Le temps, exercices : correction, 2d07phc

Phys. N° 07

Le temps :

Exercices.

Correction.

Cours

 

Programme 2010 : Physique et Chimie

Programme 2020 : Physique et Chimie

 


Pour aller plus loin : 

Mots clés :

Le temps en physique ; les phénomènes périodiques ; la durée, la date ; l'instant ; le pendule simple ; le gnomon ; le cadran solaire ; les horloges ; ...

 

 
logo

I.  Exercice 3 page 133.haut

 

La clepsydre

clepsydre vase clepsydre

Cet instrument primitif fonctionnait à l’aide de liquides.

Déjà connu des égyptiens et des Grecs, elle servait à limiter le temps de parole des orateurs.

Comment fabriquer une clepsydre simplifiée avec une bouteille percée d’un petit orifice en son extrémité inférieure ?

On découpe une bande de papier millimétré de longueur correspondant à la partie de la bouteille qui a un diamètre constant.

On remplit d’eau la bouteille en bouchant le trou avec le doigt.

À partir d’une position initiale x = 0 du niveau de l’eau, on déclenche un chronomètre au moment où l’eau commence à couler,

et on relève les temps correspondant à certaines positions x du niveau de l’eau.

On obtient les résultats ci-dessous :

 

x (cm)

20

18

16

14

12

10

8

6

4

2

t (s)

0

23

47

73

101

131

164

202

247

320

1.  Calculer les durées mises par l’eau pour s’écouler de 2 cm au fur et à mesure de l’expérience.

Comment évoluent ces durées ? Rédiger une phrase décrivant le phénomène.

2.  À l’aide du dispositif précédent, expliquer comment fabriquer une horloge qui décompte le temps toutes les 30 secondes.

Un graphique pourra être utile pour répondre à la question.

3.  La photographie ci-dessus est celle d’une clepsydre de l’époque. Quel est l’intérêt de sa forme évasée ?

 


Correction

 

La clepsydre

1. Durées mises par l’eau pour s’écouler de 2 cm au fur et à mesure de l’expérience.

- On peut faire un tableau :

 

t1

t2

t3

t4

t5

t6

t7

t8

t9

t10

x (cm)

20

18

16

14

12

10

8

6

4

2

t (s)

0

23

47

73

101

131

164

202

247

320

Δt (s)

t2 -  t1

t3 -  t2

t4 -  t3

t5 -  t4

t6 -  t5

t7 -  t6

t8 -  t7

t9 -  t8

t10 -  t9

 

23

24

26

28

30

33

38

45

73

 

- On remarque que les durées sont de plus en plus grandes au fur et à mesure que l’eau s’écoule.

- Le débit de l’eau diminue lorsque le niveau de l’eau diminue dans la bouteille.

2. Fabriquer une horloge qui décompte le temps toutes les 30 secondes.

- On peut tracer le graphique x = f (t) :

graphe

- On peut repérer le niveau de l’eau dans la bouteille toutes les 30 s.

-  On peut même ensuite graduer directement en durée sur la feuille de papier millimétré.

- On peut présenter les résultats dans un tableau :

x (cm)

20

17,4

15

12,8

10,8

8,9

7,1

5,7

4,2

3,4

2,6

t (s)

0

30

60

90

120

150

180

210

240

270

300

3. L’intérêt de sa forme évasée : on a vu que pour la bouteille qui a une forme cylindrique au fur et à mesure que le niveau de l’eau diminue,

le débit de l’eau diminue aussi.

-  L’intérêt d’une forme évasée et de faire en sorte que le débit de l’eau reste le même lorsque le niveau de l’eau diminue dans la clepsydre.

-  Ainsi on peut faire en sorte que le niveau de l’eau varie proportionnellement au temps.

 

 

 

II.  Exercice 5 page 134.haut

 

Sur les pas de Galilée

On étudie un pendule constitué d’une sphère en cuivre, de petite dimension, accrochée par un fil à une potence.

On cherche à montrer l’influence de la longueur  du fil sur la période T.

On recueille les résultats ci-après.

 (m)

0,20

0,30

0,35

0,40

0,45

0,50

0,55

0,60

0,80

1,10

1,30

T (s)

0,90

1,10

1,19

1,27

1,35

1,42

1,49

1,55

1,79

2,10

2,28

1.  Exploitation des mesures :

a.  La période est-elle proportionnelle à la longueur du pendule ?

b.  On remplace, pour le pendule de longueur  = 0,50 cm , la sphère en cuivre par une sphère en plomb de même dimension.

On refait les mesures. La période du nouveau pendule est-elle plus grande ? Plus petite ?

Ou bien égale à celle réalisé avec une sphère de cuivre ?

2.  Exploitation du graphique :

a.  Sur papier millimétré, tracer la courbe T () :  est en abscisse et T en ordonnée.

b.  Montrer qu’elle confirme la réponse à la question 1. a .

3.  On cherche à fabriquer un pendule qui batte la seconde, c’est-à-dire un pendule dont la demi-période est égale à 1 s.

En utilisant le tracé de la courbe tracée, indiquer comment procéder.

4.  Une horloge à balancier est constituée d’une tige sur laquelle coulisse un disque de masse m dont le centre

est à la distance  de l’axe de rotation de la tige. 

En première approximation, cette horloge peut être assimilée à un pendule simple de longueur et de masse m.

L’horloge « retarde ». Faut-il monter ou descendre le disque pour qu’elle soit exacte ?


Correction

 

Sur les pas de Galilée

1. Exploitation des mesures :

a. Période et longueur du pendule :

-  Si la période est proportionnelle à la longueur du pendule, on peut écrire que T = k . .

-  Plus simplement, si la longueur est multipliée par deux, alors la période est multipliée par deux.

 (m)

0,40

0,80 = 2 x 0,40

T (s)

1,27

1,79 ≠ 2 x 1,27

-  On remarque que ce n’est pas le cas

- La période T d’un pendule simple n’est pas proportionnelle à la longueur du pendule.

b. Influence de la masse m de la sphère sur la période T.

- La période T d’un pendule simple ne dépend pas de la masse m.

- Pour un pendule simple, période du pendule simple

2. Exploitation du graphique :

a. Tracé de la courbe T = f ().

graphe

Cliquer sur l'image pour l'agrandir

b. Relation entre T et .

- Les points ne sont pas alignés.

-  Le tracé montre que l’on n’obtient pas une droite.

-  Il n’existe pas une relation simple entre T et  .

-  La période T n’est pas proportionnelle à la longueur  du pendule simple.

3. Longueur du pendule qui bat la seconde.

- La période d’un tel pendule vaut : T = 2,0 s.

- Sur le graphique, on peut repérer la longueur d’un tel pendule simple :

graphe exploitation

Cliquer sur l'image pour l'agrandir

- La longueur du pendule : = 1,00 m

4. Déplacement du disque :

- Il est dit dans le texte que l'horloge « retarde ».

-  Si elle retarde, sa demi-période est supérieure à une seconde.

-  Il faut diminuer la période du pendule.

-  Comme la période augmente avec la longueur, il faut diminuer la longueur du pendule.

Il faut monter le disque.

-  Cela aura le même effet que de diminuer la longueur du pendule simple correspondant.

III.  Exercice 10 page 135.haut

 

L’oscilloscope pour mesurer le temps

Comparer les périodes et les fréquences des signaux représentés sur les oscillogrammes 1 et 2  ci-dessous,

l’oscilloscope étant réglé de la même façon.  

oscillogramme

oscillogramme

Correction

L’oscilloscope pour mesurer le temps

Comparaison des périodes et des fréquences des signaux représentés sur les oscillogrammes 1 et 2 :

- Oscillogramme 1 : T 1 = x . => T 1 = 5 b.

exploitation oscillogramme

- Oscillogramme 2 :

- 3 T 2 = x . => 3 T 2 = 6 b  => T 2 = 2 b.

exploitation oscillogramme

- On tire que : relation 01

- La période de l’oscillogramme 1 est plus grande que la période de l’oscillogramme 2.

- Pour les fréquences, c’est l’inverse car : T = 1 / f

- relation 02

- La fréquence de l’oscillogramme 1 est plus petite que la fréquence de l’oscillogramme 2.

 

 

IV.  Exercice 11 page 135.haut

 

Une horloge électronique

Les photographies ci-dessous présentent :

-  L’oscillogramme d’un signal délivré par une horloge électronique ;

-  Le bouton de réglage de l’oscilloscope utilisé pour obtenir cet oscillogramme.

À partir de ces photographies, déterminer :

2.  La période de la tension visualisée ;

3.  La fréquence.

oscillogramme


Correction

 

Une horloge électronique

1. Période de la tension visualisée :

oscillogramme

2. Fréquence.

- f = 1,0 E3 Hz

 

 

 

 

V.  Exercice 1 page 146.haut

 

Déterminer la vitesse de la lumière dans une fibre optique

La lumière, qui se propage dans le cœur en verre d’une fibre optique d’un réseau de télécommunications,

parcourt une distance d = 45,0 km , en une durée τ = 0,23 ms.

Calculer, en m / s, la vitesse de propagation de la lumière dans le cœur de la fibre optique.


Correction

 

Déterminer la vitesse de la lumière dans une fibre optique

Distance parcourue : d = 45,0 km

Durée du parcours : τ = 0,23 ms.

- Vitesse de propagation de la lumière dans le cœur de la fibre optique en  m / s.

- v = 2,0 E8 m / s

- Remarque : on peut calculer l’indice de réfraction de la fibre optique :

- n = 1,5

 

 

 

VI.  Exercice 3 page 146.haut

 

Mesurer la vitesse des ultrasons

Un dispositif E émet des salves d’ultrasons que reçoivent deux récepteurs (R1 et R2), R2 étant le plus éloigné de E.

On connecte R1 à la voie A d’un oscilloscope et R2 à la voie B.

On obtient l’oscillogramme ci-dessous.

La distance séparant les faces d’entrée des récepteurs est alors égale à 0,68 m et le balayage de l’oscilloscope est sur la sensibilité = 2 ms /div.

oscillogramme

1.  Déterminer à partir de l’oscillogramme la durée t séparant deux salves consécutives.

2.  Position des émetteurs :

a.  Pourquoi, sur l’oscillogramme, les salves observées sur chacune des deux voies de l’oscilloscope sont-elles décalées ?

b.  Décrire l’oscillogramme si les deux récepteurs étaient placés côte à côte, à la même distance de l’émetteur.

3.  Vitesse des ultrasons :

a.  Déterminer, à partir de l’oscillogramme, la durée mise par le signal ultrasonore pour aller de R1 à R2.

b.  En déduire la vitesse de propagation des ultrasons dans l’air.

 


Correction

 

Mesurer la vitesse des ultrasons

Distance entre les récepteurs : D = 0,68 m

Balayage de l’oscilloscope est sur la sensibilité b = 2 ms / div.

1. Durée t séparant deux salves consécutives.

oscillogramme : salves

- τ = x . b

- τ = 7,0 x 2

- τ = 14 ms

2. Position des émetteurs :

a. Décalage des deux voies :

Les ultrasons se déplacent à la célérité v.

Comme le récepteur R2 et plus loin que récepteur R1, le son met plus de temps pour arriver au récepteur R2.

D’où le décalage entre les deux signaux.

b. Description de  l’oscillogramme si les deux récepteurs étaient placés côte à côte, à la même distance de l’émetteur.

- Si les deux récepteurs sont placés côte à côte, il n’y a plus de décalage entre les deux voies.

3. Vitesse des ultrasons :

a. Durée mise par le signal ultrasonore pour aller de R1 à R2.

oscillogramme : salves

- Δt = x . b

- Δt ≈ 1,0 x 2

- Δt ≈ 2,0 ms

b. Vitesse de propagation des ultrasons dans l’air.

-  v = 3,4 E2 m / s


 

 

I - Connaissances du cours 1, 2 3 4, 5. page 269. haut  

- Durée : 

- Phénomène périodique : 

- Durée : intervalle de temps entre deux dates ou deux instants.

- Phénomène périodique : Un phénomène périodique est un phénomène qui se reproduit identique à lui-même à intervalles de temps réguliers.

- Relation entre T et f : 

f

 1  


 T  

- Les phénomènes périodiques sont nécessaires pour mesurer des durées

- La rotation de la lune autour de la Terre, le mouvement apparent du Soleil et le mouvement de la Terre autour du Soleil. .

 

retour

 

 

II - Exercice 24 page 270.haut  

- Mesure de la période d’un pendule simple : proposition c 

- On déclenche le chronomètre lorsque la bille passe en O et on arrête la mesure lorsqu’elle repasse en O dans le même sens après dix oscillations. 

- En conséquence, le pendule a effectué dix oscillations et la durée correspondante est de dix périodes. 

- Pour connaître la période des oscillations : T = delta(t) / 10 .

Cette méthode est plus précise que si on travaille sur une oscillation.

retour

 

 

 

III - Exercice 28 page 270.haut  

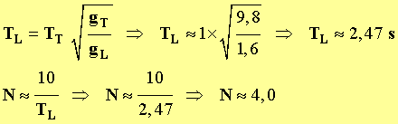
- Sur la Terre :

La période des oscillations du pendule simple est donnée par la relation :

-  période des oscillations du pendule simple sur la Terre

- Sur la Lune, la période des oscillations du pendule simple est donnée par la relation :

-  période des oscillations du pendule simple sur la Lune

- On donne : TT = 1 s.

On peut donner l’expression littérale du rapport des deux périodes :

- relation

- A.N :

N = 4,0.

retour

 

 

IV - Exercice 30 page 271. (S) haut  

-  D’après la lecture du tableau, on peut affirmer que la période dépend de la masse.

- La période augmente lorsque la masse augmente. 

- Lorsque la masse est multipliée par quatre, la période est multipliée par deux.

-  On peut faire une étude graphique : représenter T2 en fonction de m :

m en kg

en s²

0.000

0

0.050

0.4356

0.070

0.6084

0.100

0.8836

0.120

1.0404

0.150

1.2996

0.200

1.7424

graphe

Cliquer sur l'image pour l'agrandir

a = 8,70 s² / kg

L'après l'étude statistique réalisée avec le tableur Excel : T2 8,696 . m

-  La relation est du type suivant :

- T2 = a . m. 

- Avec a étant le coefficient directeur de la droite moyenne :

- En gardant trois chiffre significatifs, la valeur de a est la suivante :

- a 8, 70 s 2 / kg  

- k = 0,72 kg / s²

- La période des oscillations dépend de la masse m et de la constante de raideur k du ressort. 

- Pour le même ressort, les caractéristiques ne changent pas sur la Terre et sur la Lune. 

- La période des oscillations est la même sur la Terre et sur la Lune.

- La masse qui permet d’avoir une période d’une seconde est m 120 g.

retour

 

 

 

V - Exercice 31 page 271.haut  

- Expression de l’angle angle BHO:

- Schéma :

schéma de la situation.

- On peut considérer que les rayons provenant du Soleil sont parallèles.

schéma de la situation

- Les droites Δ et Δsont parallèles : relation

- Latitude de Manosque : on étudie le triangle BHO :

- 

- On pose : relation en conséquence :

-  angle alpha = 66,5 °  

- Or : 

{

a = λ  +  i

i 23,5 °

=>

λ  43 °

α = 66,50 °

   

-  Jour où la mesure a été effectuée : Solstice d’hiver : 21 ou 22 décembre.

haut

rertour