|
|
|
|
|
CH4
(g) + 2
O2 (g)
→ CO2
(g) + 2
H2O
(ℓ)
b)- Le méthane et le dioxygène sont deux gaz dans les conditions de l’expérience.
Dresser un tableau
d’avancement de cette réaction chimique pour chacun des trois états initiaux
suivants :
-
On mélange 1,0 mol de
chaque gaz.
|
|
|
Réactifs |
|
Produits |
||
|
État du
système |
Avancement |
CH4
(g) |
+
2
O2 (g) |
→ |
CO2
(g) |
2
H2O
(ℓ) |
|
État Initial
(mol) |
x =
0 |
1 |
1 |
|
0 |
0 |
|
Au cours de la
transformation
(mol) |
x |
1 – x |
1 –
2 x |
x |
2
x |
|
|
État Final
(mol) |
xmax
=
0,50 |
0,50 |
0 |
0,50 |
1,0 |
|
-
On
mélange
-
Quantité de matière de
chaque réactif :
-
On
prend
-

|
|
|
Réactifs |
|
Produits |
||
|
État du
système |
Avancement |
CH4
(g) |
+
2 O2
(g) |
→ |
CO2
(g) |
+
2
H2O
(ℓ) |
|
État Initial
(mol) |
x =
0 |
4,46
x
10 –2 |
4,46
x
10 –2 |
|
0 |
0 |
|
Au cours de la
transformation
(mol) |
x |
1 – x |
1 –
2 x |
x |
2
x |
|
|
État Final
(mol) |
xmax
= 2,23
×
10 –2 |
2,23
×
10 –2 |
0 |
2,23
×
10 –2 |
4,46
×
10 –2 |
|
-
On
mélange
-
Quantité de matière de
chaque réactif :
-
On
prend
-
Quantité de matière de
dioxygène :
-
-
Quantité de matière de
méthane :
-
CH4
(g) + 2
O2 (g)
→ CO2
(g) + 2
H2O
(ℓ)
|
|
|
Réactifs |
|
Produits |
||
|
État du
système |
Avancement |
CH4
(g) |
+
2
O2 (g) |
→ |
CO2
(g) |
+
2
H2O
(ℓ) |
|
État Initial
(mol) |
x = 0 |
6,3
×
10 –2 |
3,1
×
10 –2 |
|
0 |
0 |
|
Au cours de la
transformation
(mol) |
x |
1 - x |
1 –
2 x |
x |
2
x |
|
|
État Final
(mol) |
xmax ≈
1,6
×
10 –2 |
4,7
×
10 –2 |
0 |
1,6
×
10 –2 |
3,2
×
10 –2 |
|
2)-
Exercice 14 page
163.
Le sodium et l’eau
-
Le sodium réagit avec
l’eau.
-
Il se
forme des ions sodium Na+,
des ions hydroxyde HO-
ainsi que du dihydrogène.
a)-
Écrire l’équation
chimique correspondant à cette réaction et vérifier que les nombres
stœchiométriques sont ajustés (attention aux charges des ions).
2
Na (s) +
2 H2O
(ℓ) → 2
Na+
(aq) + 2
HO –
(aq) + H2
(g)
b)-
Cette réaction dangereuse est effectuée avec
-
Quelles sont les quantités
de matière (en mol) de sodium et d’eau mises en jeu ?
-
Quantité de matière de
sodium mise en jeu :
-
-
Quantité de matière
d’eau mise en jeu :
-
c)-
dresser
un tableau d’avancement pour cette réaction et en déduire le réactif limitant.
-
Tableau d’avancement :
2
Na (s) +
2 H2O
(ℓ) → 2
Na+
(aq) + 2
HO –
(aq) + H2
(g)
|
|
|
Réactifs |
|
Produits |
|||
|
État du
système |
Avancement |
2
Na (s) + |
2
H2O
(ℓ) |
→ |
2
Na+ (aq) |
+ 2
HO – (aq) |
+ H2 (g) |
|
État |
x
=
0 |
0,010 |
56 |
|
0 |
0 |
0 |
|
Initial
(mol) |
|||||||
|
Au cours
de la
transformation (mol) |
x |
0,010
–
2 x |
56 –
2 x |
2 x |
2
x |
x |
|
|
État Final (mol) |
xmax
= 0,0050 |
0,00 |
≈ 56 |
0,010 |
0,010 |
0,0050 |
|
-
L’eau est en large
excès, le réactif limitant est le sodium.
-
Le réactif limitant est
le réactif qui a été introduit par défaut et qui disparaît totalement au cours
de la réaction.
-
Le réactif limitant est celui qui
disparaît totalement c’est-à-dire celui dont la quantité de matière s’annule
pour la plus faible valeur de x.
-
Pour trouver
xmax :
-
En fin de réaction, la
quantité de matière de chaque réactif est soit positive, soit nulle.
-
En conséquence, on peut
écrire deux inéquations :
-
0,010 – 2
x ≥ 0
et 56 –
2 x
≥ 0
-
Ces deux inéquations
sont satisfaites pour :
-
0 ≤
2
x ≤ 0,010 mol => 0 ≤ x
≤ 0,0050 mol .
-
en
conséquence : xmax =
5,0
× 10 –3 mol.
d)-
Quelle est la quantité
de matière d’eu restant à l’état final ?
-
Que peut-on dire du volume
final de la solution aqueuse obtenue ?
-
L’eau est en large
excès.
-
On peut considérer que
la quantité de matière d’eau n’a pratiquement pas varié.
-
La
quantité de matière d’eau à l’état final : n
(H2O)
≈ 56 mol..
-
Le volume de la
solution est voisin de 1,0 L.
e)-
Caractériser
complètement l’état final (en volume pour le gaz et en concentration pour les
ions).
-
Volume de dihydrogène
formé :
-
-
Concentration des ions
présents dans la solution :
-
3)-
Exercice 18 page
163.
L’Hydroxyde de cuivre II.
|
L’addition de
quelques gouttes d’une solution de soude à une solution de sulfate
de cuivre II
provoque l’apparition d’un
précipité d’hydroxyde de cuivre
II
Cu(OH)2. |
a)-
Écrire l’équation
chimique en supposant que les réactifs sont les ions cuivre
II
Cu2+
et les ions hydroxyde HO
–.
Cu2+
(aq) + 2
HO
–(aq)
→ Cu(OH)2
(s)
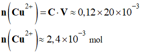
b)- la réaction chimique est effectuée à partir de 20 mL d’une solution contenant 0,012 mol / L d’ions Cu2+ .
Quelle est la quantité
de matière d’ions cuivre
II
à l’état initial ?
-
quantité de
matière d’ions cuivre
II
à l’état initial :
-
c)-
Établir un tableau d’avancement de la réaction chimique considérée en supposant
que l’on introduit n moles
d’ions hydroxyde.
|
|
|
Réactifs |
|
Produits |
|
|
État du
système |
Avancement |
Cu2+
(aq) |
+ 2
HO
–(aq) |
→ |
Cu(OH)2
(s) |
|
État Initial
(mol) |
x =
0 |
0,010 |
n |
|
0 |
|
Au cours de la transformation
(mol) |
x |
2,4
× 10 –3 –
x |
n –
2 x |
x |
|
|
État Final
(mol) |
xmax |
2,4
× 10 –3 –
xmax |
n –
2 xmax |
xmax |
|
d)-
Quelle condition sur la valeur de n
faut-il avoir pour que la soude soit en excès ?
-
En fin de réaction, si
la soude est en excès, il reste des ions hydroxyde HO-
et tous les ions cuivre
II ont
réagi :
-
2,4
× 10
–3 – xmax
et
n – 2
x > 0,
en conséquence : n > 4,8
×
10 –3 mol.
e)- Si la solution de soude utilisée contient 2,0 mol / L d’ions HO –,
quel volume de solution de soude faut-il ajouter pour être dans les proportions
stœchiométriques ?
-
Proportions
stœchiométriques : il faut que :
2,4
×
10 –3
– x = 0
et
n – 2
x = 0,
-
En conséquence :
n =
4,8
x
10 –3 mol.
-
Volume de solution :
-
4)-
Exercice 25 page
165.
Le dihydrogène dans l’air : Un mélange
explosif.
|
Le dihydrogène devient explosif, dans l’air, s’il est présent à plus de
4 % en volume. On
considère l’air comme un gaz parfait contenant, en volume : 20 % de dioxygène et
principalement du diazote. |
a)-
Quelle équation
chimique rend compte d’une telle réaction ?
-
Équation bilan de la
réaction :
O2
(g) + 2
H2 (g)
→ 2
H2O
(ℓ)
b)-
Une
fuite de dihydrogène conduit au remplacement de 4,0 % de l’air d’un laboratoire
de volume 120 m3, par du
dihydrogène.
-
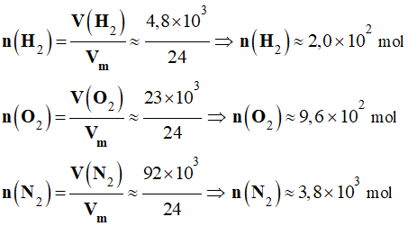
Quelle est la composition
molaire de l’atmosphère du laboratoire ?
-
Volume de dihydrogène :
-
-
Volume de dioxygène :
-
-
Volume de diazote :
-
-
Composition molaire :
-
c)-
En cas
d’explosion, déterminer le réactif limitant et la masse d’eau qui serait
produite.
|
|
|
Réactifs |
|
Produits |
|
|
État du
système |
Avancement |
O2
(g) |
+
2
H2 (g) |
→ |
2
H2O (ℓ) |
|
État Initial
(mol) |
x = 0 |
9,6
× 102 |
2,0
× 102 |
|
0 |
|
Au cours de la
transformation
(mol) |
x |
9,6
× 102 – x |
2,0
× 102 –
2 x |
2
x |
|
|
État Final
(mol) |
xmax
=
1,0
× 102 |
(9,6 – 1,0)
×
102 |
(2,0 –
2
× 1,0)
×
102 |
2
×
1,0
× 102 |
|
|
8,6
× 102 |
0 |
2,0
× 102 |
|||
-
Masse d’eau produite :
-
m
(H2O)
= n (H2O)
. M (H2O)
-
m
(H2O)
≈ 2,0
×
102
× 18
×
10 –3
-
m
(H2O)
≈ 3,6 kg
d)-
Lors d’une telle explosion, la température de l’air augmente de
-
Estimer la pression dans le
laboratoire et conclure.
-
On peut considérer que
la quantité de matière lors de l’explosion est pratiquement constante.
-
Le volume du
laboratoire est constant lui aussi :
-
D’après l’équation
d’état des gaz parfaits, on tire que :
-
-
La température passe
d’environ 300 K à 1200 K, elle a été multipliée par 4,
-
La
pression p a été multipliée
par quatre.
-
Les vitres et les
portes du laboratoire sont soufflées,
-
Les
personnes présentes sont brûlées et fortement commotionnées.
|
|
|
|