

-  Masse du noyau : m noy  = Am n

-  Force gravitationnelle :

-  Force gravitationnelle

-  Force gravitationnelle F = 4,66 E-46 N

-  Force électrique :

-  force électrique

-  Fe = 4,95 E-7 N

-  La force gravitationnelle est négligeable devant la force électrique.

haut

V- Un homme de poids.

Un homme a une masse m = 80,0 kg et un poids P = 785,6 N au niveau de la mer. 

On considère que le poids est égal à la valeur de l’interaction gravitationnelle Terre-Homme. 

L’homme peut être considéré comme ponctuel par rapport à la Terre.

1)- Donner l’expression littérale de la force FG d’interaction gravitationnelle exercée par la Terre sur l’homme.

 -  Expression littérale de la force FG d’interaction gravitationnelle :

-  il faut utiliser les notations de l’énoncé

-  force FG d’interaction gravitationnelle

2)- En se basant sur les données, calculer la valeur de la constante gravitationnelle G. Indiquer l’unité de G.

-   Valeur de la constante gravitationnelle G

- Il est dit dans l’énoncé que FG = P.

G = 6,68 E-11 S.I 

- Unité : N . m2 . kg – 2

3)- Calculer la valeur du poids P’ de l’homme au sommet du Mont blanc

(h = 4809 m ).

Poids de l’homme au sommet du Mont Blanc :

P = 784 N 

-  On peut faire le calcul avec la valeur de G donnée dans l’énoncé :

P = 783 N 

 haut

VI- Un peu d’électrostatique.

On électrise par frottement une règle en verre puis on approche cette règle d’un pendule électrostatique.

1)- Décrire le phénomène observé et expliquer. (On peut faire des schémas)

pendule électrostatique et électrisation

-  Le pendule est attiré par la règle frottée avec de la laine.

Il s’électrise par influence. 

-  Il y a une nouvelle répartition des charges au niveau de la surface conductrice du pendule. 

-  La partie en regard de la règle de verre se charge négativement alors que la partie opposée se charge positivement. 

-  Cela est dû à un transfert d’électrons.

Si l’influence de la règle frottée cesse, l’électrisation par influence disparaît.

-  Globalement, le pendule est électriquement neutre, mais il est attiré par  la règle frottée car il y a en présence des charges de signe est contraire.

2)- On met ensuite la règle en contact avec le pendule. Qu’observe-t-on ?

Expliquer. (Idem)

-  Au cours du contact, il y a un transfert d’électrons du pendule vers la partie de la surface de contact de la règle de verre frottée

(le verre est un isolant électrique).

-  Le pendule se charge positivement (il a perdu des électrons) et globalement, la règle de verre reste chargée positivement.

-  Après contact, il y a répulsion car deux charges de même signe se repoussent.

pendule électrostatique et électrisation

haut